Int J Pharm Pharm Sci, Vol 7, Issue 9, 459-461Original Article


GARDINERIN, A BIOLOGICALLY ACTIVE ACETOGENIN FROM THE SRI LANKAN GONIOTHALAMUS GARDINERI HOOK. F. AND THOMSON

ARUNA J. WEERASINGHE1, ANURA WICKRAMASINGHE1*, GAVIN CARR2, DAVID WILLIAMS2, RAYMOND ANDERSEN2, VERANJA KARUNARATNE1

1Department of Chemistry, University of Peradeniya, Peradeniya, Sri Lanka, 2Departments of Chemistry and Earth and Ocean Sciences, University of British Columbia, Vancouver, B. C., Canada, V6T 1Z1
Email: awick@pdn.ac.lk   
   

 Received: 01 Jun 2015 Revised and Accepted: 30 Jul 2015


ABSTRACT

Objective: The study was undertaken to isolate biologically active compounds from Goniothalamus gardineri, a plant endemic to Sri Lanka.

Methods: Roots and flowers of Goniothalamus gardineri were extracted into dichloromethane and methanol. A new acetogenin, gardinerin isolated by column chromatography of the dichloromethane extract was structurally characterized using NMR and Mass spectroscopies. It was found to be mosquito larvicidal (against 2nd instar larvae of Aedes aegypti), cytotoxic (in the brine shrimp assay) and antioxidant (DPPH assay).

Results: Gardinerin exhibited potent mosquitolarvicidal activity (LC50 = 0.0744±0.37 ppm.), cytotoxicity (LC50 = 1.5±0.37 ppm) and antioxidant activity (IC50 =10.02±0.01 ppm). The same extract furnished (5R)-goniothalamin. The hexane extract of the flowers of G. gardineri yielded poriferesterol and stigmast-4, 22-dien-3-one.

Conclusion: The endemic plant G. gardineri has yielded an acetogenin possessing highly potent antioxidant, cytotoxic and mosquitolarvicidal activity.

Keywords: Gardinerin, New acetogenin, Goniothalamus gardineri, Annonaceae, Antioxidant activity, Cytotoxicity, Mosquitolarvicidal activity.


INTRODUCTION

The variety and the high endemic to non-endemic ratio of its flowering plants makes Sri Lanka a biodiversity hotspot. In total there are 3210 flowering plants recorded, of which 916 are endemic. Among the lower plants such as lichens the recent reports of new species shed light on the tremendous richness of diversity as compared to peninsular India [1, 2]. Screening of Sri Lankan plants for biological activity has revealed promising results [3-6]. In addition, the potential of bioactivity among Sri Lankan higher and lower plants are exemplified by the discovery of aporphine alkaloids [7, 8], D: A-Friedo-oleanane and quinonemethide triterpenoids [9, 10], lichen compounds with siderophore type iron chelating function [11-14], and phenolic acids and ketones [15, 16] possessing a variety of bioactivities.

Significantly, the Annonaceae in Sri Lanka has 15 endemic plant species with a total of 42 species. Worldwide, Annonaceae is an entirely tropical family with about 120 genera and 2300 species. Members of family Annonaceae have been investigated as potential sources of biologically active Annonaceous acetogenins containing five-membered ring lactones, which have exhibited powerful anti-tumor activities [17]. In recent times, the search and synthesis of five membered ring containing natural products have become important [18, 19]. The genus Goniothalamus (Annonaceae) consists of over 120 species of shrubs and small to large trees. It is widely distributed in lowland and submontane tropical forests in South-East Asia, with the center of diversity in western Malaysia [20]. It is represented in Sri Lanka by five species, all endemic except G. thwaitesii [21].A number of Goniothalamus species are widely used in traditional medicine by the local communities in Malaysia [22]. The most common medicinal usage of plants of this genus is associated with instigating abortions and for undefined post-natal treatments [23]. The endemic plant Goniothalamus gardneri Hook, f. and Thomson (Sinhala: katu kera) is confined to the western part of the hill country in Sri Lanka. It is rather common in secondary and disturbed primary rainforests. It is less abundant or rare in undisturbed vegetation, usually at elevations between 300 and 900 m. G. gardneri is an erect treelet, 1.5-5 m tall, poorly branched and unbranched when young [21]. During the course of our investigation of the roots of this plant, we have isolated a new acetogenin Gardinerin. The flowers of G. gardneri yielded (5R)-goniothalamin, poriferasterol and sitgmasta-4, 22-dien-3-one.

