
Department of Pharmaceutical Organic Chemistry, Faculty of Pharmacy, Zagazig University, Zagazig, 44519, Egypt
Email: naosman2007@yahoo.com
Received: 10 Jun 2015 Revised and Accepted: 08 Aug 2015
ABSTRACT
Objectives: The objective of this work is to synthesize novel imidazole and fused imidazole derivatives using 5-arylidene-2-hydrazino-3-phenyl imidazolin-4-ones (5a-c) as key intermediate. The structure of the newly synthesized compounds was characterized using IR, 1HNMR, Mass spectroscopy, elemental analysis and some representative 13CNMR.
Methods: The target compounds were synthesized starting from 5-arylidene-2-hydrazino-3-phenyl imidazolin-4-ones (5a-c) which prepared from the appropriate 5-arylidene-2-(methylthio)-3-phenyl imidazolin-4-ones (3a-c). Several synthetic pathways were be used for the preparation of the targets. Some of the newly synthesized compounds were evaluated for their cytotoxic activity against breast carcinoma and colon carcinoma cell lines. On the other hand, the antimicrobial activity evaluation of some newly prepared compounds was performed using cup plate diffusion method.
Results: Compound 5c was the most active one against breast carcinoma (IC50=3.3 ug/ml) and colon carcinoma cell lines (IC50=4.73 ug/ml) when compared with doxorubicin as standard. Molecular docking studies further supported the highest potency of 5c and further help understanding the various interactions between the ligand and enzyme active sites. On the other hand, the antimicrobial activity evaluation showed that most of the evaluated compounds exhibited broad spectrum activity.
Conclusion: The present work led to the development of promising antitumor compounds containing substituted imidazolidin-5-one or imidazotriazol-6-one skeletons. Compounds 5c showed the highest potency at low µg/ml level against breast MCF-7 and colon HCT116 cell lines. On the other hand,most of the newly synthesized compounds showed broad spectrum antimicrobial activity whencup plate diffusion method was performed.
Keywords: Imidazole, Fused imidazole derivatives, Cytotoxic, Antimicrobial activity.
© 2016 The Authors. Published by Innovare Academic Sciences Pvt Ltd. This is an open access article under the CC BY license (http://creativecommons.org/licenses/by/4.0/)
INTRODUCTION
Imidazole and its derivatives have gained remarkable importance due to their widespread biological activities and their use in synthetic chemistry. This ring system is present in several important biological building blocks, such as purine, histamine, histidine and nucleic acid. Various biologically active synthetic compounds have imidazole moiety in their structure, include analgesic, anti-inflammatory, antiparasitic, platelet aggregation inhibitors, and antiepileptic agents [1-5]. Imidazole can be found in many other drugs such as dacarbazine [6], metronidazole [7], cimetidine [8], phenytoin [9], thyroliberin [10], methimazole [11], pilocarpine [12], and etomidate [13] which are used as antineoplastic, antibiotic, antiulcerative, benzodiazepine antagonist, prohormone, antiperthyroid, muscarinic receptor antagonist and hypnotic agents, respectively. The previous important therapeutic properties of imidazole related drugs have encouraged the medicinal chemists to synthesize and evaluate a large number of novel molecules. Accordingly, in this investigation, it was of interest to synthesize some novel imidazole and fused imidazole derivatives starting from 3-phenyl-2-thioxoimidazolidin-4-one (1) and evaluates their cytotoxic as well as their antimicrobial activities.
MATERIALS AND METHODS
Melting points were determined on a Griffin apparatus and are uncorrected. IR spectra were determined as KBr discs on Schimadzu FTIR 8000 spectrophotometer (Japan).1HNMR, 13CNMR spectra were carried out on Varian Gemini 300 MHz and 75 MHz spectrophotometer (Switzerland) using TMS as internal standard and DMSO-d6 as solvent. Mass spectra were run on Hewlett Packard 5988 spectrometer Microanalytical Center, Cairo University, Egypt. Elemental analysis was carried out at the Regional Center for Mycology and Biotechnology, Al-Azhar University Campus, Nasr City, Cairo, Egypt. Progress of the reaction was monitored by TLC using TLC sheets pre coated with UV fluorescent silica gel Merk 60 F254 and spots were visualized by iodine vapour or irradiation with UV lamp. Compounds 1, 2b, 2c and 3b were be synthesized according to the reported methods [14-17].
Synthesis of 3-phenyl-5-(thiophen-2-ylmethylene)-2-thioxo-imidazolidin-4-one (2a)
To a mixture of compound 1 (1.15 g, 6 mmol) and piperidine (3 drops) in absolute ethanol (30 ml), thiophen-2-aldehyde (0.67 g, 6.04 mmol) was added. The reaction mixture was stirred for 12 h at room temperature until the starting material was consumed [TLC, Ethyl acetate: Petroleum ether (60:80оC), (3:2)]. The reaction mixture was diluted with cold water (20 ml) and neutralized with dil. HCl (1 ml). The separated yellow solid was filtered and crystallized from ethanol. Yield: 93%; m. p. 253-255 оC; IR (KBr, cm-1): 3234 (NH), 3040 (CH-aromatic), 1720 (C=O), 1156 (C=S); 1H NMR (DMSO-d6, 300 MHz): d 6.83 (s, 1H, =CH), 7.03-7.18 (m, 2H, Ar-H), 7.24-7.81 (m, 4H, Ar-H), 7.84-7.86 (d, 1H, J=5.1Hz, Ar-H), 7.94-7.95 (d, 1H, J=4.2 Hz, Ar-H), 12.40 (s, 1H, NH, D2O exchangeable); MS m/z:286 (M+);Anal. Calcd. For C14H10N2OS2 (286.37): C, 58.72; H, 3.52; N, 9.78. Found: C, 58.84; H, 3.57; N, 9.94.
General procedure for the synthesis of compounds (3a, c)
To a suspension of compounds 2a, c (10 mmol) in aqueous sodium hydroxide (12.60 %, 3.5 ml) at room temperature, methanol (25 ml) was added and the mixture was stirred until it become clear. Methyl iodide (1.56 g, 11 mmol) was added, and the mixture was stirred for 12 h at room temperature. The separated yellow solid was collected by filtration and crystallized from methanol.
