
1Department of Pharmaceutics and Industrial Pharmacy, Faculty of Pharmacy, Cairo University, Egypt, 2Department of Pharmaceutics and Industrial Pharmacy, Faculty of Pharmacy, Misr University for Science and Technology (MUST), Giza, Egypt.
Email: draadel82@gmail.com
Received: 08 Jun 2015 Revised and Accepted: 11 Jul 2015
ABSTRACT
Objectives: Carvedilol (CVD) is a nonselective β-adrenergic blocker that suffers from low absolute bioavailability (25-35%) due to first-pass metabolism. CVD-loaded buccal tablets were developed as a promising approach to overcome this limitation.
Methods: The bilayers tablets were prepared by the direct compression technique. CVD-containing layer was based on one of four high molecular weight polymers; hydroxy propyl methylcellulose K15M (HPMC), Polyethylene oxide WSR N-750 (PEO), chitosan (CH) and Eudragit® RS-100 (EUD). An occlusive backing of ethylcellulose 20 (Ethocel®) was adopted as a second layer. The tablets were characterized for weight variation, thickness, friability % and drug content. Further studies were conducted to evaluate their swelling indices, surface pH, in vitro adhesion retention periods and in vitro drug release profiles.
Results: The prepared tablets followed the compendial requirements for thickness, friability %, drug content and weight variation. The surface pH of all tablets ranged from 6.43 to 7.44 while their adhesion retention periods varied from 3.12 to 4.24 h. The best achieved system (PEO-based matrix; F4) displayed a reasonable adhesion retention period and a promising sustained drug release profile, over at least 8 hours, following non-fickian diffusion kinetics. This could indicate the contribution of swelling and erosion mechanisms for drug release.
Conclusions: The current work succeeded in developing and evaluation of promising mucoadhesive CVD matrices suitable for buccal administration. Further pharmacokinetic and clinical studies are suggested to confirm the ability of the best achieved system to avoid the first pass metabolism of CVD and improve patient compliance.
Keywords: Carvedilol, Buccal, Bilayer tablets, Polymers.
INTRODUCTION
Most of clinicians and patients prefer the oral route for administration of drugs. In fact, many drugs cannot be delivered effectively through this route as they may be subjected to extensive first pass metabolism in liver which decrease its oral bioavailability [1].
Buccal drug delivery systems have superior advantages over the traditional oral route of administration such as avoiding the first pass hepatic metabolism, ease of administration especially for persons which cannot be dosed orally. Moreover, it can be easily removed from the buccal cavity in case of toxicity [2-3].
The oral cavity is considered as a very unique and preferable site of trans mucosal drug delivery to achieve a systemic effect which enables the drug to enter directly to the general circulation and thereby bypass the hepatic first pass metabolism, gastrointestinal tract problems and many problems of the conventional oral route [4].
Carvedilol (CVD) is a non-selective β-adrenergic blocker which has been widely used in the treatment of hypertension and heart failure. CVD is well absorbed from the gastrointestinal tract but its bioavailability is low (25-35%) due to extensive first pass metabolism [5, 6].
Most of the studies dealing with CVD buccal tablets, films or patches focused on the use of low viscosity grades of polymers. Outside this conceptual framework, the current study explored the potential of high molecular weight polymers on the physicochemical properties of the developed CVD bilayers buccal tablets. This work aimed to develop matrices showing more promising adhesion retention periods to allow more sustained drug release profiles. In fact, the avoidance of the first pass metabolism, the reduction of the dosing frequency as well as the improvement in patient compliance are extra targets to be validated in the upcoming work.