MATERIALS AND METHODS

Plant material and preparation of extracts

The root bark (35 g) of G. gardneri was collected in January 2002 from the Gannoruwa forest, Central Province, Sri Lanka. The flowers (410 g) of the plant were first collected in August 2002 from the same place. The plant material was identified by Dr. Siril Wijesundara, Department of Royal Botanic Gardens, Sri Lanka. Voucher specimens have been deposited at the National Herbarium, Peradeniya, Sri Lanka.

Ground plant root (125 g) was subjected to sequential extraction with hexane followed by CH2Cl2 and MeOH. Plant extracts were concentrated in vacuo to yield 3.2 g of brown CH2Cl2 extract and 1.71g of brown MeOH extract. Extraction of flowers (32 g) under conditions similar to above gave 10 g of dark green CH2Cl2 extract and 22 g of dark green MeOH extract.

Isolation of compounds

The CH2Cl2 extract of roots (3.2 g) was made into a slurry with silica gel (3.2 g) and subjected to MPLC on silica gel (5 g) using the solvent gradient hexane to 50% MeOH/CH2Cl2 to give late eluting mosquitolarvicidal fractions. These active fractions were combined and further fractioned on a gravity column on silica gel (3 g) using the solvent gradient 2.5% MeOH/CH2Cl2 to 20% MeOH/CH2Cl2 to yield pure gardinerin as a colorless wax (18 mg); secondly it gave (5R)-goniothalamin (white crystals, 42 mg, recrystalized in CH2Cl2/hexane mixture to obtain colorless crystals). m. p. 81–82 °C, [23];1H and 13C data were identical to that reported in the literature for (5R)-goniothalamin [24, 25].

Air-dried flowers (410 g) of G. gardneri were subjected to sequential solvent extraction with hexane followed by CH2Cl2 and MeOH. The hexane extract when subjected to MPLC on silica gel (53 g) using the solvent gradient, 5% MeOH/CH2Cl2 gave poriferesterol (white crystalline solid, 9 mg; m. p. 148-149 °C (Lit. m. p. 155-156 °C [26] [α]D[25]-50o (c 0.02, CH2Cl2); 1H and 13C data were identical to those reported in the literature) followed by stigmast-4,22-dien-3-one (40 mg, colorless semi-solid; 1H and 13C data were identical to those reported in the literature) [27].

Bioassays

Mosquitolarvicidal assay was carried out for gardinerin using the second instar larvae of Aedes aegypti [28].

The antioxidant activity of the plant extracts was determined using DPPH (1,1-diphenyl-2-picrylhydrazyl) radical scavenging method [19]. The final concentration of DPPH in the test mixture was maintained at 1× 10-4 mol dm-3 in methanol, and α-tocopherol was used as a positive control. The IC50 values were determined in triplicate using solutions of 1, 5, 10, 15, 20, 40, 60, 80 and 100 ppm. The absorbance of the test solutions was measured at 517 nm after 30 min using a UV spectrophotometer (Shimadzu, UV-1800). The antioxidant activity was calculated using the formula: % antioxidant activity = [(Ai-Af)/Ai] × 100, where Ai is the initial absorbance of the test mixture following the addition of DPPH and Af is the absorbance after 30 min. IC50 values stated as mean±SD, in ppm, were based on different concentrations and three replicates.

