1SMAN 1 Dramaga, Jalan Raya Dramaga Km 7 Bogor, Indonesia, 2BiophysicsComputation Research Group, Physics Department, Faculty of Mathematical and Natural Sciences, Bogor Agricultural University (IPB), Kampus IPB Dramaga, Bogor 16680, Indonesia, 3Biopharmaca Research Center, Bogor Agricultural University (IPB), Jalan Taman Kencana No. 3, Bogor 16128, Indonesia
Email: akartono70@gmail.com
Received: 21 May 2015 Revised and Accepted: 26 Jun 2015
ABSTRACT
Objective: In this paper, a mathematical model with the new insulin system for describing the modified oral minimal model of glucose plasma levels is introduced. This model is combined with non linear least-squares method is used to analyze the results of the oral glucose tolerance test (OGTT) in humans.
Methods: We used this model to analyze the published data of OGTT test to study 741 subjects, including normal glucose tolerance (NGT), impaired glucose tolerance (IGT) and type 2 diabetes mellitus (T2DM) subjects. Reducing the number of blood glucose samples needed and the duration of the tests is necessary to enhance the usability of the mathematical model. In this work, the model was to extrapolate sample data to reduce the number of samples and duration of the OGTT test.
Results: The estimated results from this model for glucose sample showed the good correlation to the reference data. The results showed that the 180 min 4glucose sample could provide a reasonable basis to enhance the use of the modified oral minimal model approach to NGT, IGT and T2DM subjects. The averaged R2 value between experimental and calculated plasma concentrations is 0.960, which indicates excellent agreement.
Conclusion: The averaged R2 value is 0.960, it indicates that a reduction in sample data is possible by using the modified oral minimal model approach to diagnosis of NGT, IGT and T2DM subjects.
Keywords: Diabetes mellitus, Mathematical model, Modified oral minimal model, Oral glucose tolerance test.
INTRODUCTION
In previous work [1, 2], we introduced a modified minimal model, proposed in the evaluation of data obtained in the intravenous glucose tolerance test (IVGT). However, this model does not describe the condition of the body actually. The purpose of the present study is to develop a mathematical model in the evaluation of published data from the oral glucose tolerance test (OGTT), capable of account for the effect of the gastric emptying process on glycemia in OGTT. An OGTT is a screening test that involves the measurement of a subject's plasma glucose level after subject drinks a solution containing 75 grams of glucose. Blood samples were collected at 0, 5, 10, 20, 30, 40, 50, 60, 75, 90, 120, 150, 180, 210, 240 and 300 min. This test is commonly used to confirm a diagnosis of diabetes mellitus or gestational diabetes and other metabolic diseases.
The modified oral minimal model is used to process the OGTT data to assess physiological functions, such as insulin sensitivity and glucose effectiveness, by analyzing the dynamics of plasma glucose. The OGTT is a common clinical test used to examine glucose tolerance under exogenous glucose load. After overnight fasting in the morning, a fasting blood sample of the subject is taken. Then, the subject receives glucose orally and blood samples are taken again. For instance, glucose concentration 180 min are defined as a diagnostic criterion of diabetes mellitus, an oral glucose load was applied at time 0.
At previous work, the model will be validated on 300 min OGTT procedures in which plasma glucose levels have been sampled. However, such a sizeable number of samples and the prolonged period of study are not feasible in daily practice or large population-based studies. Hence, OGTT procedure that does not require a long time required to be done as an alternative [3].
The aim of this work was to extrapolate sample data to reduce the number of samples and period of the OGTT test, and to enhance the usability of the modified oral minimal model approach to diagnose of diabetes mellitus subjects. Glucose concentration at 180 to 200 min was extrapolated using a nonlinear least-squares method. The OGTT data from 741 subjects in various stages of glucose tolerance in references [3, 4] were analyzed to evaluate the estimation accuracy.
