
1Department of Polymer Science and Technology, 2Department of Chemistry, Sri Krishna devaraya University, Anantapuramu, Andhra Pradesh, India 515003, 3Department of Polymer Science and Technology, Tshwane university of Technology, Pretoria, South Africa, 4School of Mechatronics Engineering, Changwon National University, Gyeong-Nam 641773, Republic of Korea
Email: chowdojirao@gmail.com
Received: 26 May 2015 Revised and Accepted: 06 Jul 2015
ABSTRACT
Objective: The objective of this study was to formulate and evaluate the drug release studies using Poly (ε-caprolactone) (PCL)/and Poly (R)-3-hydroxy butyric acid (PHB) blend microspheres for controlled release of Tamoxifen, an anticancer drug.
Methods: Poly (ε-caprolactone), Poly ((R)-3-Hydroxybutyric acid) blend microspheres were prepared through a modified Water/Oil/Water (W/O/W) double emulsion-solvent diffusion method using Dichloromethane as solvent. Tamoxifen (TAM), an anti Cancer drug, was used for encapsulation within PCL/PHB blend microspheres. Morphology, size, encapsulation efficiency and drug release from these microspheres were evaluated by different characterization techniques such as Fourier transform infrared spectroscopy (FT-IR), Differential scanning calorimetry(DSC), Scanning electron microscopy(SEM), X-ray diffraction studies(X-RD) and dissolution test studies respectively.
Results: Drug loaded microspheres were analyzed by FT-IR, which indicates the interaction between drug and polymers. DSC thermograms on drug-loaded microspheres confirmed the polymorphism of Tamoxifen and indicated a molecular level dispersion of drug in the microspheres. SEM confirmed the spherical nature and smooth surface of the microspheres produced. X-RD study was performed to understand the crystalline nature of the drug after encapsulation into the microspheres and confirmed the complete dispersion of the drug in the polymer matrix. In-vitro release studies conducted in different pH which indicated a dependence of release rate on the amount of drug loading and the amount of PCL/PHB, but slow release rates were extended up to 12 h. Kinetic analysis of dissolution data showed a good fit in Peppas equation confirming diffusion controlled drug release.
Conclusions: The research findings obtained from the studies were found to be satisfactory. It can be concluded that biodegradable polymer blend (PCL/PHB) microspheres can be effectively used for preparation of controlled release matrices.
Keywords: Polycaprolactone, Poly (R)-3-Hydroxybutyric acid), Microspheres, SEM, X-RD, Drug release.
INTRODUCTION
Past few decades, biodegradable microspheres that encapsulate therapeutic agents (drugs, proteins and peptides) have received much attention for the application of controlled release over an extended period. Biodegradable polyesters such as PLA (poly (lactic acid)), PGA (poly Glycolide), PLGA (poly (lactic-co-glycolic acid)), PHB (poly 3-hydroxybutyrate) and PCL (polycaprolactone) have been widely used to formulate controlled-release delivery systems due to their biocompatibility [1-4]. Microencapsulation is one process used to control drug release and also for prolong therapeutic activity [5]. It is an application of a thin coating to individual core materials that have an arbitrary particle size range from 5 to 5000 µm [6]. In order to encapsulate the drug molecules within the microspheres based on a solvent evaporation method, there is basically three different approaches i. e water in oil (W/O) emulsion, Oil in Water (O/W) emulsion, Water in Oil in Water (W/O/W) double emulsion. In this the best known method is a W/O/W double emulsion technique which has been extensively used for the encapsulation of hydrophilic drugs [7].
Poly (e-caprolactone) (PCL) is one of the biocompatible and biodegradable aliphatic polyester polymers that degrades slowly and does not generate an acid environment like the poly lactide (PLA) or poly glycolide (PLG) polymers. Although the permeability of macromolecules in PCL is low, such low permeability may be sufficient for drug delivery. Other advantages of PCL include hydrophobicity, in vitro stability and low cost. Therefore many investigations have focused on the use of PCL microspheres for drug delivery applications [8-9]. The design and development of drug delivery carriers based on the blending of PCL with other polymers to improve the control release of drugs because of high permeability of PCL [10-13].
