1Department of Chemistry, Dr. H. S. Gour Central University, Sagar (MP) 470003 India, 2Department of Pharmaceutical Sciences, Dr. H. S. Gour Central University, Sagar (MP) 470003 India
Email: piushashakya@gmail.com
Received: 02 Feb 2015 Revised and Accepted: 28 Feb 2015
ABSTRACT
Objective: The objective of this investigation is to present the simple and sensitive method for the analysis of Telmisartan and Hydrochlorothiazide and apply the proposed method for the analysis of said drugs in pharmaceutical formulations.
Methods: Telmisartan and Hydrochlorothiazide are used in combination for treatment of hypertension. The present work deals with simple derivative spectrophotometric method development for simultaneous estimation of Telmisartan and Hydrochlorothiazide in two component tablet formulation.
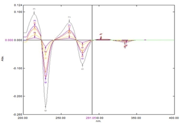
Results: The method employed first order derivative spectroscopy for determination of ʎmax by taking 10 μg/ml each of Telmisartan and Hydrochlorothiazide were scanned in 200-400 nm range and ʎmax were observed 291 nm for Telmisartan and Hydrochlorothiazide showed zero crossing point and 251 nm for Hydrochlorothiazide and Telmisartan showed zero crossing point in first order derivative spectroscopy.
Conclusion: For this method, linearity was observed in 2-40 μg/ml for Telmisartan and 2-20 μg/ml for Hydrochlorothiazide. The recovery study confirmed the accuracy of the proposed method and low values of standard deviation confirmed precision of the used method. The method was validated as per ICH guidelines.
Keywords: Spectroscopy, Telmisartan, Hydrochlorothiazide, Derivative spectrophotometric.
INTRODUCTION
Telmisartan
Telmisartan (fig. 1) is an angiotensin II receptor antagonist, used in the management of hypertension. Generally, angiotensin II receptor blockers such as telmisartan (telm) bind to the angiotensin II, type 1 receptors with high affinity, causing inhibition of the action of angiotensin II on vascular smooth muscles, ultimately leading to a reduction in arterial blood pressure.
A hydrochlorthiazide (HCTZ; fig. 2) diuretic often considered the prototypical member of this class. It reduces the reabsorption of electrolytes from the renal tubules. Thus results in increased excretion of water and electrolytes, including sodium, potassium, chloride, and magnesium. It has been used in the treatment of several disorders including edema, hypertension, diabetes insipidus, and hypoparathyroidism.
MATERIALS AND METHODS
Instruments
A UV Probe type UV-VIS double beam spectrophotometer (Shimadzu 1800) with 1 cm Quartz cells was used in this experiment. Analysis was performed using direct mode over a wavelength range from 200–400 nm. The instrument settings were zero order and first derivative mode and band width of 2 nm in the range of 200-400 nm. All weights were taken on electronic balance.
Reagents and chemicals
Telmisartan working standard was obtained as a gift sample from Lupin Research Park, Pune, India and HCTZ as a gift sample from CTX Life sceiences Pvt Ltd. Methanol (Spectrochem chemicals) and Telmisartan and Hydrochlorothiazide combination tablet (Telista-H) was purchased from local market.

Fig. 1: Chemical structure of Telmisartan

Fig. 2: Chemical structure of Hydrochlorthiazide
Methodology (First order derivative method)
Preparation of standard stock solutions
10 mg each of the standard telm and HCTZ were weighed and transferred to two separate 100 mL volumetric flasks and dissolved in methanol (98% v/v) and further diluted with the methanol to get the standard solutions of telm and HCTZ 100 μg mL-1 of each. Further dilution was made to produce concentrations of 40 µg/ml for telm and 12.5 µg/ml for HCTZ. The dilutions of telm and HCTZ were prepared from this standard stock solution to get the concentrations in the range of 2-20 µg/ml. Each of the solutions was scanned between 200–400 nm at a medium scanning speed. All the Zero order spectra were then converted to their respective first order derivative Spectra using the inbuilt software (Shimadzu UV probe 2.34) and zero crossing point (ZCP) of telm and HCTZ were found to be at 251 nm and 291 nm respectively. Responses of each of the above solutions were measured at 251 nm (ZCP of telm) and 291 nm (ZCP of HCTZ). Lambert Beer’s curves were plotted for HCTZ and telm at 251 nm and 291 nm respectively. The straight line equations and correlation coefficients for telm and HCTZ were determined.