Synthesis of 2-(methylthio)-1-phenyl-4-(thiophen-2-yl methylene)-1H-imidazol-5(4H)-one (3a)
Yield: 92 %; m. p. 130-132 оC; IR (KBr; cm-1): 3032 (CH aromatic), 2917 (CH aliphatic), 1723 (C=O);1H NMR (DMSO-d6, 300 MHz): d 2.49 (s, 3H, CH3), 7.17 (s, 1H, =CH), 7.19-7.20 (m, 2H, Ar-H), 7.35-7.43 (m, 1H, Ar-H), 7.50-7.57 (m, 3H, Ar-H), 7.70-7.72 (d, 1H, J=3.3 Hz, Ar-H), 7.88-7.90 (d, 1H, J=5.1Hz, Ar-H);[13]C NMR (DMSO-d6, 75 MHz): d 12.98(CH3), 115.46 (=CH), 117.28 (=CH), 126.36 (=CH), 127.54 (=CH), 128.53 (=CH), 129.38 (=CH), 132.36 (-C=), 135.50 (-C=), 137.65 (-C=), 163.54 (C=N), 167.30 (C=O); m/z:300 (M+);Anal. Calcd. For C15H12N2OS2 (300.40): C, 59.97; H, 4.03; N, 9.33. Found: C, 60.12; H, 4.09; N, 9.48.
Synthesis of 2-(methylthio)-4-(4-nitrobenzylidene)-1-phenyl-1H-imidazol-5(4H)-one (3c)
Yield: 72 %; m. p. 140-142 оC; IR (KBr, cm-1): 3050 (CH aromatic), 2925 (CH aliphatic), 1725 (C=O), 1502, 1339 (NO2);1H NMR (DMSO-d6, 300 MHz): d 2.73 (s, 3H, CH3), 7.06 (s, 1H, =CH), 7.43-7.56 (m, 3H, Ar-H), 8.14-8.17 (d,1H, J=8.4Hz, Ar-H), 8.28-8.38 (m, 3H, Ar-H), 8.50-8.85 (m, 2H, Ar-H); m/z:339 (M+); Anal. Calcd. For C17H13N3O3S (339.37): C, 60.17; H, 3.86; N, 12.38. Found: C, 60.29; H, 3.83; N, 12.51.
General procedure for the synthesis of compounds (4a-h)
A mixture of compounds 3 a-c (1 mmol) and the appropriate amine (2 ml) was heated under reflux for 1 h, after cooling and dilution with water, the precipitate was collected and crystallized from ethanol to give yellow crystals of 4a-h.
Synthesis of 1-phenyl-2-(phenylamino)-4-(thiophen-2-ylmethylene)-1H-imidazol-5(4H)-one (4a)
Yield 75 %; m. p. 255-257 оC; IR (KBr, cm-1): 3292 (NH), 3100 (CH aromatic), 1730 (C=O);1HNMR (DMSO-d6, 300 MHz): d 6.73(s, 1H, =CH), 6.75-7.08 (m, 3H, Ar-H), 7.60-7.78 (m, 5H, Ar-H), 7.78-7.89 (m, 5H, Ar-H) and 9.61 (s, 1H, NH, D2O exchangeable); m/z:345 (M+); Anal. Calc. For C20H15N3OS (345.42): C, 69.54; H, 4.38; N, 12.17. Found: C, 69.78; H, 4.44; N, 12.35.
Synthesis of 2-(cyclohexylamino)-1-phenyl-4-(thiophen-2-ylmethylene)-1H-imidazol-5(4H)-one (4b)
Yield 79 %; m. p. 188-190 оC; IR (KBr, cm-1): 3314 (NH), 3064 (CH aromatic), 2926, 2851 (CH aliphatic), 1716 (C=O); 1HNMR (DMSO-d6, 300 MHz): d 1.29-2.08 (m, 11H, aliphatic H), 3.90 (s, 1H, NH, D2O exchangeable), 6.82 (s, 1H, =CH), 6.95-6.98 (d, 1H, J=7.8Hz, Ar-H), 7.06-7.54 (m, 6H, Ar-H), 7.62-7.64 (d, 1H, J=5.1Hz, Ar-H); Anal. Calcd. For C20H21N3OS (351.47): C, 68.35; H, 6.02; N, 11.96. Found: C, 68.08; H, 6.06; N, 12.03.
Synthesis of 2-(4-methoxyphenylamino)-1-phenyl-4-(thiophen-2-ylmethylene)-1H-imidazol-5(4H)-one (4c)
Yield 79 %; m. p: 283-285 оC; IR (KBr, cm-1): 3405 (NH), 3035 (CH aromatic), 2923, 2831 (CH aliphatic), 1722 (C=O); 1HNMR (DMSO-d6, 300 MHz): d 3.76 (s, 3H, OCH3), 6.93 (s, 1H, =CH), 6.96-7.95 (m, 12H, Ar-H), 8.92 (s, 1H, NH, D2O exchangeable); Anal. Calcd. For C21H17N3O2S (375.44): C, 67.18; H, 4.56; N, 11.19. Found: C, 67.26; H, 4.60; N, 11.28.
Synthesis of 2-(4-methylphenylamino)-1-phenyl-4-(thiophen-2-ylmethylene)-1H-imidazol-5(4H)-one (4d)
Yield 75 %; m. p. 220-222 оC; IR (KBr, cm-1): 3208 (NH), 3066 (CH aromatic), 2920 (CH aliphatic), 1723 (C=O); 1HNMR (DMSO-d6, 300 MHz): d 2.23 (s, 3H, CH3), 6.82 (s, 1H, =CH), 7.03-7.92 (m, 12H, Ar-H), 8.90 (s, 1H, NH, D2O exchangeable); Anal. Calcd. For C21H17N3OS (359.44): C, 70.17; H, 4.77; N, 11.69. Found: C, 70.31; H, 4.82; N, 11.87.
Synthesis of 1-phenyl-2-(piperidin-1-yl)-4-(thiophen-2-ylmethylene)-1H-imidazol-5(4H)-one (4e)
Yield 83%; m. p.170-173; IR (KBr, cm-1): 3071(CH aromatic), 2930, 2852 (CH aliphatic), 1719 (C=O); 1HNMR (DMSO-d6, 300 MHz): d 0.72-1.14 (m, 4H, 2CH2), 1.42-150 (m, 6H, 3CH2), 6.94 (s, 1H, =CH), 7.09-7.11 (t, 1H, J=3.6, 5.1Hz, Ar-H), 7.37-7.68 (m, 7H, Ar-H); m/z:337 (M+); Anal. Calcd. For C19H19N3OS (337.44): C, 67.63; H, 5.68; N, 12.45. Found: C, 67.71; H, 5.76; N, 12.62.
Synthesis of 2-morpholino-1-phenyl-4-(thiophen-2-yl methylene)-1H-imidazol-5(4H)-one (4f)
Yield 80%; m. p. 180-182 оC; IR (KBr, cm-1): 3064 (CH aromatic), 2954, 2915 (CH aliphatic), 1712 (C=O); 1HNMR (DMSO-d6, 300 MHz): d 3.43-3.57 (m, 8H,CH2), 7.02 (s, 1H, =CH), 7.11-7.70 (m, 8H, Ar-H); m/z:339 (M+); Anal. Calcd. For C18H17N3O2S (339.41): C, 63.70, H, 5.05; N, 12.38. Found: C, 63.91; H, 5.09; N, 12.52.
