1Lab School SMA KORNITA, Jalan Tanjung Kampus IPB Dramaga Bogor 16620, Indonesia, 2Biophysics Computation Research Group, Physics Department, Faculty of Mathematical and Natural Sciences, Bogor Agricultural University (IPB), Kampus IPB Dramaga, Bogor 16680, Indonesia, 3Biopharmaca Research Center, Bogor Agricultural University (IPB), Jalan Taman Kencana No. 3, Bogor 16128, Indonesia
Email: akartono70@gmail.com
Received: 25 May 2015 Revised and Accepted: 30 Jul 2015
ABSTRACT
Objective: Current models of the oral glucose tolerance test (OGTT) do not contain the substantive contributions of the incretin hormones, glucose-dependent insulinotropic peptide (GIP) and glucagon-like peptide-1 (GLP-1), to glucose-stimulated insulin secretion. In this paper, the modified oral minimal model and the incretin effects were introduced. Mathematical model of glucose levels and the changes in incretin was used to simulate the responses to 75 grams oral glucose loads under normal glucose tolerance (NGT), impaired glucose tolerance (IGT) and type 2 diabetes mellitus (T2DM).
Methods: In the standard OGTT, plasma glucose concentrations are measured at time 0, 10, 20, 30, 60, 90, 120, 150, and 180 min, following an oral glucose load of 75 grams. The OGTT is a simple clinical test currently used to aid diagnosis of NGT, IGT, and T2DM subjects. In this work, the modified oral minimal model and the incretin effects were used to study investigated in the published data of the OGTT.
Results: The accuracy of the model and its applicability to understanding fundamental mechanisms was further assessed using the calculated coefficient of determination, R2, from parameter estimates and the majority of the parameters were matched to known experimental data. The averaged R2value between measured and calculated plasma concentrations is 0.920, which indicates agreement with experiment data.
Conclusion: The loss of incretin effects is secondary to the development of diabetes. Thus, patients with diabetes secondary to destruction of insular tissues in patients with chronic pancreatitis exhibit an almost complete loss of incretin effects, whereas patients with a similar degree of chronic pancreatitis, as judged from pancreatic function tests but normal glucose tolerance (NGT), have a normal uncertain effect.
Keywords: Diabetes Mellitus, GIP, GLP-1, Incretin, Mathematical model, OGTT.
INTRODUCTION
Many different models have been developed that describe the glycemic and hormonal responses to an intravenous glucose load, as well as determining the impact of insulin sensitivity and glucose effectiveness on these responses. However, the intravenous glucose tolerance test (IVGTT) used to obtain the parameters in this model is invasive and requires considerable cooperation on the part of the patient.
In the others test, the oral glucose tolerance test (OGTT) is a much simpler procedure to perform, with both decreased invasiveness and the reduced burden on the patient. OGTT’s is thus routinely performed in clinical laboratories to diagnose IGT, gestational diabetes and T2DM subjects. Only a few mathematical models of the OGTT have been developed to date, and these models do not explicitly take into account the relatively recent findings of the significant contributions of intestinal hormones to oral glucose-stimulated insulin secretion.
Two-major incretin have been identified, these being glucose-dependent insulinotropic peptide (GIP) and glucagon-like peptide-1 (GLP-1). Both of these hormones are released in response to glucose delivery from the stomach into the duodenum, and levels remain elevated until the ingested glucose is absorbed from the gastrointestinal (GI) tract. Studies have demonstrated that GIP and GLP-1 contribute approximately equally to the incretin effects, stimulating both first and second phase insulin secretion. Since these hormones are believed to be the major contributors to the incretin effects, the aggregate effects of these incretinare represented by means of a single variable within which each is assumed to be similarly weighted [1].
The OGTT mimics the physiological conditions of the glucose system more closely than the IVGTT. However, analysis of the OGTT data of a mathematical model is affected by the complication that the time course of the delivery of plasma of exogenous glucose and even the total amount of glucose delivered is unknown. In fact, the rate of appearance, Rα, of exogenous glucose in plasma is influenced by several factors: the rate of gastric emptying of ingested glucose, the extent of absorption during the intestinal transit, glucose amount used by the gut as energy substrate, and hepatic uptake. Moreover, a gut-derived hormones, secreted in response to glucose delivery to the small intestine, markedly increase the insulin secretion with respect to that observed after an intravenous glucose infusion that produces the same elevation of plasma glucose (incretin effects) [1].
