
Chemistry Department, Faculty of Science, Zagazig University, Zagazig, 44519, Egypt
Email: aymangouda77@gmail.com
Received: 07 Jun 2015 Revised and Accepted: 08 Aug 2015
ABSTRACT
Objective: Efficient cloud point extraction (CPE) methodology was developed for pre concentration of trace nickel in water samples prior to their determination by spectrophotometry.
Methods: The method is based on the reaction of nickel with 2-(benzothiazolyl azo) orcinol reagent (BTAO) at pH 7.0 and micelle-mediated extraction using the nonionic surfactant Triton X-114 medium.
Results: The surfactant-rich phase was diluted with methanol and the nickel content was determined at 558 nm. The optimum conditions (e. g. pH, reagent and surfactant concentrations, and temperature and centrifugation times) were evaluated and optimized. The proposed CPE method showed linear calibration within the range 10–250 ng/ml of nickel and the limit of detection of the method was 2.0 ng/ml with a preconcentration factor of 50. The relative standard deviation (RSD) and relative error were found to be 1.10% (N = 6). The interference effect of some cations and anions was also studied.
Conclusion: The method was applied to the determination of nickel in water samples with a recovery from the spiked samples in the range of 95.85–98.50%.
Keywords: Cloud point extraction, Cobalt (II), Spectrophotometry, BTANP, Water samples.
© 2016 The Authors. Published by Innovare Academic Sciences Pvt Ltd. This is an open access article under the CC BY license (http://creativecommons.org/licenses/by/4.0/)
INTRODUCTION
Nickel is a moderately toxic element compared with other heavy metals, and the inhalation of the metal or its compound can cause various disorders including respiratory system and even cancer [1]. Moreover, nickel is the metal component of the enzyme urease and can cause skin disorder, known as nickel-eczema which is a considerable health problem particularly among women [2, 3]. Thus, determination of Ni (II) attracts chemical researchers and environmental analysis groups. Several techniques such as flame atomic adsorption spectrometry (FAAS) [4,5], micellar electrokinetic capillary chromatography (MEKC)[6], graphite furnace atomic absorption spectrometry (GFAAS) [7], inductively-coupled plasma atomic emission spectrometry (ICP-AES) [8], and inductively coupled plasma mass spectrometry (ICP-MS) [9, 10] have been applied for the direct determination of Ni(II) in various matrices.
However, the spectrophotometric method still has the advantages of simplicity and of not requiring expensive or complicated test equipment. This has led to the development of a wide variety of spectrophotometric methods for the determination of nickel [11-29]. Routine spectrophotometric methods are often not sensitive or selective enough to determine low concentrations of nickel ions in water and environmental samples only at the μg/l levels, due to influences of the matrix of the analyzed samples and low detection limit for this concentration. Therefore, for determination of Ni(II) in water and environmental samples, many separation and pre concentration techniques are required for a sensitive and accurate analysis. In this sense, different pre concentration techniques including coprecipitation [30], liquid–liquid extraction [31, 32], solid-phase extraction [22, 33, 34] and membrane filtration [35] were used widely.
The use of micellar systems such as CPE for separation and pre concentration has attracted considerable attention in the last few years, mainly because it is in agreement with the “green chemistry” principles. Green chemistry can be defined as those procedures for decreasing or eliminating the use or generation of toxic substances for human health and for the environment [36]. CPE is a green method for the following reasons: (a) it uses as an extractor media diluted solutions of the surfactants that are inexpensive, resulting in the economy of reagents and generation of few laboratory residues; and (b) surfactants are not toxic, not volatile, and not easily flammable, unlike organic solvents used in liquid–liquid extraction [37-39].
CPE consists of three simple steps: (1) solubilization of the analytes in the micellar aggregates; (2) clouding; (3) phase separation for analysis. When a surfactant solution is heated over a critical temperature, the solution easily separates into two distinct phases: one contains a surfactant at a concentration below, or equal to, a critical micelle concentration; the other is a surfactant-rich phase. The hydrophobic compounds initially present in the solution and bound to the micelles are extracted to the surfactant-rich phase. This phenomenon is observed, in particular, for polyoxyethylene surfactants and can be attributed to the two ethylene oxide segments in the micelle that repel each other at low temperature when they are hydrated and attract each other when the temperature increases owing to the dehydration.
The concentration of the surfactant-rich phase is the critical micellar concentration. CPE methodologies are based on this property. The use of CPE in procedures for separation and pre concentration of metal ions has been centered on the extraction of these metallic substances as sparingly water-soluble chelate complexes.