Polyhydroxy butyrate (PHB) is a polyhydroxy alkanoate (PHA), a polymer belonging to the polyesters class that are of interest as bio-derived and biodegradable polymer. Past few decades Polyhydroxy butyrate (PHB) and its copolymer hydroxy valerate (PHBV) are the most widely used Polyhydroxy alkanoate polymers in drug release studies [14]. The advantage of using these polymers is that they are completely biodegradable, inexpensive, easily produced by the fermentation of a variety of bacteria and degrade during natural biological processes, making them important for the production of release systems for bioactive materials [15, 16].
Tamoxifen (TAM), an estrogen receptor antagonist, is known to be a drug of choice for hormone sensitive breast cancer [17, 18]. Tamoxifen is also used for treatment of estrogen receptorpositive tumors in the premenopausal population [19]. Tamoxifen is generally administered through oral and parenteral route. Tamoxifen undergoes extensive hepatic metabolism after oral administration in humans [20]. Despite being quite effective on oral administration, Tamoxifen exhibits certain side effects like distaste for food, abdominal cramps, nausea and vomiting. However, its other infrequent side effects include endometrial carcinoma, ocular problems, and thromboembolic disorders and acquired drug resistance on long-term therapy [21-23]. These effects were reported to be dose dependent. To overcome these undesirable side effects, long term drug delivery is necessary in order to achieve optimum therapeutic outcomes for breast cancer. We have been exploring the development of drug loaded and drug free, PCL and PHB blend microspheres.
In continuation of our drug release studies [13, 24-27] now we have developed new biodegradable non toxic microspheres with the different blend compositions of PCL and PHB.
The blends are good compatible and loaded with Tamoxifen drug via in situ method for drug release studies. Hence, this system is new one, and as there were no reports on this in the literature, the results of this study have been presented here.
MATERIALS AND METHODS
Materials
Polycapro lactone (M. Wt. 70,000–90,000), Poly [(R)-3-Hydroxy-butyric acid], Gelatin form porcine and Tamoxifen, an anticancer drug, Dichloromethane was purchased from Sigma Aldrich Chemicals (St. Louis), USA. Double distilled water was used throughout the research work.
Preparation of polycaprolactone/Poly [(R)-3-Hydroxybutyric acid] blend microspheres
The Tamoxifen loaded PCL/PHB microspheres were prepared by the w/o/w modified double emulsion solvent evaporation method. In this technique hydrophobic polymers and water-insoluble drugs are commonly used. Various concentrations of PCL (1.0, 0.8, 0.6 g) was first dissolved in 20 mL of dichloromethane and then 0.2 g of Tamoxifen was added to it. PHB with various concentrations (0.2, 0.4, 0.5) was dissolved in water and added to above polymer drug solution. This solution was poured into 200 mL of purified water containing 1.0 or 0.5% gelatin. The dichloromethane was removed by stirring at 1,000 rpm at room temperature for 1 h. When evaporation was complete, the microspheres were collected by filtration on a filter paper (Whatman filter paper No 40), washed three times with distilled water and air-dried overnight at room temperature. Each formulation was prepared at least thrice and resulting batches were combined for characterization studies. The details of the formulation parameters and % of encapsulations are presented in table 1.
Table 1: Formulation parameters and % of Encapsulation of the Tamoxifen loaded PCL/PHB blend microspheres
Formulation code |
PCL/PHB (Wt/Wt) |
% of drug |
% of Gelatin |
%of Encapsulation |
PCL-PHB 1 |
90:10 |
10 |
1 |
48.76 |
PCL-PHB 2 |
80:20 |
10 |
1 |
51.23 |
PCL-PHB 3 |
70:30 |
10 |
1 |
54.62 |
PCL-PHB 4 |
80:20 |
10 |
2 |
52.36 |
PCL-PHB 5 |
80:20 |
10 |
0.5 |
49.24 |
PCL-PHB 6 |
80:20 |
15 |
2 |
52.65 |
PCL-PHB 7 |
80:20 |
20 |
2 |
58.28 |
PCL-PHB 0 |
80:20 |
- |
2 |
- |
Fourier transforms infrared (FTIR) spectroscopy studies
FTIR spectral measurements performed with Nicolet, Model Impact 410 (USA) instrument to confirm the cross-linking reaction between PCL/PHB blend microspheres. Polymeric microspheres finely grounded with KBr to prepare pellets under a hydraulic pressure of 600 kg/cm2 and spectra scanned between 4,000 and 500 cm-1 for pure drug, drug loaded and without drug blend microspheres [24, 25].