MATERIALS AND METHODS
The published data from 741 subjects who had undergone an OGTT for clinical purposes at the RenJi Hospital in Shanghai, China was retrospectively analyzed. The data set consisted of 441 type 2 diabetes mellitus (T2DM) subjects, 167 impaired glucose tolerance (IGT) subjects, commonly called pre-diabetes, and 133 normal glucose tolerance (NGT) subjects. The characteristics of the subjects are shown in table 1 [3, 4].
Table 1: Subject characteristics of the published data [3, 4]
| NGT | IGT | T2DM | |
| Basal Glucose (mg/dl) | 90.2±9.3 | 104.8±12.4 | 143.3±40.0 |
| Basal Insulin (μU/ml) | 8.2±3.5 | 11.5±9.6 | 13.5±10.6 |
| Age (years) | 45.8±13.8 | 55.5±12.0 | 57.2±11.9 |
| BMI (kg/m2) | 23.6±3.5 | 25.1±3.4 | 24.9±3.5 |
mean±SD
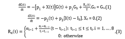
Insulin is the key regulator of glucose level. For this reason, the dynamics of the glucose and insulin system in the OGTT are often selected for the model assessment of diabetes mellitus. In this study, the analysis of the OGTT studies can be used the modified oral minimal model. Whereas during the OGTT glucose enters the systemic circulation directly, during the OGTT glucose is ingested, encounter the systemic circulation only after absorption from the gastrointestinal tract and passage through the liver. An explicit description about the absorption rate of glucose of exogenous glucose in the modified oral minimal model can be expressed with ordinary differential equations [5]:

Where Rα(t) is the generic expression for the rate of entry of exogenous glucose into the systemic circulation per unit BW (milligrams per kg/min). During the OGTT, Rα(t) coincides with the impulse injection of a glucose dose (milligrams per kg) and the rate of absorbed glucose.
The parameters or variables that are used in equations (1)-(3) above are: G (t) is the plasma glucose concentration (milligrams per deciliter (mg/dl)), with GB denoting its basal glucose, X(t) is insulin action (min-1) exerted on glucose disposal from an insulin compartment, remote from plasma, I(t) is the plasma insulin concentration (micro units per ml (μU/ml)), with Ib denoting its basal insulin, V is the glucose distribution volume per unit BW (milliliters per kg (ml/kg)). Parameter p1 represents the fractional ability of glucose to lower its own concentration in plasma. Parameter p2 (min-1) governs the speed of rise and decay of insulin action, and p3 (min-2 per μU/ml) governs its size.
Insulin is cleared from the plasma compartment at a rate proportional to the amount of insulin in the plasma compartment. The modified oral minimal model for insulin kinetics is given by the ordinary differential equations [1, 2]:

Where k is the insulin clearance fraction, Gb is the basal glucose level, and γ is a measure of the secondary pancreatic response to glucose.
Parameters p1, p2, p3, k and γ in the modified oral minimal model were estimated by a nonlinear least-squares method for glucose data collected during an OGTT. In general, measurements from the first 10 minutes after glucose were ignored in model identification. The insulin sensitivity index, SI (milliliters per kg/min. μU/ml), was calculated as:
![]()
SI (OGTT) is thus the oral minimal model fractional (i.e. per unit volume) index, SI, multiplied by the minimal model estimate of the glucose distribution volume, V. So defined, SI(OGTT) has the same units of the analogous clamp index. Parameter p1 = SG is glucose effectiveness: a measure of the fractional ability of glucose to lower its own concentration in plasma independent of increased insulin [1, 2].
Plasma glucose G (t) and insulin I(t) are calculated to the modified oral minimal model program, which estimates the model parameters from the experimental data. This model program is based on the nonlinear least-squares estimation method. Initial plasma glucose, G0 = Gb, and insulin, I0 = Ib, are entered in the model program, which predicts a glucose levels time course, G(t), which fits data G(t) as closely as possible in the nonlinear least-squares senses. Throughout the fitting, the model yields X(t), an estimate of X(t), as well as estimates of parameters p1, p2 and p3. The coefficient of determination, R2 is calculated from parameter estimates. This latter parameter is represented as SI and SG are equal to p3/p2 and p1 as defined in equations (1) and (2), is the prediction of the non-linear least-squares fitting. The residuals between the best-fitting curve and the data [6]:
![]()
RESULTS
The estimated values for plasma glucose showed a significant correlation in the published data [3, 4] (see fig.1, fig. 2 and fig. 3). The averaged coefficient of determination, R2, value between measured and calculated plasma glucose concentrations is 0.960, which indicates excellent agreement.