Many cloud-point extraction (CPE) methods for pre concentration and determination of nickel in various samples have been developed involving several chelating agents [40-71]. The proposed method was compared to a variety of other CPE separation/pre concentration methods for determination of nickel reported recently in the literature.
Thiazolyle azo and benzothiazolyl azo dyes have attracted much attention as they are sensitive chromogenic reagents in addition to being important complexing agents. These azo dyes have been applied to a cloud point extraction method for determinations of many metal ions due to its good selectivity and sensitivity over a wide range of pH and because they are relatively easy to synthesize and purify. Nevertheless, for conventional spectrophotometric analysis in aqueous solution, the low solubility of these azo compounds and their complexes is a significant drawback, that can be overcome by adding organic solvents or surfactants [72]. According to our literature survey, 2-(2-benzothiazolylazo) orcinol (BTAO) which is well known as a chelating agent for metal ions [73].
In the present work, Anew reagent 2-(benzothiazolyl azo) orcinol (BTAO) was synthesized used for the first time as a chromogenic reagent for the cloud point extraction (CPE) pre concentration of nickel after the formation of a complex using Triton X-114 and spectrophotometric determination. The factors influencing the efficiency of CPE extraction and spectrophotometric determination were systematically studied. The proposed CPE method was simple, selective and sensitive for the accurate determination of trace amount of nickel in water samples with satisfactory results.
MATERIALS AND METHODS
Apparatus
All absorption spectra were made using Varian UV–Vis spectrophotometer (Cary 100 Conc., Australia) equipped with a 5.0 mm quartz cell was used for absorbance measurements. This spectrophotometer has a wavelength accuracy of±0.2 nm with a scanning speed of 200 nm/min and a bandwidth of 2.0 nm in the wavelength range of 200–900 nm. Hanna pH-meter instrument equipped with a combined glass-calomel electrode (Portugal) (HI: 9321) was used for checking the pH of prepared buffer solutions.
A centrifuge with 25 ml calibrated centrifuge tubes (Isolab, Germany) were used to accelerate the phase separation process. A thermo stated water bath with good temperature control was used for the CPE experiments. In order to characterizethe new reagents, the IR spectra were recorded as KBr discs using Matson FTIR spectrophotometer in the 4000–200 cm−1 range. The 1H-NMR spectrum of the reagent was performed using a varian EM 390-90 NMR spectrometer in d6-DMSO as solvent using tetramethyl silane (TME) as an internal standard. The Microanalysis of C, H and N of this compound was performed in the Microanalytical Center.
Chemicals and reagents
All chemicals were of analytical reagent grade unless otherwise stated. Ultra pure deionised water was used throughout the work. All the plastic and glassware were cleaned by soaking in 5.0% (v/v) HNO3 solution for 24 h and then rinsed with bi distilled water at least three times prior to use.
The stock solution (1000 µg/ml) of Ni(II) ion was prepared from high purity Ni(NO3)2.6H2O, supplied by (Merck, Darmstadt, Germany). The working standard solutions were prepared daily by diluting stock standard solutions. The standard solution (200 μg/ml) used for the calibration procedures was prepared before use by dilution of the stock solution with 1.0 mol/l HNO3.
The pH of the solutions was adjusted using buffer solutions. Phosphate buffer solutions at pH 2.0 and 3.0 were prepared by mixing appropriate volumes of 1.0 mol/l sodium dihydrogen phosphate (NaH2PO4·2H2O) and phosphoric acid (o-H3PO4) solutions. Acetate buffer solution (CH3COONa/CH3COOH) at pH (4.0 and 5.0) was prepared by mixing appropriate volumes of 1.0 mol/l acetic acid and 1.0 mol/l sodium acetate solutions. For pH 6.0 and 7.0, phosphate buffer solutions (NaH2PO4/Na2HPO4) were prepared by mixing appropriate volumes of 1.0 mol/l sodium dihydrogen phosphate and 1.0 mol/l sodium hydrogen phosphate. Ammoniacal buffer (NH3/NH4Cl) solutions at pH (8.0-10) were prepared by mixing appropriate amounts of 1.0 mol/lammonia and 1.0 mol/l ammonium chloride solutions [73].