Differential scanning calorimetry (DSC) analysis
Differential scanning calorimetric (DSC) curves were recorded on a TA instrument (Model: ST A, Q600 USA). The sample weighed was between 10 and 12 mg. The samples were heated from 50 to 500 oC at a heating rate of 10 oC/min in nitrogen atmosphere (flow rate of 100 µl/min) [24, 25].
X-ray diffraction (X-RD) studies
X-RD measurement of plain drug, drug-loaded microspheres, and plain microspheres was recorded using a Rigaku Geiger flex Diffractometry (Tokyo, Japan) equipped with Ni-filtered Cu Ka radiation (k = 1.548 Ao). The dried microspheres of uniform thickness was mounted on the sample holder, and the patterns were recorded in the range 0o–50o at the speed of 50/min.
Scanning electron microscopy (SEM) studies
To determine the particle size and size distribution, microspheres were taken on a glace slide and their sizes were measured using an optical microscope under regular polarized light. SEM micrographs of microspheres under study were obtained under high resolution (Mag 3009 5kv) Using JOEL MODEL JSM 840A, SEM, equipped with phoenix energy dispersive analysis of X-ray (EDAX).
Estimation of drug and encapsulation efficiency
Polymer blend microspheres equivalent to 100 mg was stirred in 20 ml of phosphate buffer solution (pH 7.4) and the drug content was analyzed by UV spectrophotometer (Lab India, Mumbai, India) at a lmax of 200 nm. Encapsulation efficiency (EE) was calculated as the percentage (w/w) of the theoretical drug content (Equation 1). Similar experiments were carried out at pH 1.2 also. Results were based on triplicate and the average values are compiled in table 1.
In vitro release studies
Dissolution was carried out using Tablet dissolution tester (Lab India, Mumbai, India) equipped with eight baskets. Dissolution rates were measured at 37±0.5 oC at constant speed of 100 rpm. Drug release from the microspheres was studied at 1.2 pH and also at 7.4 pH phosphate buffer solution. At regular intervals of time, sample aliquots were withdrawn and analyzed using UV spectrophotometer (Lab India, Mumbai, India) at the fixed lmax value of 270 nm. After each sample collection, the same amount of fresh medium was added at the same temperature to the release medium to maintain the sink condition. All measurements were carried out in triplicate, and values were plotted with standard deviation errors [28].
RESULTS AND DISCUSSION
FTIR studies
FTIR spectra of pure drug and with and without drug of PCL/PHB blend microspheres are shown in fig. 1. The characteristic broad peak at 3,356.5 cm-1 indicates the OH stretching frequency of PCL and PHB.
PCL displays a characteristic absorption band at strong bands such as the carbonyl Stretching mode around 1727 cm−1 (C=O), asymmetric stretching 2949 cm−1 (CH2) Symmetric stretching 2865 cm−1 (CH2) PCL and PHB polymers. FTIR spectrum of Tamoxifen shows characteristic absorption bands at 3027 cm−1 (=C‐H stretching), 1507 and 1477(C=C ring stretching) and 3180 cm‐1 (‐NH2). No changes in the spectrum of without drug and with drug loaded microspheres were evident by FTIR spectroscopy which is evidenced that the drug and polymers used are compatible in the present study. A similar result was made by Hiremath et al. [18] form their drug release studies.
Differential scanning calorimetry study
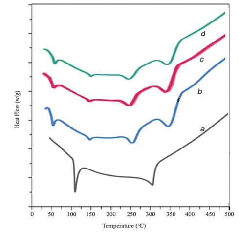
DSC thermograms of pure TAM (fig. 2. a), without drug loaded PCL/PHB blend (fig. 2. b) and drug loaded PCL/PHB blend microspheres (fig. 2. c and fig. 2. d) are shown in Fig.2. From the literature it is noticed that pure PHB melts at 155 oC [17] where as pure PCL melts at around 60 oC [18]. From fig. 2(b) it is noticed that 62 oC is the melting peak of PCL/PHB (80:20) blend microspheres. As the % of PCL increases in the blend composition the melting temperature also increases as we observed from fig. 2c and 2d (65 oC and70 oC). This result may indicate that as the amount of PCL increases in the blend microspheres a significant crystallinity change was observed, this further indicates the miscibility between PHB and PCL.
