aCEB-Centre of Biological Engineering, University of Minho, Campus de Gualtar, 4710057 Braga Portugal, bFood Research Department, School of Chemistry, Universidad Autonoma de Coahuila, Saltillo 25280, Coahuila, Mexico, cSchool of Health Sciences. University of the Valley of Mexico Campus Saltillo, Saltillo 25200, Coahuila, Mexico, dLaboratory of Characterization of Micro and Nanostructured Materials, Metallurgy and Ceramics. Centre for Research and Advanced Studies (CINVESTAV). National Polytechnic Institute. Ramos Arizpe 25903, Coahuila, Mexico, eAnimal Nutrition Department, Animal Sciences Division. Agrarian Autonomous University “Antonio Narro”. Saltillo 25315, Coahuila, Mexico
Email: janeth_ventura@yahoo.com
Received: 25 May 2015 Revised and Accepted: 17 Nov 2015
ABSTRACT
Objective: The aim of this study was to obtain and characterize microcapsules with Ellagic Acid (EA) from pomegranate as core material and Karaya Gum (KG) as wall material.
Methods: EA was obtained from dry pomegranate peel powder via methanolysis and quantified by HPLC. Microcapsules were obtained preparing a dispersion containing KG and EA in phosphate buffer pH 8. The dispersion was processed in a spray dryer under specific conditions (inlet temperature at 150 °C, feed flow at 30% and aspirator at 100 %) for obtaining of microcapsules. Fourier transform infrared (FTIR) spectroscopy, differential scanning calorimetry (DSC) and scanning electron microscopy (SEM) were used for characterization.
Results: Obtained material contains 98.03±2.82 mg EA/g of pomegranate peel. FTIR showed that there were changes in the molecular structure of microcapsules referred to raw materials. SEM confirmed that particles obtained had micron-size (1-5 µm). DSC analysis showed that raw materials had glass transition temperatures of 79.58 and 83.41 °C and for microcapsules the value was67.25 °C.
Conclusion: Methanolysis is a viable technique for the obtaining of EA from the peel of pomegranate. KG shows good potential for be used as wall material for EA microencapsulation.
Keywords: Pomegranate husk, Ellagic acid, Karaya gum, Spray drier, Microcapsules.
INTRODUCTION
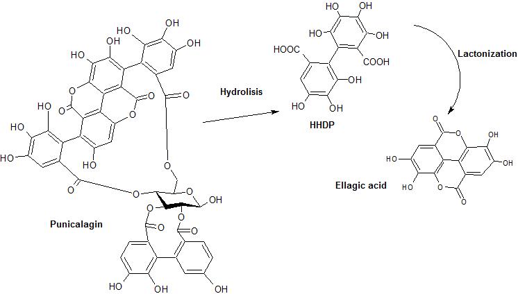
Ellagitannins belong to the class of hydrolyzable tannins, which are polyphenolic compounds that are chemically characterized by a group namedhexahydroxydiphenic acid (HHDP) usually linked to glucose as polyol unit [1-3]. When the ellagic tannins are exposed to acidic or alkaline conditions, the ester bonds are hydrolyzed realizing the HHDP group, then a spontaneous lactonization occurs to get a more stable form, giving origin to the molecule known as ellagic acid (EA) (fig. 1)[4-8].

Fig. 1: Hydrolysis of an ellagitannin by Larrosa et al. [9]
The typical sources of these compounds are red fruits like strawberries, raspberries, blackberries and pomegranate, the content in these materials ranging from 1 to 1794 mg/100g [4, 10-13]. Pomegranate peel is considered an aggro industrial by product, however, several reports have demonstrated it contains great quantities of hydrolysable tannins, mainly punicalagin [14-18].
The EA or dilactone of HHDP acid, has generated many researches due to its important biological properties since they help to prevent cardiovascular and hypertension diseases, also has antitumor, antiviral, antimicrobial and antioxidant activity [19-22]. This knowledge has been used for development of functional foods and drugs. However, the effectiveness depends on the preservations of its stability and bioactive properties[23, 24]. An important method to prolong these properties is to use encapsulation technologies that help to protect the compounds of adverse conditions facilitating their storage and processing [25].
Microencapsulation by spray drying is an encapsulation technology that has been widely used in the food industry since the late1950’s and early 1960’s[26, 27],this method allows the active compound to get into a spherical and strong semi-permeable polymer matrix called microcapsule, in order to protect it from adverse conditions such as light, temperature and oxygen which can cause undesired reactions [28, 29].