Triton X-114 (tertoctylphenoxy poly (oxyethylene) ethanol) (Fluka, Buches, Switzerland) was used as the non-ionic surfactant without further purification. Aqueous 0.2 % (v/v) solution of Triton X-114 was prepared by dissolving 0.2 ml of Triton X-114 in 100 ml of bi distilled water in 100 ml volumetric flask with stirring. Nitric acid solutions were prepared by direct dilution with deionized water from the concentrated solutions. Methanol, acetone, and ethanol (Merck) were used to decrease the viscosity of surfactant-rich phase. The solutions of various cations and anions used for the interference study were obtained from the respective high purity inorganic salts (Sigma-Aldrich, USA) by proper dilution in bi distilled water.
Synthesis of 2-(benzothiazolyl azo) orcinol reagent (BTAO)
A solution of 2-amino benzothiazole (7.5 g) (Sigma-Aldrich) was dissolved in 10 ml concentrated hydrochloric acid, then 15 ml of ice water was added. With this solution, a cold solution of sodium nitrite (Merck) (1.75 g) dissolved in 20 ml of water at 0–2oC was added drop wise and the mixture was stirred for 1.0 h in an ice bath at-5.0 oC. Orcinol (6.2 g) was dissolved in small amounts of 10 ml ethanol, and then add 10 g sodium acetate dissolved in 30 ml water and cooled to 0–2 oC. The solution was added dropwise to the above diazotized solution with vigorous stirring. The mixture was stirred for an additional 2.0 h in an ice-bath at-5.0 oC and allowed to stand overnight. The precipitate formed was filtered off, washed with water, air dried and first purified by base-acid recrystallization method and further purified by recrystallization from ethanol, then dried in the oven at 70 °C for several hrs [74].
A stock solution (1.0 × 10-3 mol L−1) of BTAO was prepared by dissolving an appropriate amount of the reagent in a minimum amount of absolute ethanol and diluting the mixture to 100 ml with water in a 100 ml measuring flask. The working solution was prepared by its appropriate dilution with the same solvent.
CPE procedure
An aliquot of nickel standard solution was transferred to a 25 ml centrifuge tube, 1.0 ml of the 1.0×10−3 mol/l BTAO solution and 3.0 ml of phosphate buffer solution (pH 7.0) were added. After that, 1.0 ml of (0.2% v/v) Triton X-114 solution was added. This system was heated in a water bath at 40ºC for 10 min. To separate the two phases, the mixture was centrifuged for 10 min at 4000 rpm. Then, it was cooled cooled in an ice-bath for 5.0 min. The surfactant-rich phase became a viscous phase, which could then be separated by inverting the tubes to discard the aqueous phase. A volume of 0.5 ml methanol was added to the surfactant-rich phase to reduce its viscosity and to facilitate sample handling prior to spectro photomeric assay at 539 nm. The pre concentration factor was 50 for standard solutions during calibration. The absorbance of the solution was measured at 558 nm. Calibration was performed by using different standard solutions of Ni(II), submitted to the same pre-concentration and determination procedures. Blank solution was also submitted to a similar procedure and measured in parallel to the sample solutions.
Applications in water samples
The proposed method was applied to different water samples, including tap, river, sea and mineral water samples. The tap and mineral water samples were collected from Zagazig city and Nile river water samples were collected from Shobra Al-Keima, Egypt and seawater samples from Red Sea, Egypt, and the samples stored in polyethylene bottles. The samples were filtered through a cellulose membrane filter (Millipore) of 0.45 μm pore size and acidified with 1.0 % nitric acid and were subsequently stored at 4.0oC in a refrigerator. The organic content of the water samples was oxidized in the presence of 1.0% H2O2 and by the addition of concentrated nitric acid. The pH of the samples was adjusted to 7.0 with a buffer solution. Then the pre concentration CPE procedure given above was applied to understudy water samples. The analyte concentrations in the samples were determined by spectro-photometry.
RESULTS
Characteristic infrared and 1H-NMR spectra of BTAO
The elemental analysis of the synthesized reddish-brown BTAO (C14H11N3O2S; M. Wt. 285.32), (%): C, 58.93; H, 3.89; N, 14.73 and Found: C, 58.91; H, 3.88; N, 14.71 with Yield: (78%) and melting point 142 °C. The IR spectra of the BTAO azo dye compound under investigation and the assignment of the important bands is given in an infrared spectral region, which show different bands at about 3407 cm-1 due to the OH groups; at 3034 cm-1 due to the n (C-H) aromatic and at 2810 cm-1 due to the n (C-H) aliphatic of methyl group in orcinol. The stretching vibration of the thiazolylazo nitrogen n(–C=N–) is observed in the form of an intense band at 1649 cm-1 in the free ligand. The spectral region at 1600–1400 cm-1 is complicated because of the stretching modes of–C=C–and–N=N–which are superimposed in the same region. However, the band appearing at 1581 cm-1 can be assigned to (N=N) of the azo group of the ligand. Another band appeared at 1256 cm-1 in the ligand spectrum, this band is due to ν(C─S) of the thiazole ring (fig. 1).