Cytotoxic activity was determined using brine shrimp assay [29]. A concentration series of the test compound was prepared ranging from 2000, 750, 200, 75.0, 20.0, 7.5, 2.0 and 0.75 ppm in DMSO (1% v/v) in sea water. A final volume of 5.0 ml was maintained for each test sample and 10 one day old shrimp larvae were added to each concentration level. After 24 h, the viable of shrimps was counted for each concentration level and the percent lethality was determined using Probit analysis. The LC50 values were determined with 95% confidence intervals using software Minitab®16. (4S)-4-Methyl-2-(11-dodecynyl)-2-butenolide [21] and DMSO (1.0% v/v) in sea water were used as a positive control and a negative control, respectively. All tests were carried out in triplicate. The data were statistically analyzed and LC50 values, based on eight concentrations and three replicates, expressed as mean±SD.

RESULTS AND DISCUSSION

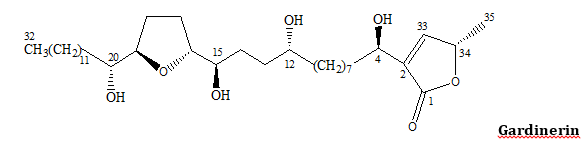
HRFABMS of gardinerin (m. p. 55-57 °C; [α]D[25]+6o (c 0.01, CH2Cl2) showed a self-protonated molecular ion at m/z 597.4752 [MH]+(calcd. 597.4730) indicating a molecular formula of C35H64O7. The 1H, 13C and DEPT NMR spectrums obtained for gardinerin showed 35 carbon atoms with 64 attached hydrogen atoms. The 13C NMR clearly indicated seven carbon atoms bearing oxygen atoms and one ester carbonyl. Gardinerin had a UV absorption at 228 nm (lmax, CH2Cl2) indicating that it had an α, β-unsaturated methyl–γ-lactone moiety. 1H and 13C spectral data confirmed the presence of an α, β-unsaturated methyl–γ-lactone moiety bearing a secondary methyl group (δH 1.42, H-35; δC 19.1, C-35; δH 5.05, H-34; δC 78.1; δH 7.20, H-33; δC 152.0, C-33; 131.2, C-2; 174.6, C-1) (table 1), a common feature in Annonaceous acetogenins [29].

A signal at d 3.0 in 1H NMR representing four hydrogens disappeared upon the addition of D2O, a prominent IR OH absorption at 3400 cm-1 and four successive losses of H2O (m/z 18) from the [MH+] in the FABMS suggested the presence of four hydroxyl functions (fig. 1). 1H and 13C signals further indicated the presence of a tetrahydrofuran (THF) ring with two flanking hydroxyl groups (δH 3.42, H-15; δC 74.4, C-15; δH 3.82, H-16; δC 82.7, C-16; δH 3.82, H-19; δC 82.7, C-19; δH 3.42, H-20; δC 74.1, C-20). FABMS of gardinerin showed this moiety to be located at C-15-C-20; this placement was further corroborated by the HRFABMS in which the fragment appearing at m/z 299.2241 (calcd. 299.2238) corresponding to an elemental composition of C18H35O3. In the FABMS the major fragment ion responsible for the peak at m/z 397 was attributed to that formed by the cleavage at C-19/C-20. The ion responsible for the peak at m/z 299 was formed by the C-14/C-15.


Fig. 1: Mass spectral fragmentation profile of gardinerin


Table 1: 1H and 13C NMR data for gardinerin

Positiona

dC

 dH (J in Hz)

1

174.6

 

2

131.2

 

3

 

33.3 3.45 m

4

 

69.9 3.82 m

5-11

22.7-38.3

1.25-1.60 m

12

71.8

3.59 m

13-14

33.9-34.2

1.41-1.48 m

15

74.4

3.42 m

16

82.7

3.82 m

17

28.1

1.72 m, 1.94 m

18

28.9

1.64 m, 1.96 m

19

82.7

3.82 m,

20

74.1

3.42 m

21-31

22.7-38.3

1.25-1.60 m

32

14.1

0.88 t (6.9)

33

152.0

7.20 s

34

78.1

5.05 qd (6.6, 1.5)

35

19.1

1.42. d (6.6)

aSpectra collected in C6D6 at 400 MHz

The ions at m/z 327 formed by the C-12/C-13 cleavage. Furthermore, a fragment ion appearing at m/z 141 was due to the cleavage at C-4/C-5 further proving the presence of an α, β-unsaturated methyl–γ-lactone moiety. Based on the above data, it was evident that gardinerin were a mono-THF acetogenin containing hydroxyl groups at C-4, 12, 15 and 20. The relative stereochemistry across the THF ring and the flanking hydroxyls were assigned threo/trans/threo based on 1H and 13C data of gardinerin which were consistent with those of model acetogenins [30, 31].