The microcapsule has a diameter ranging from 0.2 to 5000 µm. The material packaged is also called core material, coated material, active, internal phase or payload. On the other hand, the packaging material is called wall material, capsule, carrier, shell or coating material.
In microencapsulation by spray drying the most common wall materials are bimolecular of three types: polysaccharides, lipids, and proteins. The polysaccharide is the most commonly used, especially maltodextrins of different polymerization degree, measured as dextrose equivalent (D. E. 10, 11, 18, 20 and 21) and Arabic gum [30, 31].
Karaya gum (KG) has potential to be used as a cover material for the encapsulation of active compounds by spray drying, due it has a complex and branched structure[32]which provides it with qualities such as emulsifier, cohesive and adhesive. These properties are essential for application in the food and pharmaceutical industries [31, 33, 34].
The aim of this work was to use KG as cover material for microencapsulation of a hydrolyzate dreich in EA obtained from pomegranate peel, and the characterization of prepared EA microcapsules.
MATERIALS AND METHODS
The active material of the capsules was extracted from pomegranate peel, which was provided by the Department of Food Research at the Chemistry Faculty of the Universidad Autónoma de Coahuila. The peel was heat dried for 48 h at 60 °C; once dehydrated, the raw material was pulverized in a mechanical mill to obtain small particles with an average size of 2 mm. HPLC grade EA was obtained from Sigma-Aldrich. The packing material used was commercial grade KG purchased from a local business.
Extraction of ellagic acid by methanol sis
The extraction of EA was performed following the methodology described by Lei et al.[35] with modifications. Briefly, 11.9 g of dry pomegranate peel powder was placed in a sealed container white 595 ml of metabolic sulfuric acid reagent (sulfuric acid at 19% in methanol); this mixture was placed in an oven at 80 °C for 30 h for recovery of EA. Water was added to the extract and subjected to sonic vibration for 30 min and centrifuged at 6000 rpm for 20 min to remove water-soluble compounds discarding supernatant. The pellet was resuspended in 96% ethanol, subjected to sonic vibration for 30 min and centrifuged at 6000 rpm for 20 min and finally the supernatant was eliminated to obtain a powdered solvent-free pomegranate peel hydrolyzate dreich in EA.
Quantification of ellagic acid content in pomegranate peel hydrolyzated by High-resolution liquid chromatography (HPLC)
EA quantification was performed by High-Performance Liquid Chromatography (HPLC). Equipment for HPLC Varian Pro Star 430 was used for this analysis; UV-Vis photodiode array detector was used for the analysis and a Grace Denali C18, 5μm (250 mm x 4.6 mm) column with a flow rate of 1.2 ml min-1was used for sample separation. Mobile phase for compound quantification were: methanol (solvent A), acetonitrile (solvent B) and 3% acetic acid (solvent C). The injection method by Poupard et al.[36] was used with some modifications: briefly, the elution gradient was as follows: initial 97% C, 3% B; 0-5 min 91% C, 9% B; 5-15 min 84% C, 16%B; 15-30 min 67% C, 33% B; 30-33 min 10% C, 90% B; 33-35 min 10% C, 90% B; 35-40 min 3% C, 97% B; 40-42 min 3% C, 97% B. To determine the amount of EA, a calibration curve using HPLC degree EA was constructed measuring standard solutions at different concentrations (100, 200, 300, 400 and 500 mg L-1) using A as solvent.
Preparation of the feed liquid (Preparation of core material and wall Material dispersion)
The dispersion was prepared according to the ratio used by Medina-Torres et al., in 2013[37], which contained the rich-EA hydrolyzated as a core material and KG as wall material. KG was prepared at 1% per each L of phosphate buffer solution 0.2 M at pH 8, subsequently the dispersed phase contains322.58 mg of hydrolyzated, added as an aqueous solution. The viscosity of the feed liquid was measured on a Viscometer Mark (Brookfield DV-II+Pro Extra) at 100 rpm and registered a viscosity of 37.87 centipoises (cP).
Microencapsulation by spray drying
The feed liquid was processed in a Mini Spray Dryer Buchi 290 with an aspiration of 100% (35 m3 h-1) using a nozzle with a diameter of 1.5 mm, in co-current flow, with an inlet temperature of 150 °C and pumping of 30 %.