MATERIALS AND METHODS
Materials
Carvedilol was kindly provided by GNP (6th of October City, Egypt). Eudragit® RS-100 (EUD) was gifted by Evonic Röhm GmbH, (Darmstadt, Germany). Polyethylene oxide WSR N-750 (PEO)[MW 300 kDa], Ethylcellulose 20 (Ethocel®) and Hydroxypropyl methylcellulose K15M (HPMC) were donated by Dow Chemical Company(Midland, US). High molecular weight chitosan (CH) [190- 375kDa, degree of deacetylation>75%, viscosity 800- 2000 cps were purchased from Sigma -Aldrich Chemical Co. (St. Louis, US). Mannitol was acquired from Blackburn Distributions LTD (Lancashire, England). Magnesium stearate was derived from CG Chemikalien (Laatzen, Germany). Talc was purchased from El-Nasr Pharmaceutical Chemicals Co. (Abu Zaabal, Egypt). Other chemicals (analytical grade) were used as received.
Methods
Preparation of CVD bilayer buccal tablets
In an attempt to achieve uni-directional drug release towards the buccal mucosa, bilayer buccal tablets were prepared in which the Ethocel® outer layer served as an occlusive backing layer while CVD was loaded in the primary polymer layer.
Twelve primary layers, each containing 6.25 mg carvedilol, were prepared by direct compression using a single punch tablet press machine (Royal artist, Bombay, India) equipped with flat punches (7 mm). The respective powders, shown in table (1), including CVD, a polymer (HPMC K15M, CH, PEO, Eud), and a filler (mannitol) were separately passed through sieve no. 20. The investigated drug: polymer ratios were 1: 1, 1: 5 and 1: 10. The sieved powders were mixed for 10 min using a pestle and mortar. Finally, the lubricants (magnesium stearate and talc) were added and gently mixed for another 3 min with the previously blended powders. Accurate weights of each mixture (100 mg) were pressed in the tablet press machine to produce the desired primary layers. Accurate weights of Ethocel® (50 mg) were pressed in the tablet machine over the primary layers to produce the desired bilayer buccal tablets (F1–F12). The tablet hardness was kept constant in all batches at 5–5.5 kg/cm2 using a Monsanto hardness tester (St. Louis, MO).
Physicochemical characterization of the tablets
Random tablets were selected from each batch (representing each formula) and were accurately weighed. The individual weights of 20 tablets were compared to their average weight. The thickness of the tablets was determined using a vernier caliper (For-bro Engineers, Mumbai, India). The results are expressed as mean values (±SD) of 10 tablets.
According to USP specifications [8], 20 tablets were dedusted and placed in the drum of a tabletfriabilator (FAB-2, Logan Instruments Corp., NJ, USA)adjusted to rotate at a speed of 25 rpm. After 4 min, the tablets were removed, de dusted, and accurately weighed. The percent weight loss was determined relative to their original weight. The drug content uniformity within tablets was determined spectrophotometrically (1601-PC Double beam spectrometer, Shimadzu, Kyoto, Japan) at a wavelength of 287 nm. Briefly, ten tablets were randomly selected.
Each tablet was crushed using a pestle and mortar. Subsequently, each powdered tablet was extracted in 100 ml of Sorensen’s phosphate buffer pH 6.8 containing Tween 80 (0.5%, v/v). The solution was filtered, and the drug content was determined after dilution with the same buffer. The results are expressed as mean values (±SD) of ten samples [9].
Surface pH study
The tablet was allowed to swell by keeping it in contact with 2 ml of phosphate buffer (pH 6.8) for 2 h at room temperature. The pH was measured by bringing the electrode of the pH meter in contact with the surface of the tablet and allowing it to equilibrate for 1 min. The surface pH for each tablet was determined in triplicate and the mean±SD was calculated [10].
Swelling study
The swelling index (SI) for each tablet was determined in triplicate, and the mean (±S. D.) was calculated. The original weights of CVD tablets were determined (W1). The tablets were placed on separate agar plates (1%, w/w) and then incubated with Sorensen’s phosphate buffer (5 ml, pH 6.8) at 37±0.5 °C. At regular time intervals (2 h) until 8 h, the tablets were removed from the plates and the excess surface water was removed carefully with filter paper. The swollen tablet was then reweighed (W2) and the swelling index was calculated using equation (1) [11]:
Estimation of the adhesion retention period
The adhesion retention period of the tablets was estimated, in triplicate, in a USP Dissolution Tester (type II) (VK 7000 Dissolution Testing Station, Vankel Industries, Inc., NJ, USA).