Gardinerin showed highly potent larvicidal activity with an LC50 = 0.0744 ppm, cytotoxicity (LC50 = 1.5±0.37 ppm) and antioxidant activity (IC50 =10.02±0.01 ppm). The same extract furnished (5R)-goniothalamin. The hexane extract of the flowers of G. gardineri yielded poriferesterol and stigmast-4, 22-dien-3-one.

CONFLICT OF INTERESTS

Declared None.

REFERENCES

  1. Orange A, Wolseley P, Karunaratne V, Bombuwela K. Two leprarioid lichens new to Sri Lanka. Bibl Lichenol 2001;78:327-33.
  2. Jayalal RGU, Wolseley PA, Gueidan C, Aptroot A, Wijesundara DSA, Karunaratne V. Anzia mahaeliyensis and Anzia flavotenuis, two new species from Sri Lanka. Lichenol 2012;44:381-9.
  3. Bandara BMR, Fernando IHS, Hewage CM, Karunaratne V, Adikaram NKB, Wijesundara DSA. Antifungal activity of some medicinal plants of Sri Lanka. J Natl Sci Counc Sri Lanka 1989;17:1-13.
  4. Bandara BMR, Hewage CM, Jayammane L, Karunaratne V, Bandara KANP, Adikaram NKB, et al. Biological activity of some steam distillates from leaves of ten species of Rutaceous plants. J Natl Sci Counc Sri Lanka 1990;18:71.
  5. Hewage CM, Bandara KANP, Karunaratne V, Bandara BMR, Wijesundara DSA. Insecticidal activity of some medicinal plants of Sri Lanka. J Natl Sci Counc Sri Lanka 1997;25:141-50.
  6. Hewage CM, Bandara BMR, Karunaratne V, Wannigama GP, Pinto MRM, Wijesundara DSA. Antibacterial activity of some medicinal plants of Sri Lanka. J Natl Sci Counc Sri Lanka 1998;26:27–34.
  7. Bandara BMR, Cortez D, Jayasinghe L, Karunaratne V, Wannigama GP, Sotheeswaran S. Aphorphine alkaloids from Litsea gardineri and Actinodaphne speciosa. Planta Med 1989;55:393.
  8. Bandara BMR, Jayasinghe L, Karunaratne V, Wannigama GP, Bokel M, Kraus W. Isolation of pheanthine from Cyclea burmanai. Planta Med 1990;56:245.
  9. Gunatilaka AAL, Dhanabalasingham B, Karunaratne V, Kikuchi T, Tezuka Y. Studies on terpenoids and steroids. Part 27. Structure of a D: A-Friedo-oleanane Triterpenoid from Salacia reticulata and revision of the structure of kokoonol, kokzeylanol series of triterpenoids. Tetrahedron 1993;49:10397.
  10. Tezuka Y, Kikuchi T, Dhanabalasingham B, Karunaratne V, Gunatilaka AAL. Studies on terpenoids and steroids, 25. Complete 1H-and 13C-Nmr spectral assignments of salaciquinone, a New 7-Oxo-quinonemethide Dinortri-terpenoid. J Nat Prod 1994;57:270–6.
  11. Kathirgamanathar S, Ratnasooriya WD, Baekstrom P, Andersen RJ, Karunaratne V. Chemistry and bioactivity of physciaceae lichens pyxine consocians and Heterodermia leucomelos. Pharm Biol 2006;44:217-20.
  12. Thadhani VM, Choudhary MI, Ali S, Omar I, Siddique H, Karunaratne V. Antioxidant activity of some lichen metabolites. Nat Prod Res 2011;25:1827-37.
  13. Thadhani VM, Choudhary MI, Khan S, Karunaratne V. Antimicrobial and toxicological activities of some depsides and depsidones. J Natl Sci Foundation 2012;40:43-8.