The present model is thus a single compartment representation that is intended primarily to illustrate the importance of the incretin. The model thus developed describes the physiological responses, within the limits of a one compartment model, not only to oral glucose, but also to change in insulin sensitivity. Insulin sensitivity (SI) is the ability of insulin to enhance glucose utilization and inhibit glucose production, is an important parameter to assess the efficiency of the glucose regulatory system. This SI index, useful not only for diagnosis but also for assessing the efficacy of a given therapy, is usually measured using methods involving an intravenous administration of glucose, such as the IVGTT test interpreted with the minimal model [1-4]. However, these techniques realize experimentally a non-physiological since the rapid glucose perturbations of an IVGTT reflect the condition of daily living. Therefore, it is highly desirable to have a method able to quantify SI index in a normal life physiological, e. g., during a meal. Unfortunately, the estimation of SI index after an oral glucose perturbation is not an easy task, the major obstacle being that the rate of appearance of glucose absorption is unknown. More reliability, probably the reference method fores timating SI index during a meal, is a procedure; the rate of appearance of absorbed glucose is reconstructed as accurately as possible with a non-tracer method [2]. Once the rate of appearance of absorbed glucose is known, to estimate SI index one has to explain the meal plasma glucose measurements with a model describing insulin action on glucose production and disposal. In fact, when glucose and insulin change smoothly as during an oral test, the single-compartment description of glucose kinetics has proven to be sufficiently accurate [2].
The aim of this paper, we have proposed a modified oral minimal model based on oral minimal models for glucose kinetics by Dalla et al. [2]. We present the modified oral minimal model with new plasma insulin kinetics. We also presented in this model with plasma insulin compartment for the change of the incretin.
MATERIALS AND METHODS
All measured experimental data from reference [5], the study investigated 150 Caucasian participants (Northern European) enrolled at Copenhagen University Hospital, Denmark, and 120 Japanese participants (Japanese) enrolled at Tokyo University Hospital, Japan. For all participants, an OGTT was performed with an oral bolus corresponding to 75 grams dissolved glucose. Plasma samples for measurement of glucose concentrations were collected at times 0, 10, 20, 30, 60, 90, 120, 150, and 180 min relative to the time of glucose uptake.
In this research, mathematical models, developed with the aim of describing the kinetics of the insulin system during an OGTT and estimating parameters of clinical interest, are presented. Attention is focused on some of the more recent contributions. Methods and models used for the analysis of non-tracer data have not been considered in the present work. The OGTT minimal model [2] extends to the oral test the basic model proposed for the IVGTT, with the modification that glucose administration does no longer appear as a bolus dose in the initial condition of the equation for glucose kinetics, but as an input function that specifies the rate of appearance of oral glucose in plasma. The model describes the kinetics of the plasma glucose concentration G(t) (basal glucose value, Gb), and of the insulin action, X(t). Model equations are as follows [2]:
Where I(t) is the plasma insulin concentration (basal insulin value, Ib). Insulin concentration data, assumed to be error-free, are used to construct an input function of the system. Rα is the rate of appearance of oral glucose in plasma. Parameters p1, p2, and p3 are parameters with the same meaning as in the IVGTT minimal model. The definition of SI index is the ability of insulin to enhance glucose utilization and inhibit glucose production, it is proposed to compute the SI from time t = 0 to t = ∞, so that:
![]()
The SI index is computed by taking into account the OGTT measurements throughout the test. Computations make use of a trivial linear relationship where Rα forces the glucose excursion above its basal value, and of the assumption that glucose and insulin concentrations achieve the pre-test basal values at the end of the test. The SI estimates, derived from a long (300 min) and a short (120 min) oral test were compared with those obtained from an intravenous test. As this last requirement is not usually satisfied in the clinical setting, parametric descriptions of the rate of appearance were evaluated. The approach chosen was that of representing the Rα by a piecewise linear function with a given number (i) of break points:
![]()
With t0= 0 and α0= 0 (Rα(0) = 0). The αi values are to be estimated from the glucose concentration data. In this way, for each subject, the SI index, the parameter p2, and the piecewise-linear reconstruction of the Rα were estimated. The Rα was found to have a similar profile in healthy subjects and diabetic patients, and 73-76% of the oral load was recovered in the circulation in the 3-5hstudy period. The rate of gastric emptying and small intestine transit time appear to be the main factors in determining glucose Rα [2]. Data of gastric retention of glucose (dose fraction retained vs. time) were reported by a power exponential function and the rate of glucose delivery into the duodenum was computed.