Briefly, the primary layer of the tablet was wetted with phosphate buffer (pH 6.8), attached to the center of an agar plate (1%, w/w) by applying light force with a fingertip for 20 s and finally left for 5 min for equilibration.
The tablet-fixed agar plates were immersed into the dissolution medium (Sorensen’s phosphate buffer (pH 6.8) containing Tween 80 (0.5% v/v), 500 ml) at the lowest point of the dissolution flask. The paddles rotated at a speed of 50 rpm. The time elapsed till the detachment of the tablets, at 37±0.5 °C, was visually recorded as the adhesion retention period [12].
Table 1: Composition of CVD bilayer buccal tablets
Formulation code |
Drug (mg) |
HPMC (mg) |
PEO (mg) |
CH (mg) |
Eud (mg) |
Mannitol (mg) |
Mg stearate (mg) |
Talc (mg) |
Ethocel® (mg) |
F1 |
6.25 |
6.25 |
- |
- |
- |
85.5 |
1 |
1 |
50 |
F2 |
6.25 |
31.25 |
- |
- |
- |
60.5 |
1 |
1 |
50 |
F3 |
6.25 |
62.5 |
- |
- |
- |
29.25 |
1 |
1 |
50 |
F4 |
6.25 |
- |
6.25 |
- |
- |
85.5 |
1 |
1 |
50 |
F5 |
6.25 |
- |
31.25 |
- |
- |
60.5 |
1 |
1 |
50 |
F6 |
6.25 |
- |
62.5 |
- |
- |
29.25 |
1 |
1 |
50 |
F7 |
6.25 |
- |
- |
6.25 |
- |
85.5 |
1 |
1 |
50 |
F8 |
6.25 |
- |
- |
31.25 |
- |
60.5 |
1 |
1 |
50 |
F9 |
6.25 |
- |
- |
62.5 |
- |
29.25 |
1 |
1 |
50 |
F10 |
6.25 |
- |
- |
- |
6.25 |
85.5 |
1 |
1 |
50 |
F11 |
6.25 |
- |
- |
- |
31.25 |
60.5 |
1 |
1 |
50 |
F12 |
6.25 |
- |
- |
- |
62.5 |
29.25 |
1 |
1 |
50 |
In vitro drug release studies
The drug release studies were performed in a USP Dissolution Tester Apparatus, type-II at 37±0.5 °C. The dissolution medium (500 ml) was Sorensen’s phosphate buffer (pH 6.8) containing Tween 80 (0.5% v/v). The paddles rotated at a speed of 50 rpm. The tablet was supposed to release the drug from the primary layer only hence the backing side of tablet was fixed to a glass slide with cyanoacrylate adhesive. The loaded-glass slide was placed at the bottom of the dissolution vessel. At definite time intervals, aliquot samples (5 ml) from the dissolution medium were withdrawn and filtered through a cellulose acetate membrane (0.45 μm) [13]. Replacement with an equal volume of fresh medium was done at each time of withdrawal. The drug content of each sample was determined as previously described. The drug released percentages after 1 h (P1h) and 8 h (P8h) were calculated. The results are expressed as mean values (±S. D.) of three determinations. The data were statistically analyzed (SPSS 14.0, Chicago, USA) applying one-way ANOVA at P value<0.05. Post hoc multiple comparisons between formulae were performed using the least square difference test.
Kinetic modeling of dissolution profiles
The drug release profiles were fitted to zero-order, first-order, Higuchi diffusion model and Korsmeyer–Peppas model (equation 2) [14] to determine the model having the highest correlation coefficient.