Synthesis of 4-(4-chlorobenzylidene)-1-phenyl-2-(piperidin-1-yl)-1H-imidazol-5(4H)-one (4g)
Yield 75 %; m. p. 220-222 оC; IR (KBr, cm-1): 3058 (CH aromatic), 2989, 2936 (CH aliphatic), 1729 (C=O), 800 (C-Cl); 1HNMR (DMSO-d6, 300 MHz): d 1.45-1.54 (m, 10H, 5CH2), 6.56 (s, 1H, =CH), 7.38-8.18 (m, 9H, Ar-H); m/z:365/367 (M+/M++2); Anal. Calcd. For C21H20ClN3O (365.86): C, 68.94; H, 5.51; N, 11.49. Found: C, 68.92; H, 5.78; N, 11.25.
Synthesis of 4-(4-nitrobenzylidene)-1-phenyl-2-(piperidin-1-yl)-1H-imidazol-5(4H)-one (4h)
Yield 70%; m. p. 245-247 оC; IR (KBr, cm-1): 3059 (CH aromatic), 2932, 2854 (CH aliphatic), 1663 (C=O), 1514, 1320 (NO2); 1HNMR (DMSO-d6, 300 MHz): d 0.83-2.11 (m, 10H, 5CH2), 6.47 (s, 1H, =CH), 6.52-8.95 (m, 9H, Ar-H); m/z:376 (M+); Anal. Calcd. For C21H20N4O3 (376.41): C, 67.01; H, 5.36; N, 14.88. Found: C, 67.13; H, 5.42; N, 15.04.
General procedure for the synthesis of compounds (5a-c)
A suspension of 3a-c (10 mmol) in absolute ethanol (20 ml) and hydrazine hydrate (2 ml) was heated under reflux for 1 h until the starting material was consumed [TLC, Ethyl acetate: Petroleum ether (60:80оC), (3:2)]. The separated yellow solid after cooling was filtered and crystallized from ethanol.
Synthesis of 2-hydrazinyl-1-phenyl-4-(thiophen-2-yl methylene)-1H-imidazol-5(4H)-one (5a)
Yield 83%; m. p. 210-212 оC; IR (KBr, cm-1): 3357, 3312 (NH2), 3253 (NH), 3083 (CH aromatic), 1724 (C=O);1HNMR (DMSO-d6, 300 MHz): d 5.32 (s, 2H, NH2, D2O exchangeable), 7.02 (s, 1H, =CH), 7.05-7.13 (m, 2H, Ar-H), 7.36-7.41 (t, 2H, J=8.1, 7.5Hz, Ar-H), 7.47-7.49 (d, 1H, J=3.3Hz, Ar-H), 7.72-7.74 (d, 1H, J=5.1Hz, Ar-H), 8.15-8.17 (d, 2H, J=7.8Hz, Ar-H), 9.37 (s, 1H, NH, D2O exchangeable);13CNMR (DMSO-d6, 75 MHz): 110.89 (=CH), 119.41(=CH), 122.83 (=CH), 127 (=CH), 128 (=CH), 130.80 (=CH), 130.86 (-C=), 135.49 (-C=), 138.37 (O=C-CN=), 153.92 (C=N), 166.99 (C=O); m/z:284 (M+); Anal. Calcd. For C14H12N4OS (284.34): C, 59.14; H, 4.25; N, 19.70. Found: C, 59.23; H, 4.31; N, 19.86.
Synthesis of 4-(4-chlorobenzylidene)-2-hydrazinyl-1-phenyl-1H-imidazol-5(4H)-one (5b)
Yield 60%; m. p. 270-272оC; IR (KBr, cm-1): 3378, 3301 (NH2), 3179 (NH), 3070 (CH aromatic), 1727 (C=O), 810 (C-Cl);1HNMR (DMSO-d6, 300 MHz): d 5.40 (s, 2H, NH2, D2O exchangeable), 7.12 (s, 1H, =CH), 7.42-7.48 (t, 2H, J=7.8, 8.1Hz, Ar-H), 7.57-7.62 (m, 3H, Ar-H), 7.80-7.81 (d, 1H, J=7.3Hz, Ar-H), 8.12-8.16 (m, 3H, Ar-H), 9.72 (s, 1H, NH, D2O exchangeable); m/z:312/314 (M+/M++2); Anal. Calcd. For C16H13ClN4O (312.75): C, 61.44; H, 4.19; N, 17.91. Found: C, 61.52; H, 4.17; N, 18.07.
Synthesis of 2-hydrazinyl-4-(4-nitrobenzylidene)-1-phenyl-1H-imidazol-5(4H)-one (5c)
Yield 60%; m. p. 218-220 оC; IR (KBr, cm-1): 3331, 3287 (NH2), 3208 (NH), 3070 (CH aromatic), 1724 (C=O), 1504, 1333 (NO2); 1HNMR (DMSO-d6, 300 MHz): d 5.40 (s, 2H, NH2, D2O exchangeable), 6.65 (s, 1H, =CH), 7.49-7.52 (m, 3H, Ar-H), 7.66-7.73 (m, 4H, Ar-H), 8.14-8.17 (d, 2H, J=8.4Hz, Ar-H), 10.56 (s, 1H, NH, D2O exchangeable); m/z:323 (M+); Anal. Calcd. For C16H13N5O3 (323.31): C, 59.44; H, 4.05; N, 21.66. Found: C, 59.62; H, 4.12; N, 21.79.
General procedure for the synthesis of compounds (6a-j)
A mixture of equi molecular amounts of compounds 5a-c and the appropriate aromatic aldehyde (2 mmol) in glacial acetic acid (5 ml) was heated under reflux for 3 h. The reaction mixture was cooled and diluted with water (20 ml). The separated solid was filtered and crystallized from ethanol.
Synthesis of 2-benzylidenehydrazinyl-1-phenyl-4-(thiophen-2-ylmethylene)-1H-imidazol-5(4H)-one (6a)
Yield 69%; m. p. 220-222 оC; IR (KBr, cm-1): 3421 (NH), 3034 (CH aromatic), 1721 (C=O);1HNMR (DMSO-d6, 300 MHz): d 7.17 (s, 1H, =CH), 7.19-7.35 (m, 2H, Ar-H), 7.40-7.55 (m, 9H, Ar-H), 7.70-7.72 (d, 1H, J=3.6Hz, Ar-H), 7.88-7.90 (d, 1H, J=4.8Hz, Ar-H), 9.43 (s, 1H, N=CH), 9.80 (s, 1H, NH, D2O exchangeable); m/z:374 (M++2), 372 (M+); Anal. Calcd. For C21H16N4OS (372.44): C, 67.72; H, 4.33; N, 15.04. Found: C, 67.85; H, 4.41; N, 15.17.