Fig. 3: First order derivative spectra of HCTZ

Fig. 4: First Order derivative spectra of Telmisartan
Method validation
Linearity and range (n = 6)
The linearity response was determined by analyzing 6 independent levels of the calibration curve in the concentration range of 2-20 μg/ml (2, 4, 8, 12, 16, and 20 μg/ml) for telm and HCTZ. The calibration curve of responses against concentration was plotted. Correlation coefficient and regression line equations for telm and HCTZ were calculated. Linearity range was established through consideration of necessary practical range and according to each drug concentration present in the pharmaceutical product, to give accurate, precise and linear results.
Accuracy (n = 3)
It was carried out to determine the suitability and reliability of the proposed method. Accuracy was determined by calculating the % recovery of telm and HCTZ by the standard addition method, in which, the known amounts of standard samples of telm and HCTZ at 80, 100 and 120 % levels were added to the pre-analysed samples. The recovered amounts of telm and HCTZ were calculated at each level and % recovery was reported.
Precision
The intra-day and inter-day precisions of the proposed spectrophotometric method were determined by estimating the corresponding response three times on the same day and three times on different days over a period of 1 week for 3 different concentrations of telm (4.0, 12.0 and 18.0 μg/ml) and HCTZ (8.0, 12.0 and 16.0 μg/ml). The results were reported in terms of relative standard deviation (RSD). Repeatability studies were performed by taking the absorbance of single concentration of telm and HCTZ (6 times).
LOD and LOQ
The LOD and LOQ were estimated from the set of 6 calibration curves. They were calculated as shown below:
LOD = 3.3 × (SD/Slope), LOQ = 10 × (SD/Slope)
Where, SD = Standard deviation of the Y-intercepts of the 6 calibration curves.
Slope = Mean slope of the 6 calibration curves.
Estimation of Telmisartane and hydrochlorothiazide in the tablet
Twenty tablets Telista-H each containing telm (40 mg) and HCTZ (12.5 mg) were weighed and crushed to fine powder. An accurately weighed powder sample equivalent to 40 mg of telm and 12.5 mg HCTZ were transferred to a 100 ml conical flasks. These were extracted with methanol (4 x 20 ml) and this solution was sonicated for 30 min and volume was made up to the mark with methanol in a 100 mL calibrated volumetric flask, the solution was filtered through Whatman filter paper. 2.0 mL of this solution was pipetted out and transferred to 100 mL calibrated volumetric flask and volume was made up to the mark with methanol to obtain the concentration of 8µg/ml for telm and 2.5µg/ml for HCTZ.
These obtained solutions were used for the estimation of telm and HCTZ respectively. The responses of the solution were measured using first order derivative spectroscopy at the ZCP of telm (251 nm) for estimation of HCTZ and at the ZCP of Hydrochlorothiazide (291 nm) for estimation of telm. The concentration of each drug was calculated using an equation of the regression line.
Table 1: Results of recovery study
| Drug | Sample concentration (µg/ml) | Standard added | Total conc (µg/ml) |
Amt recovered mean±SD (µg/ml) |
%Recovery mean±SD |
| Telmi | 5 | 4 | 9 | 8.8366±0.1021 | 98.185±1.134 |
| 5 | 5 | 10 | 9.8388±0.055057 | 98.3666±0.5507 | |
| 5 | 6 | 11 | 10.89±0.0264 | 99±0.2405 | |
| HCTZ | 3 | 2.4 | 5.4 | 5.38±0.0122 | 98.1481±0.1851 |
| 3 | 3 | 6 | 5.89±0.0404 | 98.2777±0.6735 | |
| 3 | 3.6 | 6.6 | 6.4833±0.0305 | 99.2323±0.4628 |
Table 2: Intra-day and inter-day precision
Intraday Precision |
Conc (µg/ml) |
meam con (µg/ml)±SD |
%RSD | meam conc (µg/ml)±SD |
%RSD |
| Telmi | 4 | 4.0003±.0.0100 | 0.2504 | 3.9966±0.0230 | 0.5778 |
| 12 | 1 12.0337±0.0663 | 0.5512 | 11.9533±0.0602 | 0.5042 | |
| 18 | 18.0567±0.0378 | 0.2096 | 17.9737±0.0553 | 0.3077 | |
| HCTZ | 8 | 8.012±0.0081 | 0.1021 | 7.9366±0.0503 | 0.6341 |
| 12 | 12.0566±0.0585 | 0.4859 | 11.8967±0.0602 | 0.5066 | |
| 16 | 15.99±0.1562 | 0.9768 | 15.8400±0.0458 | 0.2893 |
RESULTS AND DISCUSSION
The ZCPs for telm and HCTZ were found to be 251 nm and 291 nm respectively. Results of the validation of the above method indicate that the method was linear in the range of 2-32µg/ml for telm and 2-20µg/ml for HCTZ. The data for all validation parameters are mentioned in table 1 and 2. The % recoveries for Telmisartan and Hydrochlorothiazide obtained in the accuracy study were 98.185-99.67% and 98.1481-99.232% respectively. The results of the precision study indicate that the proposed method showed good repeatability for telm and HCTZ with % RSD of 0.592 and 0.8599 respectively. The % RSD for Intra-day precision was found to be 0.2504-0.5512 for telm and 0.1021-0.9768 for HCTZ. Similarly % CV from the inter-day precision data were found be found to be 0.3077-0.5778 for telm and 0.2893-0.6028 for HCTZ. The LOD for telm and HCTZ as found to be 0.5945 μg/ml and 0.6633 μg/ml respectively. Similarly LOQ for telm and HCTZ were found to be 1.801 μg/ml and 2.0101 μg/ml respectively.
CONCLUSION
First order derivative method for simultaneous estimation of telm and HCTZ was developed and validated. The method was found to be accurate and it is more sensitive even to the minute changes in the concentration. It has an advantage that it eliminates the spectral interference from one of the two drugs while estimating the other drug by selecting zero crossing point in the derivative spectra of each drug at the selected wavelength. The % assay results of 99.32% for telm and 99.83% for HCTZ indicate that the developed method was successfully utilized for the estimation of telm and HCTZ.
ACKNOWLEDGEMENT
The authors are thankful to CTX Life sciences Pvt Ltd, Lupin Research Park, Pune, India for providing standard sample of drugs and also to the Adina institute of pharmaceutical science, India for providing facilities to carry out research work.
CONFLICT OF INTERESTS
Declared None
REFERENCES