The HNMR spectrum of the BTAO reagent shows different types of signals for the hydrogen and the chemical shift of different types of protons take the integration value which gives evidence and helps to assign the peaks. The peak lying at δ = 11.67 ppm for the BTAO reagent is referred to the hydrogen of OH group which are attached to an aromatic system of orcinol. The peak appears at δ = 2.52 ppm are due to the aliphatic-CH3 protons which attached to the benzene ring of orcinol. Multiple peaks at ranges δ = 6.35-8.2 ppm which are due to these protons of aromatic rings.
Fig. 1: FTIR spectrum of the new reagent 2-(benzothiazolylazo) orcinol (BTAO)
The absorption spectra of a standard solution of Ni(II) which react with BTAO and extracted by CPE at pH=7.0 give a maximum absorbance at 558 nm in surfactant-rich phase and the complex formed without CPE was measured at 539 nm against a reagent blank.
Optimization of the experimental conditions
Some analytical parameters such as pH, reagent and surfactant concentrations, temperature and centrifugation times, were investigated.
Effect of pH
Cloud point extraction of nickel was carried out in buffer solutions at different pH values. The extraction yield depends on the pH at which complex formation is carried out. Fig. 2. shows the effect of pH on the absorbance of Ni(II)-BTAO complex. It is seen that the absorbance increases with an increase in pH up to 6.0-8.0. Hence, pH 7.0 (phosphate buffer) was chosen as the optimum pH value for further experiments. In addition, the influence of the buffer amount was assessed, while the other experimental variables remained constant. The results have shown that if 3.0 ml or larger volume of buffer solution was added in 25 ml solution, no obvious variation took place in the absorbance. Therefore, it was concluded that 3.0 ml of phosphate buffer solution was chosen as the optimum volume.
Effect of BTAO concentration
Twenty five milliliters of a solution containing 2.0 μg of Ni(II), 0.2% Triton X-114 and at a medium buffer of pH 7.0 containing various amounts of BTAO were subjected to the cloud point pre concentration process. In order to study the influence of BTAO concentration on the extraction and determination of Ni (II) complex different concentrations of the chelating reagent in the range of 2.0 x 10-5–2.0 x 10-4 mol/l was used, and the general procedure was applied. fig. 3. Shown that the absorbance increased up to a BTAO concentration of 1.0 × 10–4 mol/l which was selected as the optimum concentration for the CPE of Ni(II).
Fig. 2: Effect of pH on the absorbance after CPE. Conditions: Ni(II), 200 ng/ml; BTAO, (1.0 × 10–4 mol/l) and Triton X-114, 0.2% (v/v). Other experimental conditions are described under procedures
Fig. 3: Effect of BTAO concentration on the absorbance after CPE. Conditions: Ni(II), 200 ng/ml; Triton X-114, 0.2% (v/v) and pH 7.0. Other experimental conditions are described under procedures
Effect of Triton X-114 concentration
Triton X-114 is one of the non-ionic surfactant extensively used in CPE. This is due to its advantages such as commercial availability with high purity, relatively low cloud point temperature, low toxicity and cost and high density of the surfactant-rich phase which facilitates phase separation by centrifugation [49]. fig. 4. shows the effect of non-ionic surfactant concentration within the Triton X-114 concentration range from 0.05–0.5% (v/v), on the CPE efficiency of Ni(II) ions. The absorbance of the complex was increased by increasing the Triton X-114 concentration up to 0.2% (v/v). A considerable decrease in the absorbance is observed with increasing the surfactant amounts higher than 0.2% (v/v). This can be attributed to an increase in volume and viscosity of the micellar phase. At concentrations below this value, the extraction efficiency of complexes was low because there are few molecules of the surfactant to entrap the Ni (II)-BTAO complex quantitatively. Thus, Triton X-114 concentration of 0.2% (v/v) was selected for subsequent experiments.