Synthesis of 2-(4-nitrobenzylidene) hydrazinyl-1-phenyl-4-(thiophen-2-yl-methylene)-1H-imidazol-5(4H)-one (6b)
Yield 82%; m. p. 305-307 оC; IR (KBr, cm-1): 3373 (NH), 3060 (CH aromatic), 1700 (C=O), 1509, 1380 (NO2);1HNMR (DMSO-d6, 300 MHz): d 7.16-7.18 (m, 3H, Ar-H+=CH), 7.44-7.58 (m, 4H, Ar-H), 7.81-7.82 (m, 1H, Ar-H), 8.13-8.16 (m, 2H, Ar-H), 8.33-8.40 (m, 3H, Ar-H), 9.59 (s, 1H, N=CH), 9.87 (s, 1H, NH, D2O exchangeable); 13CNMR (DMSO-d6, 75 MHz): 105.47 (=CH), 110.93 (=CH), 110.96 (=CH), 113.55 (=CH), 121.28 (=CH), 120.97 (=CH), 121.35 (=CH), 124.46 (=CH), 129.40 (=CH), 130.15 (=CH), 132.58 (-C=), 132.74 (-C=), 138.71(=C-), 140.46 (C=N), 147.06 (=C-NO2), 175 (C=O); m/z:417 (M+); Anal. Calcd. For C21H15N5O3S (417.44): C, 60.42; H, 3.62; N, 16.78. Found: C, 60.51; H, 3.61; N, 16.87.
Synthesis of 2-(4-methoxybenzylidene) hydrazinyl-1-phenyl-4-(thiophen-2-ylmethylene)-1H-imidazol-5(4H)-one (6c)
Yield 75%; m. p. 232-234 оC; IR (KBr, cm-1): 3362 (NH), 3070 (CH aromatic), 2927, 2863 (CH aliphatic), 1711 (C=O); 1HNMR (DMSO-d6, 300 MHz): d 3.85 (s, 3H, OCH3), 6.72 (s, 1H, =CH), 7.05-7.16 (m, 4H, Ar-H), 7.42-7.47 (t, 1H, J=7.8, 7.2 Hz, Ar-H), 7.56-7.57 (d, 1H, J=3Hz, Ar-H), 7.63-7.74 (m, 2H, Ar-H), 7.78-7.80 (d, 1H, J=5.1Hz, Ar-H), 7.87-7.89 (d, 1H, J=7.5Hz, Ar-H), 8.02-8.04 (d, 1H, J=8.1Hz, Ar-H), 8.14-8.17 (d, 1H, J=8.4Hz, Ar-H), 9.45 (s, 1H, N=CH), 9.61 (s, 1H, NH, D2O exchangeable); m/z:402 (M+); Anal. Calcd. For C22H18N4O2S (402.47): C, 65.65; H, 4.51; N, 13.92. Found: C, 65.79; H, 4.57; N, 14.06.
Synthesis of 2-(4-methylbenzylidene) hydrazinyl-1-phenyl-4-(thiophen-2-yl-methylene)-1H-imidazol-5(4H)-one (6d)
Yield 70%; m. p. 231-233 оC; IR (KBr, cm-1): 3370 (NH), 3081 (CH aromatic), 2916 (CH aliphatic), 1705 (C=O); 1HNMR (DMSO-d6, 300 MHz) (ppm): d 2.39 (s, 3H, CH3), 7.14-7.16 (m, 3H, Ar-H+=CH), 7.33-7.36 (m, 5H, Ar-H), 7.42-7.45 (t, 1H, J=3, 8.1 Hz, Ar-H), 7.56-7.57 (d, 1H, J=2.7Hz, Ar-H), 7.79-7.80 (d, 1H, J=4.8Hz, Ar-H), 7.95-7.98 (d, 1H, J=7.8Hz, Ar-H), 8.14-8.17 (d, 1H, J=8.1Hz, Ar-H), 9.45 (s, 1H, N=CH), 9.64 (s, 1H, NH, D2O exchangeable); m/z:386 (M+); Anal. Calcd. For C22H18N4OS (386.47): C, 68.37, H, 4.69, N, 14.50. Found: C, 68.46; H, 4.72; N, 14.72.
Synthesis of 2-(4-chlorobenzylidene) hydrazinyl-1-phenyl-4-(thiophen-2-yl-methylene)-1H-imidazol-5-(4H)-one (6e)
Yield 60%; m. p. 235-237 оC; IR (KBr, cm-1): 3369 (NH), 3067 (CH aromatic), 1707 (C=O), 790 (C-Cl); 1HNMR (DMSO-d6, 300 MHz): d 7.15-7.17 (m, 3H, Ar-H+=CH), 7.42-7.48 (t, 2H, J=8.1Hz, Ar-H), 7.57-7.62 (m, 2H, Ar-H), 7.80-7.81 (d, 1H, J=4.8Hz, Ar-H), 8.12-8.16 (m, 5H, Ar-H), 9.51 (s, 1H, N=CH), 9.72 (s, 1H, NH D2O exchangeable); Anal. Calcd. For C21H15Cl N4OS (406.89): C, 61.99; H, 3.72; N, 13.77. Found: C, 62.07; H, 3.68; N, 13.94.
Synthesis of 1-phenyl-4-(thiophen-2-ylmethylene)-2-(3,4,5-trimethoxy-benzylidene)hydrazinyl-1H-imidazol-5(4H)-one (6f)
Yield 80%; m. p. 240-242 оC; IR (KBr, cm-1): 3344 (NH), 3073 (CH aromatic), 2935 (CH aliphatic), 1707 (C=O);1HNMR (DMSO-d6, 300 MHz): d 3.84 (s, 6H, 2OCH3), 3.90 (s, 3H, OCH3), 7.15-7.17 (m, 3H, Ar-H+=CH), 7.41-7.48 (m, 4H, Ar-H), 7.57-7.58 (d, 1H, J=3.3Hz, Ar-H), 7.81-7.82 (d, 1H, J=4.8Hz, Ar-H), 8.16-8.18 (t, 2H, J=8.1, 6 Hz, Ar-H), 9.57 (s, 1H, N=CH), 9.63 (s, 1H, NH, D2O exchangeable); m/z:462 (M+); Anal. Calcd. For C24H22N4O4S (462.52): C, 62.32; H, 4.79; N, 12.11. Found: C, 62.44; H, 4.83; N, 12.24.