  14. Karunaratne V, Hoveyda HR, Orvig C. General method for the synthesis of trishydroxamic acids. Tetrahedron Lett 1992;33:1827-30.
  15. Kumar V, Karunaratne V, Meegalle MRSK. 1-[2′,4′-Dihydroxy-3′,5′-di-(3″-methylbut-2″-enyl)-6′-methoxy] phenylethanone from Acronychia pedunculata root bark. Phytochem 1989;28: 1278–9.
  16. Ratnayake Bandara BM, Hewage CM, Karunaratne V, Adikaram NKB. Methyl ester of para-coumaric acid: antifungal principle of the rhizome of Costus speciosus. Planta Med 1988;54:477-8.
  17. Yu D-Q. Recent works on anti-tumor constituents from Annonaceae plants in china. Pure Appl Chem 1999;71:1119-22.
  18. Piers E, Karunaratne V. Conjugate addition of lithium phenylthio-and Cyano-[2-(4-chlorobut-l-enyl) cuprate to cyclic enones. An efficient methylenecylcopentane annulation process. J Chem Soc Chem Commun 1983;17:935-6.
  19. Piers E, Karunaratne V. Methylenecyclopentane annulation: a synthesis of the sesquiterpenoid (±)-Pentalenene. J Chem Soc Chem Commun 1984;15:959-60.
  20. Saunders RMK. The genus Goniothalamus (Annonaceae) in Sumatra. Bot J Linn Soc 2002;139:225-54.
  21. Dassanayake MD. A revised handbook to the flora of ceylon. Oxford and IBH Publishing Co. Pvt. Ltd., New Delhi; 1996. p. 131-2.
  22. Ahmad FB, Tukol WA, Omar S, Sharif AM. 5-Acetyl goniothalamin, a styryl dihydropyrone from Goniothalamus uvaroides. Phytochem 1999;30:2430-1.
  23. Colegate SM, Din LB, Latiff A, Mat Salleh K, Samsudin MW, Skelton BW, et al. (+)-Isoaltholactone: a furanopyrone isolated from Goniothalamus species. Phytochem 1990;29:1701-4.
  24. Oberlis NH, Chang CJ, McLaughlin JL. Structure-activity relationships of diverse Annonaceous acetogenins against multidrug resistant human mammary adenocarcinoma (MCF-7/Adr) cells. J Med Chem 1997;40:2102-6.
  25. Mootoo BS, Ali A, Khan A, Reynolds WF, McLean S. Three novel monotetra hydrofuran annonaceous acetogenins from annona montana. J Nat Prod 2000;63:807–11.
  26. Huneck S, Yoshimura I. Identification of lichen substances, Springer, Berlin; 1996. p. 394.
  27. Slatkin DJ, Knapp JE, Schiff Jr JL. Steroids of cannabis sativa root. Phytochem 1975;14:580–1.
  28. Bandara KA, Jacobsson U, Kumar V, Molleyres L-P. Insecticidal piperidine alkaloid from Microcos paniculata stem bark. Phytochem2000;54:29-32.
  29. Mayer BN, Ferrigni NR, Putnam JE, Jacobsen LB, Nichols DE, Mclaughlin JL. Brine shrimp: a convenient bioassay for active plant constituents. Planta Med 1982;45:31-4.
  30. Hoye TR, Zhuang ZP. Validation of the 1H NMR chemical shift method for determination of stereochemistry in the Bistetrahydrofuranyl moiety of Uvaricin-related acetogenins from annonaceae: rilliniastatin 1 (and Asimicin). J Org Chem 1998;53:5578-80.
  31. Jiang Z, Chen Y, Chen RR, Yu D-Q. Mono-tetrahydrofuran ring acetogenins from Goniothalamus donnaiensis. Phytochem 1997;46:327-31.