Effects of incubation time and temperature
In order to achieve easy phase separation and efficient pre concentration in cloud point extraction processes, it is imperative to optimize the incubation time and temperature. It was desirable to employ the shortest incubation time and the lowest possible incubation temperature, as a compromise between completion of extraction and efficient separation of phases. The influence of the incubation time and temperature was investigated in the ranges 5.0-20 and from 30-60 °C. The results demonstrate that in the incubation time of 10 min and the temperature of 40 °C were chosen for further experiments (table 1). The extraction efficiency for the Ni (II)–BTAO complex was constant. Therefore, an incubation temperature of 40 °C was chosen for the separation process. Higher temperatures lead to the decomposition of BTAO and the reduction of extraction yield. A centrifuge time period of 15 min at 4000 rpm was selected as optimum, as complete separation occurred within this time and no appreciable improvements were observed for longer periods.
Fig. 4: Effect of Triton X-114 concentration on the absorbance after CPE. Conditions: Ni(II), 200 ng/ml; BTAO, (1.0 × 10–4 mol/l) and pH 7.0. Other experimental conditions are described under procedures
Table 1: Effect of incubation time and temperature on cloud point extraction of Ni(II)
Time (min) |
Absorbance |
Temperature °C |
Absorbance |
5 |
0.27 |
30 |
0.25 |
10 |
0.35 |
35 |
0.34 |
15 |
0.34 |
40 |
0.35 |
20 |
0.30 |
45 |
0.33 |
50 |
0.30 |
||
60 |
0.29 |
Effects of diluent
In order to decrease the viscosity of the surfactant-rich phase a diluting agent was used. For the spectrophotometric method, the addition of a diluent into the surfactant-rich phase is often needed to obtain a homogeneous solution with compatible viscosity. Methanol, ethanol, acetone and acetonitrile were tested as diluent solvents. Surfactant-rich phase was found to be freely soluble in methanol. Therefore, methanol was chosen in order to have an appropriate amount of sample for transferring and measurement of the absorbance of the sample and also a suitable pre concentration factor. Hence the surfactant-rich phase was completed to 500 μl by methanol. Therefore, the pre concentration factor which defined as the ratio of the initial solution volume to the volume of surfactant rich phase was 50 using the proposed method.
Interference studies
In view of the high selectivity provided by spectrophotometry at the characteristic absorption wavelength of 558 nm, the only interference may be attributed to the pre concentration step. The effect of foreign ions on the absorbance of cobalt was tested. Different amounts of common ions were added to the test solution containing 200 ng/ml of nickel and the developed procedure was applied. The tolerance limits were determined for a maximum error of±5.0% and the results are given in table 2. These results demonstrate that the common coexisting ions did not have a significant effect on the separation and determination of Ni (II). BTAO method was observed to be fairly selective for Ni (II) ions at pH 7.0. Since commonly present ions in water samples did not affect significantly the recovery of Ni (II), the method can therefore be applied to determination of Ni(II) in water samples.
Table 2: Effect of interferent ions on pre concentration and recoveries of 200 ng/ml Ni (II) (N=3)
Ions |
Added as |
Maximum amount tolerable (mg/l) |
Recovery (%)±SDa |
K+ |
KCl |
5.0 |
95.0±2.0 |
Na+ |
NaCl |
10 |
96.0±2.0 |
Al3+ |
Al (NO3)3 |
1.0 |
97.0±2.0 |
Cr3+ |
Cr(NO3)3 |
1.0 |
97.0±3.0 |
Fe3+ |
FeCl3 |
1.0 |
95.0±2.0 |
Ca2+ |
CaCl2 |
2.0 |
97.0±2.0 |
Mg2+ |
MgCl2 |
2.0 |
95.0±2.0 |
Zn2+ |
ZnSO4 |
1.0 |
98.0±2.0 |
Pb2+ |
Pb(NO3)2 |
0.5 |
96.0±2.0 |
Mn2+ |
Mn(NO3)2 |
1.0 |
96.0±2.0 |
Co2+ |
Co(NO3)2 |
0.5 |
97.0±2.0 |
Cd2+ |
Cd(NO3)2 |
0.5 |
96.0±2.0 |
Cu2+ |
CuSO4 |
0.5 |
97.0±2.0 |
NO3- |
KNO3 |
5.0 |
97.0±2.0 |
SO42- |
Na2SO4 |
5.0 |
98.0±2.0 |
Cl- |
NaCl |
5.0 |
96.0±2.0 |
F- |
NaF |
5.0 |
96.0±3.0 |
a mean±standard deviation.