Fourier transforms infrared (FTIR) spectroscopy
FITR spectra of Hydrolyzated, EA (HPLC grade), KG and microcapsules were obtained with a Perkin-Elmer 16 PC spectrometer (Perkin-Elmer, Boston USA), in Attenuated Total Reflectance mode (ATR) between 600 and 4500 cm-1 with a spectral resolution of 4 cm-1. Each spectrum was base lined, and the absorbance was normalized between 0 and 1.
Differential scanning calorimetry (DSC)
Differential Scanning Calorimetry (DSC) measurements were performed with a Shimadzu DSC-50(Shimadzu Corporation Kyoto, japan) calibrated using Indium as standard. Samples were weighed (approximately 5-10 mg of dry matter) in aluminum DSC pans. As a reference, an empty aluminum crucible was used. The heating rate was fixed at a temperature range of-40 to 200 °C for the hydrolyzated and karaka gum and from-30 to 300 °C for the microcapsules at a heating rate of 10 °C min-1 in all assays.
Scanning electron microscopy (SEM)
The morphology of the spray dried microcapsules was visualized by SEM with a Nova Nano SEM 200 scanning electron microscope (FEI, USA) with an acceleration voltage of 10 to 15 kV. The samples were mounted on a self-adhesive carbon tape and coated with gold before acquiring photomicrographs.
RESULTS AND DISCUSSION
Extraction, quantification and identification of ellagic acid in pomegranate peel
The pomegranate peel has shown a great potential for obtaining EA. Some authors have reported different concentrations of EA in this material: 1.3 [3] and 6.3 [13] mg of EA per gram of pomegranate peel respectively. This may be due that the first work reported only the free Ear covered with a rapid, large-scale purification method, and the second one reported EA obtained from a fermentation process using pomegranate peel as substrate.
Our research group have an earlier publication[7], in this document 33.79±7.43 mg of EA per gram of pomegranate peel obtained by methanoly sis, whereas in the present study 98.03±2.82 mg of EA per gram of pomegranate peel were obtained; this difference may be due that in the present study is a mixture of methanol and sulfuric acid was used as extraction solvent [35], instead of a mixture of methanol and HCl previously cited [7]. This difference detected may be due to the effectiveness of sulfuric acid to break of punicalagin ester bounds is higher than hydrochloric, releasing larger amounts of HHD Pin the present in the raw material.
Fig. 2 shows the chromatogram of EA present in the hydrolyzated together with two points of the calibration curve.

Fig. 2: Chromatograms of ellagic acid standard to different concentration (red 500 mg-1L and black 100 mg-1L), and chromatogram of hydrolyzed (green)
Scanning differential calorimetry (DSC)
Glass transition temperature (Tg) is a very important parameter in spray drying process since this property has been linked to the agglomeration and adhesion of the material in the drying chamber [38]. Different authors [38-40] mentioned that sticking occurs when working temperatures are 20 °C above Tg of the material.
In our process, the outlet temperature was 71 °C for microcapsules production. The Tg of the KG, hydrolyzated and microcapsules are shown in table 1. Tg values of the wall and core materials are larger than Tg of microcapsules; this may be due to possible interaction formed between components that may affect the glass transition temperature.
Table 1: Glass transition temperatures of the materials used
| Materials | Tg ( °C) |
| Karaya gum | 79.58 |
| Hydrolyzate | 83.41 |
| Microcapsules | 67.25 |
Li et al. [41] observed a similar behavior preparing amorphous solid dispersions (ASD) with EA as active material and carboxymethyl cellulose acetate butyrate as wall material, but when they used polyvinyl pyrrolidinone (PVP)as wall material Tg was increased, concluding that PVP may be acting as a plasticizer in microcapsules formation process.
Medina-Torres et al. [37] used cactus mucilage as the wall material and gallic acid as an active material; they obtained Tg values of 48 and 60 °C respectively for raw materials. One of the most used carriers in microencapsulation process by spray drying is maltodextrin, which had reported Tg of 160-162 °C [42, 43]. Other coating materials used are chitin, chitosan and whey protein with Tg of 51, 59 and 162 °C respectively [43, 45].