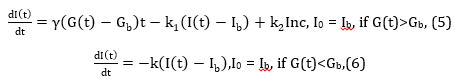
In the present model, the modified oral minimal model with plasma insulin compartment under the assumption that if the plasma glucose compartments up the take above the basal glucose levels, the rate of insulin entering the plasma glucose compartment is presented by equation (5). Insulin is cleared from the plasma insulin compartment at a rate proportional to the amount of insulin in the plasma insulin compartment. In this equation, plasma insulin levels also reflect the effects of the incretin (k2) on the beta cell. The clearance of insulin from the circulation was set in accordance with the reported metabolic clearance rate in humans [1]. This clearance value governs the entire disposition of insulin from plasma, about one-half of which occurs in its passage through the liver. We also presented plasma insulin compartment for the plasma glucose compartment drops below the basal glucose levels, so the plasma glucose compartment is zero (see equation (6)). Finally, the differential equation governing insulin kinetics is thus:

Where, k1 is the insulin clearance fraction. Gb is the basal glucose level. γ is a measure of the secondary pancreatic response to glucose. Inc is plasma incretin concentration (GIP+GLP-1).
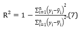
Glucose G(t) and insulin I(t) data are submitted to the modified oral minimal model program, which estimates the model parameters from the real data. This program is based on the nonlinear least-squares estimation method. I(t) = Ib is submitted to the modified oral minimal model program, which predicts a glucose time course, G(t),which fits data G(t) as closely as possible in the least-squares sense. In the course of the fitting, the model yields X (t), an estimate of X(t), as well as estimates of parameters p1, p2, and p3. The coefficient of determination, R2is calculated from parameter estimates. This latter parameter is represented as SI and SG are equal to p3/p2 and p1 as defined in equations (1) and (2), where is the prediction of the non-linear least-squares fitting.
The residuals between the best-fit curve and the data,
[6]:

RESULTS
The averaged coefficient of determination, R2, between measured and calculated plasma concentrations is 0.920, which indicates agreement with experimental data. We considered sets of parameter values consistent with adaptation to data from actual OGTT experiments [5].
Simulations are performed by using MATLAB ordinary differential equation solver ode45 and non-linear least-squares method. Moreover, in observing that indeed the oral glucose belongs to the initial condition of the ordinary differential equation model (1) – (6)
Table 1: Parameters of OGTT using modified oral minimal model and the incretin effects
NGT |
IGT |
T2MD |
|
SI [ml/kg. min. μU-1 ml] |
(11.16±0.56) × 10-4 |
(8.1±0.41) × 10-4 |
(1.87±0.1) ×10-4 |
SG[min-1] |
0.037±0.002 |
0.03±0.002 |
0.011±0.001 |
Gb[mg/dl] |
90±4.5 |
105±5.3 |
143±7.2 |
Ib[μU/ml] |
8±0.4 |
11±0.55 |
13±0.65 |
Inc[ng/l] |
200±10 |
150±7.5 |
80±4 |
mean±SD
Fig. 1: Profile of normal glucose tolerance (NGT) in [5] produced by equations (1)-(7) with parameters: k = 0.3, γ = 0.004, Gb = 90 [mg/dl], Ib = 8 [μU/ml], p2 = 0.0115 [min-1], SI= 11.16 ×10-4 [ml/kg. min. μU-1 ml], SG = 0.037 [min-1], I0 = 10 [μU/ml], G0 = 75 [mg/dl], Inc = 200 [ng/l] and R2 = 0.920
Fig. 2: Profile of impaired glucose tolerance (IGT) in [5] produced by equations (1)-(7) with parameters: k = 0.85, γ = 0.018, Gb = 105 [mg/dl], Ib = 11 [μU/ml], p2 = 0.002 [min-1], SI = 8.1×10-4 [ml/kg. min. μU-1 ml], SG = 0.03 [min-1], I0 = 10 [ μU/ml], G0 = 75 [mg/dl],Inc = 150 [ng/l] and R2 = 0.920
Fig. 3: Profile of diabetes mellitus (DM) in [3, 4] produced by equations (1)-(7) with parameters: k = 0.13, γ = 0.00081, Gb = 143 [mg/dl], Ib = 13 [μU/ml], p2 = 0.07 [min-1], SI = 1.87×10-4 [ml/kg. min. μU-1 ml], SG = 0.011 [min-1], I0 = 13[ μU/ml], G0 = 75 [mg/dl], Inc = 80 [ng/l] and R2 = 0.920
The concentration of plasma glucose during the OGTT is shown in fig. 1, fig. 2, and fig. 3. Of note is that by the end of the OGTT at 200 min, glucose levels had virtually returned to their respective basal levels. Of course, this does not prove that all oral glucose had been absorbed or that the metabolism of oral glucose was complete.