DISCUSSION
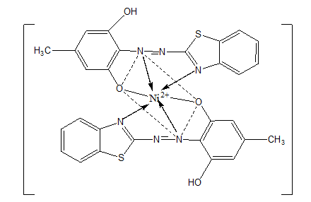
The separation of metal ions by CPE methods involves prior formation of a metal complex by an appropriate complexing agent, with sufficiently hydrophobic character, and subsequent extraction into a small volume of surfactant-rich phase. The required hydrophobic character of the extracted complex is guaranteed by the high lipophilic nature of the complexing agent (BTAO) used. In the present work, this characteristic was confirmed by the application of BTAO as a complexing agent in a cloud point extraction for separation and pre-concentration of Ni(II) ions in water samples. The Ni (II) might react with BTAO [75] to form Ni (BTAO)2 complex with stoichiometric ratio (1:2) as shown in fig. 5.
Fig. 5: The structural formula of Ni-BTAO complex
Analytical characteristics
The calibration graphs were linear in the range 10–250 ng/ml between the absorbance measured and the concentration of the metal in solution were obtained under the optimum conditions of the general procedure. table 3. summarizes the analytical characteristics such as regression equation, linear range, limits of detection and quantification, reproducibility and pre concentration and enhancement factors. The limit of detection, defined as CL =3SB/m (where CL, SB and m are limit of detection, standard deviation of the blank, and slope of the calibration graph, respectively) was 2.0 ng/ml.
The enhancement factor was calculated as the ratio of the slope of the calibration graph with pre concentration CPE procedure to the slope of the calibration graph without CPE was also approximately 40. The consumptive index is defined as the sample volume, in milliliters, consumed to reach a unit of enrichment factor (EF): CI = Vs (ml)/EF, where Vs is the sample volume.
The precision of the procedure was determined as the relative standard deviation (RSD) and relative error for six replicate measurements carried out in solutions containing 200 ng/ml of Ni(II) were found to be 1.10% and 1.15%, respectively.
Determination of Co (II) in water samples
In order to test the reliability of the proposed method, it was applied to the determination of Ni (II) from different water samples (tap, river, sea and mineral). The results are described in table 4. For calibration purposes, the working standard solutions were subjected to the same pre concentration procedure as used for the analyte solutions. In addition, the recovery experiments of different amounts of Ni (II) were carried out, and the results are also shown in table 4. The percentage recovery (R) was calculated by using the equation:
R %= {(Cm −C0)/m} × 100.
Where Cm is a value of the metal in a spiked sample, C0 is a value of metal in a sample and m is the amount of metal spiked. The results indicated that the recoveries were reasonable for trace analysis, in a range of 95.85–98.50% and confirm the validity and efficiency of the proposed method.
Table 3: Optimum conditions and analytical characteristics of the proposed method for determination of Ni(II) with and without CPE
Parameters |
With CPE |
Without CPE |
λ max (nm) |
558 |
539 |
Calibration range (ng/ml) |
10–250 |
200–4000 |
Molar absorptivity (L/mol. cm) |
1.172 x 107 |
2.471 x 103 |
Sandell sensitivity (ng/cm2) |
500 |
16.91 |
Regression equation (n=6)a |
||
Slope |
0.0016 |
0.00004 |
Intercept |
0.0122 |
0.0159 |
Correlation coefficient (r) |
0.9994 |
0.9990 |
Limit of detection (ng/ml) |
2.0 |
45 |
Limit of quantification, (ng/ml) |
6.70 |
150 |
Reproducibility (RSD, %) (n=6) |
1.10(200 ng ml-1) |
2.30(4000 ng ml-1) |
Preconcentration factor (PF) |
50 |
- |
Enrichment factor (EF) |
40 |
- |
Consumptive index (CI) |
0.625 |
- |
aA = a+bC, where C is the concentration of Co(II) in ng/ml
Table 4: Determination of Ni(II) in water samples using the proposed method (N=3)
Samples |
Added |
Found±SD (ng/ml) |
Recoverya (%) |
Tap water |
- |
˂LOD |
- |
100 |
98.50±0.40 |
98.50 |
|
200 |
194.0±0.60 |
97.0 |
|
River water |
- |
8.50±0.30 |
- |
100 |
104.0±0.50 |
95.85 |
|
200 |
201.0±0.70 |
96.40 |
|
Sea water |
- |
12.0±0.20 |
- |
100 |
108.0±0.40 |
96.43 |
|
200 |
206.0±0.80 |
97.17 |
|
Mineral water |
- |
˂LOD |
- |
100 |
96.00±0.30 |
96.0 |
|
200 |
196.0±0.60 |
98.0 |
aAverage of three determinations with 95% confidence level.