Analysis of FTIR
The spectrum of pomegranate peel extract obtained by methanol sis was compared with commercial EA. Spectra of standard compound showed important signals at 3500, 3200, 1750, 1600, 1550, 1300, 1200, 1050 and 800 cm-1; sharp signal at 3500 cm-1indicates the presence of hydroxyl groups while broadband at 3200 cm-1 represent stretching of the hydrogen’s in an aromatic ring; another important signal is shown at 1750 cm-1 which is due to the torsion of the C=O lactones carbonyl group; signals at 1600 and 1550 cm-1are caused by stretching of C=C and indicate the presence of aromatic rings; the mixed signals 1300 and 1050 cm-1 are produced by the symmetric and asymmetric stretching of C-O bond, the peak at 1200 cm-1represents the stretch C-O phenolic bond and the signal at 800 cm-1 shows the presence of an aromatic ring with substitution in 5 carbon atoms(Figure3). These results agree with those reported previously by our research group [3, 44] and other authors [53]. The same characteristic signals found in the commercial compound present in the active material (signals at 3500, 3200, 1750, 1600, 1550, 1300, 1200, 1050 and 800 cm-1); signal at 3200 cm-1presents a deformation that may be caused to the accumulation of hydration water in the hydrolyzated.
FTIR analysis is effective for identifying drug-polymer interactions. Spectra of microcapsule and KG are also showed in fig. 3. FTIR spectrum from KG presented signals at 3400, 2950, 1731, 1616, 1423, 1350 and 1250 cm-1. Broad signal at 3400 cm-1 corresponds to the stretching of O-H bond of the alcohol groups; the signal at 2950 corresponding to the stretching of the C-H bond of methyl groups in the structure of the gum; the band at 1731 cm-1represents the stretching of double bond between carbon and oxygen on the carbonyl group of the acetyl moiety and the presence of C=O stretching of the carboxylate group; the signal 1350 cm-1indicates the stretching of links C-O-C and bands at 1250 cm-1are produced by symmetrical and asymmetrical stretches in the C-H bonds of the methyl residue, while the bands at 1616 and 1423 cm-1 are due to carboxylation of uronic acid residues in the structure of the gum [45].
Microcapsules spectral data shows a broadband at 2800-3700 cm-1indicating the presence of hydroxyl groups, besides there are bands at 1400 and 1600 cm-1 similar to the KG which are due to the carboxylation of uronic acids (fig. 3). These changes indicate that the carbonyl bands of both material compounds are involved in hydrogen bonding interactions, these results were also observed by Li et al. [41]. When producing ASD by spray drying of EA and hydroxypropyl methylcellulose acetate succinate. The presence of characteristic peaks of EA can also be observed in microcapsules spectra such as the signals 1660 and 1550 (stretching C=C aromatic), 1200 (phenolic C-OH) and 800 cm-1 (aromatic ring penta substituted). The modification of the location and the form of characteristic signals of both products demonstrates the presence of interactions between cover and active ingredients [46].

Fig. 3: Ellagic acid standard (black), hydrolyzed (green), karaya gum (blue) and microcapsule (red)
Morphology
Analysis of SEM confirms that produced capsules have micron-ranged size (1.69-4.55 µm), this particle size range is common when particles are produced by spray drying, micrographs also makes clear that obtained microcapsules have high agglomeration. Obtained microcapsules had round shape with imperfections, some particles were smooth, and some particles had cavities or teeth (fig. 4). Rocha et al.[28] reported that these imperfections (teeth) are attributed to the rapid evaporation of liquid droplets during spray drying process. According to with Ré [47], imperfections are surface depressions associated to the initial stage of drying. Other authors have also reported these characteristics [48-50]. Gharsallaoui et al.[51]mentioned that changes in morphology are associated with inlet temperature. Zheng et al. [52]. Could obtain microcapsules with a completely smooth surface, they attribute this behavior to the addition of lecithin in the formulation, which could transform the feed liquid into a homo disperse solution.

Fig. 4: Scanning electron micrographs of microcapsule
CONCLUSION
Methanol sis is a viable technique for obtaining ellagic acid from pomegranate peel. Karaya gum is a polysaccharide with great potential for microencapsulation of active compounds, such as EA, using spray drying techniques, giving a cheaper option to reduce process cost. The obtained microcapsules by spray drying method had a range size of 1.69-4.55 mm. FTIR analysis made feasible to observe a possible interaction between the materials. This study shows the KG can be used as a wall material for microencapsulation of active compounds.
CONFLICT OF INTERESTS
Declare None
REFERENCES