Synthesis of 2-(2-fluorobenzylidene) hydrazinyl-1-phenyl-4-(thiophen-2-yl-methylene)-1H-imidazol-5(4H)-one (6g)
Yield 80%; m. p. 218-220 оC; IR (KBr, cm-1): 3372 (NH), 3042 (CH aromatic), 1714 (C=O), 755 (C-F); 1HNMR (DMSO-d6, 300 MHz): d 7.13-7.17 (m, 4H, Ar-H+=CH), 7.37-7.41 (m, 5H, Ar-H), 7.80-7.82 (d, 1H, J=4.8Hz, Ar-H), 8.14-8.16 (d, 2H, J=8.1Hz, Ar-H), 8.36-8.41(t, 1H, J=6, 9Hz, Ar-H), 9.50 (s, 1H, N=CH), 9.96 (s, 1H, NH, D2O exchangeable); m/z:390 (M+); Anal. Calcd. For C21H15FN4OS (390.43): C, 64.60; H, 3.87; N, 14.35. Found: C, 64.78; H, 3.89; N, 14.48.
Synthesis of 4-(4-chlorobenzylidene)-1-phenyl-2-(3,4,5-trimethoxy-benzylidene) hydrainyl-1H-imidazol-5(4H)-one (6h)
Yield 80%; m. p. 240-242 оC; IR (KBr, cm-1): 3379 (NH), 3069 (CH aromatic), 2938, 2834 (CH aliphatic), 1720 (C=O), 820 (C-Cl); 1HNMR (DMSO-d6, 300 MHz): d 3.84 (s, 6H, 2 OCH3), 3.89 (s, 3H, OCH3), 6.71 (s, 1H, =CH), 7.17-8.21 (m, 12H, Ar-H+N=CH), 9.60 (s, 1H, NH, D2O exchangeable);m/z:491/493 (M+/M++2); Anal. Calcd. For C26H23ClN4O4 (490.94): C, 63.61; H, 4.72; N, 11.41. Found: C, 63.79; H, 4.79; N, 11.56.
Synthesis of 2-(4-methoxybenzylidene) hydrazinyl-4-(4-nitrobenzylidene)-1-phenyl-1H-imidazol-5(4H)-one (6i)
Yield 75%; m. p. 231-233 оC; IR (KBr, cm-1): 3361 (NH), 3001 (CH aromatic), 2927 (CH aliphatic), 1698 (C=O), 1570,1330 (NO2);1HNMR (DMSO-d6, 300 MHz): d 3.85 (s, 3H, OCH3), 6.69-6.71 (d, 1H, J=6.6, Ar-H), 6.77 (s, 1H, =CH), 7.07-9.57 (m, 13H, Ar-H+CH=N), 9.77 (s, 1H, NH, D2O exchangeable); Anal. Calcd. For C24H19N5O4 (441.44): C, 65.30; H, 4.34; N, 15.86. Found: C, 65.47; H, 4.41; N, 16.02.
Synthesis of 4-(4-nitrobenzylidene)-1-phenyl-2-(3,4,5-trimethoxy–benzylidene) hydrazinyl)-1H-imidazol-5(4H)-one (6j)
Yield 80%; m. p. 271-273 оC; IR (KBr, cm-1): 3368 (NH), 3066 (CH aromatic), 2934 (CH aliphatic), 1657 (C=O), 1571, 1329 (NO2);1HNMR (DMSO-d6, 300 MHz): d 3.84 (s, 6H, 2OCH3), 3.89 (s, 3H, OCH3), 6.66 (s, 1H, =CH), 7.18-8.29 (m, 11H, Ar-H), 9.50 (s, 1H, N=CH), 9.60 (s, 1H, NH, D2O exchangeable); Anal. Calcd. For C26H23N5O6 (501.49): C, 62.27; H, 4.62; N, 13.97. Found: C, 62.39; H, 4.69; N, 14.14.
General procedure for the synthesis of compounds (7a-c)
Compounds 5a-c (4 mmol) was stirred with isatin (0.59 g, 4 mmol) in acetic acid (5 ml) overnight at room temperature. The separated solid was filtered and crystallized from ethanol as yellow crystals.
Synthesis of 3-(5-oxo-1-phenyl-4-(thiophen-2-ylmethylene)-4,5-dihydro-1H-imidazol-2-yl)hydrazono-indolin-2-one (7a)
Yield 85%; m. p. 260-262 оC; IR (KBr, cm-1): 3358 (NH), 3312 (NH), 3087 (CH aromatic), 1725 (C=O), 1655 (C=O); 1HNMR (DMSO-d6, 300 MHz): d 5.32 (s, 1H, NH, D2O exchangeable), 7.02 (s, 1H, =CH), 7.07-7.13 (m, 5H, Ar-H), 7.36-7.41 (t, 2H, J=7.8Hz, Ar-H), 7.47-7.48 (d, 2H, J=3.3Hz, Ar-H), 7.72-7.74 (d, 1H, J=5.1Hz, Ar-H), 8.15-8.17 (d, 2H, J=7.8Hz, Ar-H), 9.37 (s, 1H, NH, D2O exchangeable); Anal. Calcd. For C22H15N5O2S (413.45): C, 63.91; H, 3.66; N, 16.94. Found: C, 64.08; H, 3.63; N, 17.12.
Synthesis of 3-(4-(4-chlorobenzylidene)-5-oxo-1-phenyl-4,5-dihydro-1H-imidazol-2-yl) hydrazono)indolin-2-one (7b)
Yield 80%; m. p. 140-142 оC; IR (KBr, cm-1): 3349 (NH), 3200 (NH), 3073 (CH aromatic), 2925 (CH aliphatic), 1719 (C=O), 1661 (C=O), 810 (C-Cl);1HNMR (DMSO-d6, 300 MHz): d 5.35 (s, 1H, NH D2O exchangeable), 6.63 (s, 1H, =CH), 6.81-6.97 (m, 2H, Ar-H), 7.10-7.18 (m, 2H, Ar-H), 7.28-7.30 (d, 1H, J=7.5Hz, Ar-H), 7-38-7.62 (m, 2H, Ar-H), 7.93-8.04 (m, 6H, Ar-H), 9.5 (s, 1H, NH D2O exchangeable); m/z:441/443 (M+/M++2); Anal. Calcd. For C24H16 ClN5O2 (441.87): C, 65.24; H, 3.65; N, 15.85. Found: C, 65.42, H, 3.60, N, 16.04.