Where, is an estimate of the drug dissolvedfraction at time t, k is a constant related to the geometric and structural characteristics of matrix, and n is the drug release exponent. The log value of the drug dissolved fraction was plotted against log time in equation (3) to determine the drug release exponent (n).
log = log k+n log t(3)
The n has the limiting value of 0.45 for diffusion (Fickian) controlled release, n values falling between 0.45 and 0.89 are correlated to anomalous (non-Fickian) controlled release. Thenon-Fickian kinetics corresponds to coupled polymer diffusion/relaxation [15,16] Values greater than 0.89 correspond to relaxation (Case II transport) controlled release.
RESULTS AND DISCUSSION
Altering the polymer combinations did not affect the physicochemical properties of the investigated CVD buccal tablets; as shown in table (2). The thickness of all tablet batches was relatively small ranging from 2.90to 3.1 mm. An average thickness of 3 mm would reduce the foreign body sensation and consequently improve patient compliance. All the tablets complied with the pharma copoeial specificationsfor weight variation, friability and drug content uniformity. The average weight of the tablets was in close approximation to the theoretical weight viz. 150 mg. Statistical analysis of data revealed a non-significant difference (P<0.05). A coefficientof variation of less than 3% could indicate compliance withthe USP Pharmacopeial requirements for weight [17].
A good mechanical resistance would be expected for all formulae as a result of their low friability (<1%). This could be expected to minimize the hazards of matrix erosion during shipping and transportation. The drug content of the individual units ranged from 97.42%to 103.12%. These values were much lower than those permitted by USP (90–110%) for drug content. This could be an indication to the suitability of the employedpowder mixing technique to prepare CVD tablets.
The surface pH of all the tablets ranged from 6.43 to 7.44, which was close to the pH of saliva (5.5–7). Hence, it could be assumed that the developed formulations might cause no irritation in the oral cavity upon clinic application.
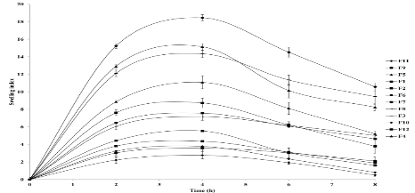
The swelling profiles of CVD tablets are shown in fig. (1). It is clear that the swelling indices of all CVD tablets increased with time where the investigated hydrophilic polymers (CH, HPMC, EUD, PEO) are expected to gradually absorb water. Maximum swelling was achieved after 4 hours; after which the matrices showed varied degrees of erosion in the medium. These findings were in line with those reported by Chaudhari and Harsulkar [18] who found that maximum swelling of carbopol-chitosan based matrices containing CVD was attained in 5 hrs. They observed that the polymers started eroding slowly in the swelling medium after this period. In fact, the swelling of polymers is the corner stone in its bioadhesive behavior which plays a very important role in maintaining the dosage form in its proper place in buccal cavity for uniform and prolonged drug action. The more the degree of polymer hydration the more the bio adhesion is, till it reaches a point where over hydration leads to a sudden drop in adhesion force due to disentanglement at the polymer tissue surface [19]. It was revealed that PEO-based matrices showed high swelling indices. The erosion of the matrices after 4 hours could be related to the water soluble nature of this polymer. In contrast, the swelling indices of CH-and HPMC-based matrices were much lower and showed gradual erosion.
All systems showed promising adhesion retention periods varying from 3.12 to 4.24 h; suggesting good adhesion to the buccal surfaces upon clinic application.
The mechanism of the interaction of the hydrated tablets with the agar tablets was explained by Tadros and Fahmy [12] who developed the adopted procedure. They showed that upon contact with agar plates in the dissolution medium, the hydrated tablets produce gelling networks able to interact with agar as a result of the physical entanglement and secondary bonding like H-bonding and Van der Waals attractions.
Fig. 1: Swelling indices of CVD buccal tablets versus time (mean±SD, n=3)
The higher medium uptake ability of the developed matrices, as proved in the swellingstudies, would increase the mobility of molecules and consequently facilitates the interaction and interpenetration with agar. It should be noted that very strong bio adhesion is not targeted since this could damage the epithelial lining of the buccal mucosa.