Fig. 1: FTIR spectrums of (a) PCL-PHB microspheres without drug (b) Pure drug (Tamoxifen) (c) PCL-PHB microspheres with drug
The drug, TAM, exhibits a sharp peak at 122.97 oC (fig. 2. a) due to polymorphism and melting. However, no characteristic peak of TAM was observed in DSC curves of the drug loaded microspheres which indicates that the drug was molecularly dispersed in the polymeric matrix. A similar reports was made by Jagadeesh et at [18], Chawla et al. [29] from their drug release studies.
Fig. 2: DSC thermograms of (a) Pure TAM (drug) (b) PCL-PHB Microspheres (80:20) (Without drug) (c) Drug loaded PCL-PHB (90:10) microspheres (d)Drug loaded PCL-PHB (80:20)microspheres
SEM studies
The SEM micrographs of TAM loaded microspheres are shown in Fig.3. Fig. 3(a) shows the shape of the microspheres before dissolution which are in spherical shape. Fig. 3(b) shows the shape of the microspheres after dissolution which are of the porous nature. As seen in fig. 3, they were spherical in shape [fig. 3(a)] and exhibited rough and porous surfaces [fig. 3(b)] due to higher concentration of drug in the microspheres. The mean particle size of PCL-PHB-6 formulation is around 10-20 mm. The size distribution is normal distribution showing 12 mm. The particle size analysis also supports the formation of microspheres. A similar observation was made by Sudhakar et al. from their drug release studies [13].
Fig. 3: SEM micrographs of TAM loaded microspheres (a) before dissolution (b) after dissolution
X-ray diffraction studies
X-RD study is an important characterization technique in case of drug delivery applications, to study the crystallinity of drug present in the polymer matrix. X-RD patterns of (a) pure TAM, (b) drug loaded microspheres, and (c) pure blend microspheres are shown in fig.4. X-RD pattern of pure TAM provides the clues about the crystallinity of drug in the microspheres. Here, the TAM drug peaks (fig. 3. a) are observed at 2q of 21.2o and 28.3o and 41.5o which are due to crystalline nature of TAM, while in the case of drug loaded microspheres these peaks of the drug are not observed which indicate that the drug particles are dispersed at molecular level in the polymer matrix. A similar observation was made by Mohanty et al., from their drug release studies [30].
Fig. 4: XRD patterns of (a) pure TAM, (b) drug loaded microsphere, and (c) pure blend microspheres
In-vitro release studies
Effect of PCL/PHB blends composition and pH
The release study of Tamoxifen (TAM) from microspheres, through in-vitro release experiments was carried out in gastric and intestinal pH conditions. Releases of TAM from microspheres with variation of PHB content for formulations PCL-PHB 1, PCL-PHB 2, PCL-PHB 3 at pH 7.4 and pH 1.2 are displayed in Figs. 5 and 6 respectively. The % of cumulative release is higher in case of high amount of PHB. The release of TAM is higher at pH 7.4 than at pH 1.2. This can be explained on the basis of dissolution behavior of PHB in alkaline conditions. A dense polymer network formed when microspheres could intact with acidic medium, but in alkaline condition PHB is easily leaching out from the microspheres giving porous network structure. This is also supported on the basis of SEM picture (fig. 3) taken before dissolution [fig. 3(a)] and after dissolution [fig. 3(a)]. Porous microspheres are produced after the dissolution, suggesting that the incorporation of PHB into PCL indicates drug release is influenced by pH conditions. Based on these results we can conclude that the release of TAM restricts from lower at acidic pH, but maximum release at pH 7.4, due to the formation of porous network structure.