The important finding of this work is the accuracy of extrapolation values of 0 to 200 min. In daily practice, the sampling of blood-glucose most often used to examine metabolic dynamics, apart from diagnosing diabetes, is 0, 30, 60, 120 and 180 min. Consequently, it is important to extrapolate values to 200 min. Glucose concentrations during the test do not change bio physically within a period of 30 min, and they hardly change biophysically within a period of 60 min after the start with the test. Thus, when values at 0, 30, 60, 120, and 180 min are obtained, it is not difficult to interpolate other data points.

Fig. 1: Profile of normal glucose tolerance (NGT) in [3, 4] produced by equations (1)-(7) with parameters: k = 0.105, γ = 0.0014, Gb = 80 [mg/dl], Ib = 8 [μU/ml], p2 = 0.025 [min-1], SI = 11.86 × 10-4 [ml/kg/min. μU/ml], SG = 0.026 [min-1], I0 = 10 [μU/ml], G0 = 85 [mg/dl], and R2= 0.960

Fig. 2: Profile of impaired glucose tolerance (IGT) in [3, 4] produced by equations (1)-(7) with parameters: k = 0.72, γ = 0.019, Gb = 95 [mg/dl], Ib = 11 [μU/ml], p2 = 0.00115 [min-1], SI = 10.7 × 10-4 [ml/kg/min. μU/ml], SG = 0.027 [min-1], I0 = 12 [μU/ml], G0 = 100 [mg/dl], and R2= 0.960
The values at 180 min have large variations in all subjects (see fig. 1, fig. 2 and fig. 3). One of the reasons is that the rate of appearance of exogenous glucose in plasma varies greatly at 180 min. Another reason is that insulin-dependent glucose uptake contributes to glucose regulation at 180 min, where the glucose levels do not return to the basal level and insulin secretion is still stimulated. Therefore, if glucose level at 180 min can be reasonably extrapolated from values within 120 min, it means that those models can be used even from values at 0, 30, 60, and 120 min. This 120 min 4sample of glucose levels is expected to facilitate the model assessment of diabetes in daily practice. The distinguishing feature of the proposed procedure for the reduction of samples is that the original information of clinical data is maintained by the extrapolation. It is reported for non-diabetic subjects that the reproducibility of the model parameters was good between the full sampling and reduced sampling protocols, but it might not be accurate for diabetic patients as well as non-diabetic cases since it loses the informative variation at 180 min.

Fig. 3: Profile of diabetes mellitus (DM) in [3, 4] produced by equations (1)-(7) with parameters: k = 0.13, γ = 0.00081, Gb = 143 [mg/dl], Ib = 13 [μU/ml], p2 = 0.07 [min-1], SI = 1.85×10-4 [ml/kg/min. μU/ml], SG = 0.010 [min-1], I0 = 13 [μU/ml], G0 = 110 [mg/dl], and R2 = 0.960
In this study, a modified oral minimal model has been proposed that can estimate insulin sensitivity (SI) in a given subject from plasma glucose concentration measured after an oral glucose perturbation, by simultaneously reconstructing also the rate of appearance of the absorbed glucose (Rα). We have validated the modified oral minimal model against what can be considered today the state-of-art reference method for estimating insulin sensitivity during a meal or an OGTT test. In table 2, insulin sensitivity (SI) of the IGT and T2DM subjects is smaller than the NGT, likewise glucose effectiveness (SG) of the T2DM subjects also is smaller than the NGT and IGT. This information is provided that the SI and SG measured by the modified oral minimal model can be used a diagnosis IGT and T2DM subjects.