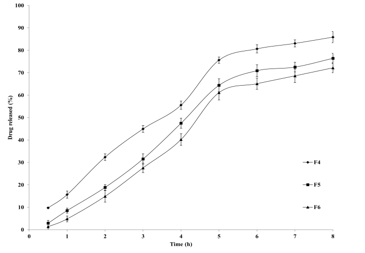
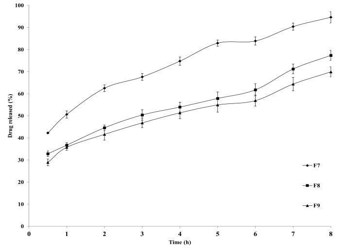
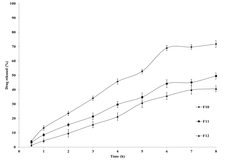
The in vitro drug release profiles revealed that the release of carvedilol from different formulations varies with the type and ratio of mucoadhesive polymer used in its formation as shown in fig. (2-5). The aim of the current work was to develop promising sustained release matrices capable of controlling the release of CVD over 8 hours, at least. To achieve this goal lower P1h and higher P8hpercentages are required. Inverse correlations were observed between the polymer ratio and P8h. In other words, the higher the polymer ratio in the developed matrix, the lower the P8h percentage.
CH-based matrices showed significantly (P<0.05) higher P1h percentage. On the other hand, EUD-based matrices showed significantly (P<0.05) lower P8h percentage. More promising results were achieved with HPMC-and PEO-based matrices who achieved good compromise between P1h and P8h percentages. F4 would be suggested to be the best achieved matrix where the P1h. and P8h were 15.66 and 85.89%, respectively.
All systems fitted to Korsmeyer-Peppas model. HPMC-based matrices were best fitted to Non-Fickian kinetics, indicating the positive impact of the diffusion and matrix erosion mechanisms in the drug release kinetics [15]. CH-based matrices were best fitted to Higuchi model while case II kinetic modeling was predominant in EUD-and PEO-based ones, indicating the limited influence and the pronounced contribution of the matrix erosion in drug release kinetics of the former and the latter matrices, respectively.
Table 2: Characterization of CVD buccal tablets (mean±SD)
Formulae |
Tablet weight (mg) |
Tablet thickness (mm) |
Drug content (%) |
Tablet friability (%) |
Surface pH |
Adhesion retention period (h) |
P1h (%) |
P8h (%) |
F1 |
150.32±0.51 |
2.9±0.1 |
101.92±1.13 |
0.25 |
6.92±0.28 |
3.72±0.16 |
28.96±0.27 |
86.83±1.64 |
F2 |
152.42±0.32 |
2.9±0.1 |
99.27±1.33 |
0.34 |
7.12±0.17 |
3.81±0.24 |
13.66±1.6 |
57.56±1.53 |
F3 |
148.63±0.25 |
3.1±0.1 |
102.92±1.16 |
0.21 |
6.72±0.19 |
4.22±0.15 |
10.67±1.49 |
33.49±1.43 |
F4 |
149.22±0.26 |
2.9±0.2 |
97.42±0.33 |
0.29 |
6.43±0.29 |
3.95±0.04 |
15.66±1.51 |
85.89±2.54 |
F5 |
154.74±0.27 |
2.9±0.1 |
101.52±1.23 |
0.32 |
7.44±0.18 |
4.10±0.17 |
8.53±1.81 |
76.42±2.68 |
F6 |
150.72±0.33 |
3.1±0.1 |
102.31±1.24 |
0.37 |
6.71±0.15 |
4.24±0.11 |
4.83±1.39 |
72.19±1.12 |
F7 |
147.34±0.32 |
2.9±0.2 |
98.55±1.11 |
0.34 |
6.62±0.11 |
3.24±0.09 |
50.66±1.83 |
94.63±1.24 |
F8 |
148.61±0.32 |
3.1±0.1 |
103.12±0.96 |
0.49 |
7.22±0.06 |
3.24±0.14 |
36.75±1.59 |
77.39±1.63 |
F9 |