Table 5: Comparison of the reported methods for separation/pre concentration CPE technique for Ni (II)
Reagent |
Micellar system |
SRP diluting agent |
Detection system |
DL ng ml-1 |
Linearity ng ml-1 |
PF |
Matrix |
Reference |
PAN |
Triton X-114 |
HNO3(0.1 mol/l) in methanol |
FAAS |
2.6 |
2.5-160 |
30 |
Water, hemodialysis solutions and tuna fish |
[40] |
PAN |
TritonX-114 |
HNO3 |
ICP-OES |
5.6 |
40-400 |
13 |
Dolomite and bone ash |
[41] |
5-Br-PADAP |
14 |
20-400 |
||||||
PAN |
Triton X-114 |
Ethanol |
SP |
2.0–150 |
20 |
Tap water and urine |
[42] |
|
PAN |
TritonX-114 |
Ethanol |
FO-LADS |
0.04 |
0.1–15 |
199 |
Tap, river, dispenser water, serum |
[43] |
PAN |
TritonX-114 |
HNO3 (1.0 mol/l) |
FAAS |
2.4 |
0.01-0.5 |
River water |
[44] |
|
PAR |
TritonX-114 |
HNO3 (0.5 mol/l) in ethanol |
IOP-OES |
6.3 |
50-2500 |
9.79 |
Drinking, mineral and lake water |
[45] |
TAN |
TritonX-114 |
HNO3(0.1 mol/l) in methanol |
FAAS |
0.44 |
0-130 |
65 |
Tap, river and sea water |
[46] |
TAN |
TritonX-114 |
Ethanol |
FAAS |
5 |
Up to80 |
30 |
Peach leaves and Apple leaves-CRM |
[47] |
BDAP |
TritonX-114 |
HNO3 (1.0 mol/l) in methanol |
FAAS |
0.4 |
5.0-100 |
25 |
Apple leaves, spinach leaves and tomato leaves |
[48] |
Me-BTABr |
TritonX-114 |
HNO3 (1.0 mol/l) in methanol |
FAAS |
1.1 |
1.1-100 |
23 |
Spinach leaves, river, tap and well water |
[49] |
APDC |
TritonX-114 |
HNO3 (0.2 mol/l) in methanol |
ETAAS |
0.009 |
0.03-0.9 |
200 |
Near shore seawater, seawater and natural water |
[50] |
APDC |
TritonX-114 |
Methanolic solution of 70 g/l HCl containing 1.0 g/l KCl and 50 g/l 8-HQ |
FAAS |
11 |
Upto250 |
20 |
Sea, river, tap and wastewater, red wine, settled sewage |
[51] |
DDTC |
TritonX-100 |
Ethanol |
SP |
0.5 |
2.0-100 |
72 |
Soil, stream sediments, water |
[52] |
Dithizone |
Triton X-114 |
THF |
FAAS |
1.2 |
4.0-180 |
39 |
Waste, tap, river and sea water |
[53] |
8-HQ |
Triton X-114 |
HNO3 (1.0 mol/l) in methanol |
FAAS |
130 |
2.5-4500 |
100 |
Lake, waste and distilled water |
[54] |
8-HQ |
Triton X-114 |
ICP-OES |
10 |
80-400 |
19.97 |
River water |
[55] |
|
N,N'-bis[(1S)-1-benzyl-2-hydroxyethyl]-ethanediamide-DAD2 |
Triton X-114 |
HNO3 (1.0 mol/l) in methanol |
FAAS |
0.6 |
5.0–25 |
20 |
Tap and waste water |
[56] |
N,N'-bis(salicylidene)-1,2-ethanediamine |
Tergitol TMN-6 |
FAAS |
1.0 |
10-500 |
30 |
Water samples |
[57] |
|
3-[(8-{[(E)-2-hydroxyimino-1-methylpropylidene] amino}-1-naphthyl) imino]-2-butanone oxime |
Triton X-114 |
HNO3 (0.1 mol/l)in methanol |
FAAS |
0.2 |
59 |
Natural water |
[58] |
|
N(2-thiophenyl)-1-(2-hydroxyphenyl)imine |
Triton X-114 |
HNO3 (1.0 mol/l) in methanol |
FAAS |
1.0 |
7.0-330 |
30 |
Tap and well water, chocolate, honey |
[59] |
PMBP |
Triton X-100 |
HNO3 (0.1 mol/l) in methanol |
GFAAS |
0.12 |
Up to 300 |
27 |
Tap and lake water |
[60] |
DPKSH |
TritonX-114 |
(0.1 mol/l) in ethanol |
GFAAS |
0.14 |
0.25-2.0 |
27 |
Water samples, hemodialysis concentrate, urine, honey |
[61] |
(0.1 mol/l) in ethanol |
FAAS |
0.76 |
5.0-50 |
|||||
Ethanol |
SP |
1.5 |
2.94-29.4 |
|||||
ACDA |
TritonX-114 |
DMF |
SP |
10 |
20–500 |
Tap, river, sea and waste water |
[62] |
|
2-Phenyl-1H-benzo[d] Imidazole |
TritonX-114 |