Table 2: Parameters of OGTT using modified oral minimal model
| NGT | IGT | T2MD | |
| SI [ml/kg/min. μU/ml] | 11.86 × 10-4 | 10.7 × 10-4 | 1.85×10-4 |
| SG[min-1] | 0.026 | 0.027 | 0.010 |
| Gb[mg/dl] | 80 | 95 | 143 |
| Ib[μU/ml] | 8 | 12 | 13 |
DISCUSSION
Insulin sensitivity measures the ability of insulin to inhibit glucose production and enhance glucose utilization. It is used in clinical and epidemiological studies to quantify insulin resistance as a risk factor for pathological conditions, such as obesity and hypertension, and to assess the efficacy of a given therapy. Insulin sensitivity is usually estimated using intravenous administration of glucose and/or insulin, such as the glucose clamp technique or the IVGTT interpreted with the modified minimal model [1, 2]. However, both techniques’ measure insulin sensitivity by experimentally creating a non-physiological milieu, and it would be important to be able to measure this parameter in a normal-life physiological milieu, e. g., during a meal.
The OGTT is generally considered as more sensitive for the screening of impaired glycemia, because it detects changes in post-prandial glycemia that tend to precede changes in fasting glucose. There are no references except a previous report [3, 7] and this research for blood-glucose values to the OGTT time points of 0, 30, 60, 120, and 180 min. Similarly to Lu et al. [3] and Zhou et al. [7], we noted that a large proportion as the NGT subjects screened had a very interesting glucose profile as follows: (i) while the fasting and 180 min plasma glucose concentrations were below the IGT, the 60 min glucose concentration was in contrast above 200 mg/dl, and (ii) while the fasting and 180 min plasma glucose concentrations were below the and T2DM, the 60 min glucose concentration was in contrast strikingly abnormal (330 mg/dl). Conceptually, 30 to 60 min after the ingestion of a meal (bolus glucose), not several hours afterwards, represents the peak point of metabolic and digestive events and therefore, potentially is a better time to choose for the detection of the earliest signs of metabolic dysfunction.
Moreover, in temporal terms at least, what happens at 60 min is bound to affect the 120 min glucose concentration (spill over effect) and not vice versa. Obviously, one way to determine the significance of the 60 min glucose concentration would be to study these subjects prospectively to determine the natural history of the glucose abnormality in relation with the development of diabetic complications.
Glucose and insulin concentrations at 200 min during the OGTT were extrapolated using a nonlinear least-squares method. The OGTT data from subjects in various stages of glucose tolerance were analyzed to evaluate the estimation accuracy. As a result, it estimated values for glucose concentration showed the good correlation to the reference data [3, 4]. The results showed that the 180 min 4sample of blood glucose be combined with a nonlinear least-squares method could provide a reasonable basis to enhance the use of the modified oral minimal model approach to diabetes care. This result also indicates that a reduction in clinical testing is possible by using the computational approach.
CONCLUCION
In this present model, the new insulin system is described by a one-compartment model [1, 2]. On the previous references [5], equation insulin not explained. Insulin secretion is assumed to be dependent on both plasma glucose concentration and its rate of change. We have proposed a physiologically based model to the glucose-insulin system during meals. The model strategy has taken advantage of a unique meal data set in NGT, IGT and T2DM subjects.
We conclude that the measurement of blood glucose levels during an OGTT at time points in 0 to 120 min provides additional valuable information on the glucose metabolism.
ACKNOWLEDGMENT
This study was funded by the Direktorat Jenderal Pendidikan Tinggi Kementerian Pendidikandan Kebudayaan Indonesia through research funding from the Hibah Penelitian Batch I, Program Penelitian Unggulan Perguruan Tinggi (PUPT), Tahun Anggaran 2015, Nomor: 603/IT3.11/PI/2015, Institut Pertanian Bogor (IPB), Indonesia.
CONFLICT OF INTERESTS
The authors report no conflicts of interest
REFERENCES