Synthesis of 3-(4-(4-nitrobenzylidene)-5-oxo-1-phenyl-4,5-dihydro-1H-imidazol-2-yl) hydrazono)indolin-2-one (7c)
Yield 70%; m. p. 138-140 оC; IR (KBr, cm-1): 3348 (NH), 3302 (NH), 3000 (CH aromatic), 2925 (CH aliphatic), 1717(C=O), 1659(C=O), 1502, 1335 (NO2); 1HNMR (DMSO-d6, 300 MHz): d 5.40 (s, 1H, NH D2O exchangeable), 6.70 (s, 1H, =CH), 6.81-8.39 (m, 13H, Ar-H), 9.75 (s, 1H, NH D2O exchangeable); m/z:452 (M+); Anal. Calcd. For C24H16N6O4 (452.42): C, 63.71; H, 3.56; N, 18.58. Found: C, 63.86; H, 3.53; N, 18.72.
General procedure for the synthesis of compounds (8a-c)
Compounds 5a-c (4 mmol) was stirred with p-toluene sulfonyl chloride (0.76 g, 4 mmol) in acetic acid (10 ml) overnight at room temperature in the presence of anhydrous sodium acetate (0.41 gm, 5 mmol). The separated solid was filtered and crystallized from ethanol as yellow crystals.
Synthesis of 4-methyl-N'-(5-oxo-1-phenyl-4-(thiophen-2-ylmethylene)-4,5-dihydro-1H-imidazol-2-yl)benzenesulfonohydrazide (8a)
Yield 80%;m. p. 155-157 оC; IR (KBr, cm-1): 3247 (NH), 3149 (NH), 3050 (CH aromatic), 2981 (CH aliphatic), 1714 (C=O), 1327, 1152 (SO2); 1HNMR (DMSO-d6, 300 MHz): d 2.08 (s, 3H, CH3), 7.11-8.07 (m, 13H, Ar-H+=CH), 9.54 (s, 1H, NH D2O exchangeable), 10.58 (s, 1H, NH D2O exchangeable); 13CNMR (DMSO-d6, 75 MHz): 20.85 (CH3), 112.29 (=CH), 119.67 (=CH), 123.30 (=CH), 127.24 (=CH), 128.78 (=CH), 131.55 (=CH), 131.69 (-C=), 134.08 (-C=), 137.99 (=CH), 138.16 (CN=), 152.03 (C=N), 169.35(C=O); m/z:438 (M+); Anal. Calcd. For C21H18N4O3S2 (438.52): C, 57.52; H, 4.14; N, 12.78. Found: C, 57.81; H, 4.22; N, 13.07.
Synthesis of N’-(4-(4-chlorobenzylidene)-5-oxo-1-phenyl-4,5-dihydro-1H-imidazol-2-yl)-4-methylbenzenesulfonohydrazide (8b)
Yield 70%; m. p. 121-123 оC; IR (KBr, cm-1): 3337 (NH), 3276 (NH), 3073 (CH aromatic), 2960 (CH aliphatic), 1718 (C=O), 1363, 1154 (SO2), 820 (C-Cl); 1HNMR (DMSO-d6, 300 MHz): d 2.07 (s, 3H, CH3), 6.61 (s, 1H, =CH), 7.07-8.17 (m, 13H, Ar-H), 9.45 (s, 1H, NH D2O exchangeable), 10.56 (s, 1H, NH D2O exchangeable); m/z:467/469 (M+/M++2); Anal. Calcd. For C23H19ClN4O3S (466.94): C, 59.16, H, 4.10, N, 12.00. Found: C, 59.44; H, 4.17; N, 12.23.
Synthesis of 4-methyl-N’-(4-(4-nitrobenzylidene)-5-oxo-1-phenyl-4,5-dihydro-1H-imidazol-2-yl)benzenesulfonohydrazide (8c)
Yield 60%; m. p. 127-129; IR (KBr, cm-1): 3428(NH), 3338 (NH), 3055 (CH aromatic), 2926 (CH aliphatic), 1718 (C=O), 1565, 1332 (NO2), 1332, 1158 (SO2); 1HNMR (DMSO-d6, 300 MHz): d 2.08 (s, 3H, CH3), 6.61 (s, 1H, =CH), 6.68-8.38 (m, 13H, Ar-H), 9.50 (s, 1H, NH D2O exchangeable), 9.69 (s, 1H, NH D2O exchangeable); m/z:477 (M+); Anal. Calcd. For C23H19N5O5S (477.49): C, 57.85; H, 4.01; N, 14.67. Found: C, 58.03; H, 4.06; N, 14.91.
General procedure for the synthesis of compounds (9a, b)
Compound 5a (0.284 g, 1 mmol) was refluxed with the appropriate acid chloride (1 mmol) in pyridine (10 ml) for 5 h. The reaction mixture was poured on crushed ice. The product was filtered and crystallized from ethanol as yellow crystals.
Synthesis of N'-(5-oxo-1-phenyl-4-(thiophen-2-ylmethylene)-4,5-dihydro-1H-imidazol-2-yl) acetohydrazide (9a)
Yield 60%; m. p. 290-292 оC; IR (KBr, cm-1): 3258 (2 NH), 3080 (CH aromatic), 2984 (CH, aliphatic), 1720 (C=O), 1654 (C=O); 1HNMR (DMSO-d6, 300 MHz): d 2.01 (s, 3H, CH3), 7.12-8.08 (m, 9H, Ar-H+=CH), 9.75 (s, 1H, NH D2O exchangeable), 11.31 (s, 1H, NH D2O exchangeable); Anal. Calcd. For C16H14N4O2S (326.37): C, 58.88; H, 4.32; N, 17.17. Found: C, 59.06; H; 4.36; N, 17.32.
Synthesis of 4-chloro-N'-(5-oxo-1-phenyl-4-(thiophen-2-ylmethylene)-4,5-dihydro-1H-imidazol-2-yl)benzohydrazide (9b)
Yield 65%; m. p. 285-287 оC; IR (KBr, cm-1): 3303 (2 NH), 3097 (CH aromatic), 1709 (C=O), 1653(C=O), 810 (C-Cl); 1HNMR (DMSO-d6, 300 MHz): d 7.54-7.57 (m, 6H, Ar-H+=CH), 7.92-7.95 (m, 7H, Ar-H), 13.12 (s, 2H, 2NH exchangeable); Anal. Calcd. For C21H15 ClN4O2S (422.89): C, 59.64; H, 3.58; N, 13.25. Found: C, 59.76; H, 3.62; N, 13.39.
General procedure for the synthesis of compounds (10a, b)
Compounds 9a, b (5 mmol) was refluxed in ethanol (20 ml) containing 10% NaOH (5 ml) for 10 h. After cooling and dilution with water (10 ml), the formed solid was filtered and washed with acetic acid.