Fig. 5: % Cumulative release of TAM through microspheres for different ratios of polymer composition PCL-PHB 1 (90:10), PCL-PHB 2 (80:20), and PCL-PHB 3 (70:30) containing 10% TAM at pH 7.4
Fig. 6: % Cumulative release of TAM through microspheres for different ratios of polymer composition PCL-PHB 1 (90:10), PCL-PHB 2 (80:20), and PCL-PHB 3 (70:30) containing 10% TAM at pH 1.2
Effect of drug content
Fig.7 and 8 show the release profiles of TAM loaded PCL/PHB blend microspheres at different amounts of drug loading and at different pH conditions. For both pH conditions (pH 1.2 and pH 7.4) release data showed that formulations containing highest amount of TAM (30 wt%) displayed higher release rates than those containing lower of an amount of TAM. Formulation containing highest amount of TAM released 84.5 % (pH 7.4) of the total encapsulated drug. On the other hand, formulations containing lower amount of TAM have released only 77 % of TAM. Thus, sustained release was observed for the formulation containing the lower amount of TAM. Thus the release rates are slower for lower amount TAM in the matrix, probably due to the availability of more free void spaces through which a lesser number of the drug molecule will transport. The release of TAM is higher at pH 7.4 than at pH 1.2. This is due to the presence of PHB in the blend microspheres as explained earlier.
Fig. 7: % Cumulative release of TAM through microspheres containing different amounts of drug PCL-PHB 4 (10%), PCL-PHB 5 (20%), and PCL-PHB 6 (30%) at pH 7.4
Fig. 8: % Cumulative release of TAM through microspheres containing different amounts of drug PCL-PHB 4 (10%), PCL-PHB 5 (20%), and PCL-PHB 6 (30%) at pH 1.2
Kinetics of In vitro release studies
Drug-release kinetics was analyzed by plotting the cumulative release data versus time by fitting the data to a simple exponential equation [31].
(Mt/M¥) = ktn
Where Mt and M¥ represent the fractional drug release at time t, k is a constant characteristic of the drug-polymer system and ‘n’ is an empirical parameter characterizing the release mechanism. Using the least square procedure, we have calculated the values of n and k for all the formulations and these values are given in table 2. If n= 0.5, the drug diffuses and release from the polymer matrix following a Fickian diffusion. If n>0.5, anomalous or non-Fickian drug diffusion occurs. If n = 1, a completely non-Fickian or case-II release kinetics is operative. The intermediary values ranging between 0.5 and 1.0 are attributed to an anomalous type diffusive transport [32].
In the present study, the values of k and n showed a dependence on the blend composition, pH, and % of drug loading is given in table 2. The values of n for drug loading microspheres by using various amounts of PHB (10, 20, 30 wt%) while keeping TAM (10%) are ranged from 0.203 to 1.052 at pH 1.2, whereas the n values are ranged from 0.423 to 0.758 at pH 7.4 which indicates that this drug release shows a shift of transport from Fickian to the anomalous type. Correlation coefficient (r) obtained while fitting the release data are in the range from of 0.812 to 0.947 at pH 1.2 where as r is in the range of 0.852 to 0.981 at pH 7.4.
Table 2: Release Kinetics parameters (k, n and correlation coefficient (r) values) for different formulations
Formulation Code |
pH 1.2 |
pH 7.4 |
||||
n |
r |
k |
n |
r |
k |
|
PCL-PHB 1 |
0.203 |
0.896 |
3.0457 |
0.423 |
0.852 |
2.2481 |
PCL-PHB 2 |
0.356 |
0.785 |
2.8451 |
0.574 |
0.914 |
1.9523 |
PCL-PHB 3 |
0.478 |
0.812 |
2.9254 |
0.627 |
0.981 |
1.5764 |
PCL-PHB 4 |
0.695 |
0.851 |
0.3641 |
0.964 |
0.852 |
0.578 |
PCL-PHB 5 |
0.352 |
0.756 |
1.8451 |
0.524 |
0.921 |
1.0352 |
PCL-PHB 6 |
0.954 |
0.912 |
0.3681 |
0.714 |
0.924 |
1.2547 |
PCL-PHB 7 |
1.052 |
0.947 |
0.3951 |
0.758 |
0.951 |
1.0261 |
CONCLUSION
Biodegradable Polycaprolactone (PCL) and Poly(3-R-hydroxybutyric acid) (PHB) blend microspheres were developed by Water/Oil/ Water double emulsion solvent evaporation method to study the controlled release of Tamoxifen(TAM), an anticancer drug. SEM, particle size analysis gave surface morphology and particle size of microspheres. DSC and X-RD analysis of TAM loaded microspheres has shown molecularly dispersed drug in the microspheres. Based on In vitro release studies the TAM was released in a controlled manner by influencing the variation of blend composition, pH, and drug for more than 12 h.
CONFLICT OF INTERESTS
Declared None
REFERENCES