Fig. 1, fig. 2 and fig. 3 shows that the glucose curves are very different. The fig. also indicates that the profiles of glucose levels of the subjects categorized as of subjects with NGT, IGT or T2DM are very different. Fig. 2 shows that the compensation of increased insulin secretion in IGT is not obvious. Accordingly, the IGT subjects, who can only be identified by accessing the 1hplasma glucose, are definitely different from subjects with NGT. Attention should be paid to such subjects, before they fall into the pre-diabetes and diabetes criteria of the World Health Organization (WHO) and the American Diabetes Association (ADA).
DISCUSSION
In this study, we introduce an approach that exploits the modified oral minimal model, but adds a parsimonious parametric representation of splanchnic glucose absorption that allows the measurement of insulin sensitivity in each individual. Obviously, such a calculation is simpler to perform than the nonlinear estimation procedure required for this method.
We have examined this approach to derive estimates of SI index from oral glucose tolerance data in NGT, IGT, or T2DMsubjects. In table 1, insulin sensitivity (SI) and incretin hormone (Inc) of the IGT and T2DM subjects were decreased, whereas glucose effectiveness (SG) of the IGT and T2DM subjects also was decreased. This information is provided that the SI, SG and Inc measured by the modified oral minimal model can diagnose pre-diabetes and type 2 diabetic subjects. Comparing the SI index obtained with this approach with the OGTT by correlation analysis revealed a strong and highly significant correlation between the SI indexes measured in the experimental data.
This result suggests that this method is measuring similar physiological phenomena, most likely the sum effects of insulin to enhance glucose uptake by peripheral tissues (mostly muscle) and concomitantly suppress liver glucose output.
The comparison between insulin sensitivity indexes obtained by an oral minimal model (OMM) by Dalla et al. [5] ((11.68±2) × 10-4 ml/kg. min. μU-1 ml)and this present model ((11.16±0.56) × 10-4 ml/kg. min. μU-1 ml) indicates an excellent agreement in average between the estimates of insulin sensitivity, the correlation between the two indexes is satisfactory.
Therefore, our results indicate that the modified oral minimal model applied to the analysis of OGTT data is potentially useful to measure SI index when use of the FSIGT is not feasible for economic or practical reasons. The present study in NGT, IGT, or T2DM subjects is the first attempt and an obvious prerequisite. Further work is needed to define the domain of validity of this method throughout the whole range of SI index and assess its applicability to patients with pre-diabetes and diabetes mellitus. If validated in disease states, the new test may be preferable to the OGTT in larger studies because of its simplicity.
Several lines of evidence support that the loss of an incretin effect is secondary to the development of pre-diabetes and diabetes mellitus. Thus, patients with diabetes secondary to destruction of insular tissues in patients with chronic pancreatitis exhibit an almost complete loss of incretin effects, whereas patients with a similar degree of chronic pancreatitis, as judged from pancreatic imaging and function tests but normal glucose tolerance (NGT), have a normal uncertain effect.
CONCLUSION
The model presented a unique approach by which the glucose responses to oral glucose can be simulated using 6 equations. The incorporation of the incretin effects into this model allows for a more accurate representation of the known physiology of the glucose regulatory system.
More importantly, the major difference between the current model and those proposed by others, is the explicit incorporation of an incretin term that allows for the stimulatory effects of the gastrointestinal hormones, GLP-1 and GIP, on glucose-stimulated insulin secretion. A simulation of an OGTT by preventing the oral glucose-induced rise in increments (fig. 1), demonstrated that, for an identical glucose load.
Thus, the biological actions of the incretins to stimulate insulin secretion must be an essential component of any model that simulates the glucose regulatory responses to oral nutrients and are, for the first time, explicitly included here in a simple mathematical model.
In conclusion, impaired secretion of the incretin hormones may not be a constant finding, but decreased secretion of the incretin after mixed meals is observed in this study. Given that the sensitivity of the pancreatic islets to the actions of the incretin hormones is decreased in type 2 diabetes (see table 1), it is evident that impaired secretion, when present, will aggravate the loss of incretin effect in these patients.
ACKNOWLEDGMENT
This study was funded by the Direktorat Jenderal Pendidikan Tinggi Kementerian Pendidikandan Kebudayaan Indonesia through research funding from the HibahPenelitian Batch I, Program Penelitian Unggulan Perguruan Tinggi (PUPT), Tahun Anggaran 2015, Nomor: 603/IT3.11/PI/2015, Institut Pertanian Bogor (IPB), Indonesia.
CONFLICT OF INTERESTS
The authors report no conflicts of interest.
REFERENCES