Synthesis of 3-methyl-7-phenyl-5-(thiophen-2-ylmethylene)-5H-imidazo [2,1-c][1,2,4]triazol-6(7H)-one (10a)
Yield 35%; m. p. 255-257 оC; IR (KBr, cm-1): 3096 (CH aromatic), 2982 (CH aliphatic), 1716 (C=O); m/z: 308 (M+); Anal. Calcd. For C16H12N4OS (308.36): C, 62.32; H, 3.92; N, 18.17. Found: C, 62.43; H, 3.97; N, 18.33.
Synthesis of 3-(4-chlorophenyl)-7-phenyl-5-(thiophen-2-yl methylene)-5H-imidazo [2,1-c][1,2,4]triazol-6(7H)-one (10b)
Yield 40%; m. p. 260-262 оC; IR (KBr, cm-1): 3050 (CH aromatic), 1683 (C=O), 800 (C-Cl); Anal. Calcd. For C21H13 ClN4OS (404.87): C, 62.30; H, 3.24; N, 13.84. Found: C, 62.47; H, 3.20; N, 14.02.
General procedure for the synthesis of compounds (11a-c)
Compounds 5a-c (3 mmol) and ethyl chloroformate (2 ml) were heated under reflux for 2 h, absolute ethanol (30 ml) was added and the reaction mixture was evaporated to half of its volume, then the mixture was diluted with absolute ethanol (30 ml) and refluxed with potassium hydroxide (0.17 g, 3 mmol) for 4 h. The reaction mixture was cooled, acidified with HCl (0.1 N), the separated solid was filtered and crystallized from ethanol as yellow crystals.
Synthesis of 7-phenyl-5-(thiophen-2-ylmethylene)-2H-imidazo [2,1-c]-[1,2,4] triazole-3,6(5H,7H)-dione (11a)
Yield 70%; m. p. 245-247 оC; IR (KBr, cm-1): 3289 (NH), 3100 (CH aromatic), 1725 (C=O), 1699 (C=O); 1HNMR (DMSO-d6, 300 MHz): d 6.70 (s, 1H, =CH), 7.16-7.73 (m, 8H, Ar-H), 10.41 (s, 1H, NH D2O exchangeable); 13CNMR (DMSO-d6, 75 MHz): 103.27 (=CH), 123.71 (=CH), 124.51 (=CH), 126.83 (=CH), 128 (=CH), 128.8 (=CH), 128.87 (=CH), 129.56 (-C=), 131.78 (-C=), 135.80 (CN=), 154.51 (C=N), 153.79 (C=O), 162.91(C=O); m/z: 310 (M+); Anal. Calcd. For C15H10N4O2S (310.33): C, 58.05; H, 3.25; N, 18.05. Found: C, 58.19; H, 3.31; N, 18.21.
Synthesis of 5-(4-chlorobenzylidene)-7-phenyl-2H-imidazo [2,1-c][1,2,4] triazole-3,6(5H,7H)-dione (11b)
Yield 65%; m. p. 150-152 оC; IR (KBr, cm-1): 3231 (NH), 3023 (CH aromatic), 1716 (C=O), 1656 (C=O), 810 (C-Cl);1HNMR (DMSO-d6, 300 MHz): d 6.64 (s, 1H, =CH), 6.67-7.73 (m, 9H, Ar-H); 11.11 (s, 1H, NH D2O exchangeable); Anal. Calcd. For C17H11 ClN4O2 (338.75): C, 60.28; H, 3.27; N, 16.54. Found: C, 60.24; H, 3.31; N, 16.63.
Synthesis of 5-(4-nitrobenzylidene)-7-phenyl-2H-imidazo[2,1-c][1,2,4]-triazole-3,6(5H,7H)-dione (11c)
Yield 60%; m. p 140-142 оC; IR (KBr, cm-1): 3335 (NH), 3100 (CH aromatic), 1715 (C=O), 1656(C=O); 1521, 1316 (NO2);1HNMR (DMSO-d6, 300 MHz): d 7.34-8.22 (m, 10H, Ar-H+=CH), 9.80 (s, 1H, NH D2O exchangeable); m/z:349 (M+); Anal. Calcd. For C17H11 N5O4 (349.30): C, 58.45; H, 3.17; N, 20.05. Found: C, 58.61; H, 3.14; N, 20.22.
General procedure for the synthesis of compounds (12a-c)
An aqueous solution of sodium nitrite (5 ml, 5%) was added dropwise at 10 оC with stirring over 15 min to compound 5a-c (6 mmol) in 2N hydrochloric acid (10 ml). The mixture was allowed to stand at room temperature for 2 h. The formed precipitate was filtered, washed with ethanol and crystallized from ethanol as yellow crystals.
Synthesis of 4-phenyl-6-(thiophen-2-ylmethylene)-4H-imidazo [1,2-d]-tetrazol-5(6H)-one (12a)
Yield 65%; m. p. 235-237 оC; IR (KBr, cm-1): 3099 (CH aromatic), 1657(C=O); 1HNMR (DMSO-d6, 300 MHz): d 7.00-8.00 (m, 9H, Ar-H and =CH); Anal. Calcd. For C14H9N5OS (295.32): C, 56.94; H, 3.07; N, 23.71. Found: C, 57.06; H, 3.04; N, 23.97.
Synthesis of 6-(4-chlorobenzylidene)-4-phenyl-4H-imidazo [1,2-d]-tetrazol-5(6H)-one (12b)
Yield 60%; m. p. 150-152 оC; IR (KBr, cm-1): 3060 (CH aromatic), 1647(C=O), 790 (C-Cl); 1HNMR (DMSO-d6, 300 MHz): d 6.47 (s, 1H, =CH), 6.96-8.77 (m, 9H, Ar-H); m/z:323/325 (M+/M++2); Anal. Calcd. For C16H10 ClN5O (323.74): C, 59.36; H, 3.11; N, 21.63. Found: C, 59.50; H, 3.17; N, 21.80.