HNO3 (2.0 mol/l) in methanol |
FAAS |
2.1 |
0.2–0.26 |
45 |
Bovineliver, blond, lotus (tree),milk, orange juice, apple fruit, fennel |
[63] |
IYPMI |
Triton X-114 |
HNO3 (2.0 mol/l) in methanol |
FAAS |
2.1 |
10-300 |
30 |
Blood,lotus tree, liver, spinach, soil, orange juice |
[64] |
Magneson I |
Triton X-114 |
FAAS |
2.7 |
17 |
Water and food sample |
[65] |
||
DPTH |
Triton X-114 |
DMF |
SP |
15000 |
50-200µg ml-1 |
1-10 |
Water and food samples |
[66] |
Sodium diethyl dithiocarbamate |
Triton X-114 |
HNO3 (1.5 mol/l) in ethanol |
GFAAS |
0.3 |
1.01-18 |
Water samples |
[67] |
|
8-HQ |
Triton X-100 |
GFAAS |
0.012 |
0.04-3.5 |
25 |
Stream sediment (GSR-3) and waters |
[68] |
|
MPKO |
Triton X-114 |
HNO3 (1.0 mol/l) |
FAAS |
1.9 |
30 |
Natural water, soil, blood, spinach, liver and chocolate |
[69] |
|
1,2-N, N |
PONPE 7.5 |
FAAS |
1.09 |
29 |
Water samples |
[70] |
||
No chelating agent |
PONPE 7.5 |
FAAS |
0.5 |
100 |
Water samples |
[71] |
||
BTAO |
Triton X-114 |
Methanol |
SP |
2.0 |
10-250 |
50 |
Water samples |
Proposed method |
CONCLUSION
The proposed cloud point extraction was successfully applied for pre concentration and determination of trace amounts of Ni(II) in water samples using BTAO as a selective complexing reagent and spectrophotometric detection. This study allowed the development of a new, fast, easy to use, sensitive, and safe environmentally friendly methodology. The procedure is inexpensive, because it consists of many low equipment and running costs, such as spectrophotometry which is available in most laboratories. Table 5. shows a comparison of the proposed method with other CPE procedures for nickel using several reagents. From table 5, it was observed that the proposed procedure presents analytical characteristics comparable to that reported in the literature. Finally, further work is being carried out in the application of benzothiazolylazo reagents in the determination of several species by cloud point methodologies in our laboratory.
ABBREVIATION
PAN:1-(2-pyridylazo)-2-naphthol;5-Br-PADAP:2-(5-bromo-2-pyridylazo)-5-diethylaminophenol;PAR:4-(2-pyridylazo)-resorcinol;TAN:1-(2-thiazolylazo)-2-naphthol;BDAP: 2-(2_-benzothiazolylazo)-5-(N,N-diethyl)aminophenol; Me-BTABr: 2-[2-(6-methyl-benzothiazolylazo)]-4-bromophenol; APDC:ammonium pyrrolidine dithiocarbamate;DDTC: diethyldithiocarbamate; 8-HQ: 8-hydroxyquinoline; PMBP:1-phenyl-3-methyl-4-benzoyl-5-pyrazolone;ACDA: 2-amino-cyclopentene-1-dithiocarboxylic acid; Magneson I:p-nitro phenyl azo resorcinol; DPTH:1,5-bis(di-2-pyridylmethylene) thio carbon hydrazide; DPKSH: Di-2-pyridyl ketone salicyloyl hydrazone;MPKO: methyl-2-pyridylketone oxime; 1,2-N, N:1-Nitroso-2-naphthol; PONPE 7.5: polyethylene glycol-p-nonylphenyl ether; IYPMI: 3-((indolin-3-yl) (phenyl) methyl) indoline; ' SP: spectrophotometry; FAAS: flame atomic absorption spectrometry; GFAAS: graphite furnace atomic absorption spectrometry; ICP-OES: Inductively coupled plasma optic emission spectrometry; ETFAAS: Electrothermal flame atomic absorption spectrometry; FO-LADS: fiber optic linear array detection spectro-photometry.
CONFLICT OF INTERESTS
The authors declare that they have no conflict of interests.
REFERENCES