149.41±0.28 |
3.1±0.1 |
97.62±1.98 |
0.27 |
6.52±0.09 |
3.92±0.08 |
35.77±2.51 |
69.92±1.55 |
F10 |
150.93±0.49 |
3.1±0.1 |
99.34±1.35 |
0.29 |
7.12±0.15 |
3.12±0.26 |
13.28±1.24 |
71.79±2.68 |
F11 |
150.12±0.30 |
2.9±0.1 |
100.91±1.34 |
0.31 |
6.82±0.11 |
3.25±0.09 |
8.49±1.12 |
49.53±1.55 |
F12 |
151.72±0.32 |
2.9±0.2 |
99.27±0.31 |
0.36 |
6.91±0.12 |
3.85±0.14 |
4.39±2.22 |
40.62±1.24 |
Fig. 2: In vitro release profiles of HPMC-based CVD bilayer buccal tablets (F1-F3) in Sorensen’s phosphate buffer (pH 6.8) containing Tween 80 (0.5% v/v) at 37±0.5 °C (mean±SD, n = 3)
Fig. 3: In vitro release profiles of PEO-based CVD bilayer buccal tablets (F4-F6) in Sorensen’s phosphate buffer (pH 6.8) containing Tween 80 (0.5% v/v) at 37±0.5 °C (mean±SD, n = 3)
Fig. 4: In vitro release profiles of CH-based CVD bilayer buccal tablets (F7-F9) in Sorensen’s phosphate buffer (pH 6.8) containing Tween 80 (0.5% v/v) at 37±0.5 °C (mean±SD, n = 3)
Fig. 5: In vitro release profiles of EUD-based CVD bilayer buccal tablets (F10-F12) in Sorensen’s phosphate buffer (pH 6.8) containing Tween 80 (0.5% v/v) at 37±0.5 °C (mean±SD, n = 3)
Table 3: Mathematical modeling and release kinetics of CVD buccal tablets
Zero-order plots |
First-order plots |
Higuchi |
Korsmeyer-Peppas plots |
|||
Form. code |
Corr. coeff. (R2) |
Corr. coeff. (R2) |
Corr. coeff. (R2) |
Corr. coeff. (R2) |
Release exponent (n) |
The best fitting model |
F1 |
0.966 |
0.988 |
0.995 |
0.999 |
0.582 |
Non-Fickian |
F2 |
0.993 |
0.996 |
0.992 |
0.999 |
0.661 |
Non-Fickian |
F3 |
0.966 |
0.980 |
0.997 |
0.998 |
0.597 |
Non-Fickian |
F4 |
0.969 |
0.984 |
0.989 |
0.996 |
0.865 |
Non-Fickian |
F5 |
0.974 |
0.982 |
0.978 |
0.997 |
1.278 |
Case II transport |
F6 |
0.982 |
0.983 |
0.974 |
0.994 |
1.577 |
Case II transport |
F7 |
0.965 |
0.965 |
0.997 |
0.998 |
0.275 |
Diffusion |
F8 |
0.987 |
0.962 |
0.973 |
0.989 |
0.258 |
Diffusion |
F9 |
0.978 |
0.977 |
0.983 |
0.998 |
0.269 |
Diffusion |
F10 |
0.950 |
0.954 |
0.976 |
0.982 |
0.983 |
Case II transport |
F11 |
0.983 |
0.990 |
0.986 |
0.991 |
1.053 |
Case II transport |
F12 |
0.987 |
0.987 |
0.972 |
0.992 |
1.059 |
Case II transport |
CONCLUSION
The current work succeeded in developing promising mucoadhesive CVD matrices suitable for buccal administration. The best achieved system (F4) displayed a high swelling index, reasonable adhesion retention period and a suitable sustained drug release profile. Further studies should be conducted in healthy volunteers to confirm these results and estimate the drug pharmacokinetics following buccal administration.
CONFLICT OF INTERESTS
The authors report no declarations of interests
REFERENCES