Synthesis of 6-(4-nitrobenzylidene)-4-phenyl-4H-imidazo [1,2-d]tetrazol-5(6H)-one (12c)
Yield 50%; m. p. 130-132 оC; IR (KBr, cm-1): 3059 (CH aromatic), 1648(C=O), 1553, 1308 (NO2); 1HNMR (DMSO-d6, 300 MHz): d 6.95 (s, 1H, =CH), 7.24-8.61 (m, 9H, Ar-H); m/z:334 (M+); Anal. Calcd. For C16H10 N6O3 (334.29): C, 57.49; H, 3.02; N, 25.14. Found: C, 57.62; H, 3.05; N, 25.22.Evaluation of cytotoxic activity
MCF-7 breast cancer and HCT-116 colon cancer cell lines were obtained from the National Cancer Institute, Cairo, Egypt. Potential cytotoxicity of the newly obtained derivatives was tested using the method of Skehan et al.[18]. Cells were platedin 96-multiwell plate(5 x 103cells/well) for 24 h before treatment with the tested compounds to allow attachment of cell to the wall of the plate. Different concentrations of the tested compounds (0, 5, 12.5, 25 and 50 µg/ml) were added to the cell monolayer triplicate wells prepared for each individual dose. Monolayer cells were incubated with the compounds for 48 h at 37оC under a 5% CO2 atmosphere. The culture was fixed with cold trichloroacetic acid and stained with 0.4% Sulphorhodamine-B stain (SRB) dissolved in 1% acetic acid. Excess stain was washed with acetic acid and attached stain was recovered with Tris EDTA buffer and the color intensity was measured in an ELISA reader. The relation between surviving fraction and drug concentration is plotted to get the survival curve of each tumor cell line of the specified compound. IC50 values were calculated from the calibration curve.
Molecular docking
The ligands were sketched and subjected to geometry optimization by running energy minimization using Sybyl x1.1 (2010) program suite. Parameters of energy minimization as follows: Charges: Gasteiger-Marsili Charges; Force Field: Tripos; Termination: Gradient energy change, 01.1 Kcal; RMS displacement: 0.001 Å; Non-bonded cutoff: 8.000 Å; Dielectric function: distant dependent; Dielectric constant: 1.00; Iteration: 100. The crystal structure of epidermal growth factor receptor with erlotinib (TarcevaTM) (PDB code: 1M17) and the crystal structure of CDK2 in complex with ATP (PDB code: 1HCK) were retrieved from the protein data bank (PDB). Ligands were docked into the receptor active site of both epidermal growth factor receptor (EGFR) and cyclin dependent kinase 2(CDK2) along with EGFR inhibitor and ATP respectively. Docking of the ligands was performed using Gold suite v5.2.0 (2010). In the docking process of EGFR, erlotinib and water molecules except HOH10 were removed from the binding site. Concerning docking job using CDK2, ATP and Mg metal was removed. Other parameters were set as default according to gold suite docking protocol.
Table 1: Evaluation of cytotoxic activity of the newly synthesized compounds against breast carcinoma (MCF7) and colon carcinoma (HCT116) cell lines
Compound |
IC50(µg/ml)a |
|
(MCF-7) |
(HCT116) |
|
2a |
3.7 |
9.83 |
3b |
4.1 |
6.98 |
4h |
10.3 |
12.4 |
5c |
3.3 |
4.73 |
6b |
12.1 |
11.9 |
6f |
4.7 |
NAb |
6h |
4.1 |
NAb |
6j |
4.7 |
NAb |
10b |
4.3 |
4.73 |
11aDoxorubicin |
4.70.426 |
5.330.471 |
aIC50 is a dose required to inhibit the cell growth by 50%, bNA = no activity (i.e. IC50 values are higher than 12.5 µg/ml)
Table 2: Antibacterial activity of the newly synthesized compounds using cup plate diffusion method
Compounds |
Diameter (mm) of inhibition zones against the corresponding standard strains of different microorganisms |
||||||
Gram-positive bacteria |
Gram-negative bacteria |
||||||
Staphylococcus aureus ATCC 6538 |
Staphylococcus epidermidis ATCC 12228 |
Micrococcus spp. ATCC 10240 |
Pseudomonas aeruginosae ATCC 9027 |
Klebsiella pneumoniae ATCC 27736 |
Salmonella typhimurium ATCC 14028 |
Escherichia Coli ATCC 10536 |
|
4b |
- |
- |
- |
23 |
23 |
22 |
22 |
4f |
- |
- |
- |
22 |
23 |
22 |
23 |
4g |
24 |
25 |
25 |
24 |
25 |
25 |
26 |
4h |
- |
- |
- |
- |
- |
- |
- |
5a |
22 |
23 |
25 |
27 |
26 |
26 |
25 |
5c |
20 |
19 |
22 |
26 |
25 |
26 |
25 |
6c |
- |
- |
- |
- |
- |
- |
- |
6f |
- |
- |
- |
30 |
31 |
30 |
32 |
6h |
- |
- |
- |
16 |
16 |
16 |
17 |
6j |
18 |
17 |
18 |
17 |
17 |
18 |
18 |
6k |
22 |
23 |
22 |
26 |
25 |
25 |
26 |
7a |
11 |
12 |
11 |
30 |
32 |
30 |
30 |
7b |
16 |
16 |
17 |
26 |
26 |
26 |
27 |
10a |
30 |
29 |
28 |
25 |
26 |
26 |
25 |
10b |
17 |
16 |
17 |
21 |
20 |
20 |
20 |
11a |
27 |
28 |
27 |
24 |
25 |
25 |
24 |
11b |
20 |
21 |
20 |
25 |
25 |
25 |
26 |
11c |
30 |
29 |
32 |
26 |
26 |
25 |
25 |
12a |
- |
- |
- |
30 |
30 |
31 |
31 |
12b |
- |
- |
- |
- |
- |
- |
- |
Cefotaxime (control) |
30 |
28 |
35 |
30 |
32 |
33 |
35 |
Sulpha- methoxazole (control) |
25 |
23 |
30 |
25 |
27 |
28 |
30 |
DMF(control) |
- |
- |
- |
- |
- |
- |
- |
Each cup is filled with 100 microliters from each sample; Conc. of each sample is 50 mg/ml.
Antimicrobial screening
Antibacterial activity
The used bacterial cultures were obtained from Microbiology Department, Faculty of Pharmacy, Zagazig University. The newly synthesized compounds were tested for their in vitro antibacterial activity, in comparison to Cefotaxime and Sulpha-methoxazole as reference drugs using the standard agar cup diffusion method [19]. Bacterial strains were individually cultured for 48 h in 100 ml conical flasks containing 30 ml Nutrient Agar (NA). Assay was done in 10 cm sterile Petri dishes in which one ml bacterial suspension and 15 ml of NA were poured. Plates were shaken gently to homogenize the contents. After solidification of the media, 5 mm cavities were cut in the solidified agar (4 cavities/plate) using the sterile cork borer. The test compounds and the reference drugs were dissolved in dimethyl formamide (DMF) (100 µmol/ml) and were pipette in the cavities. In addition, other cavities were pipette with DMF and served as a negative control. The seeded plates were incubated at 28±2оC for 48 h. The radii of inhibition zones (in mm) of triplicate sets were measured and the results are cited in table 2.
Table 3: Antifungal activity of the newly synthesized compounds using cup plate diffusion method
Compounds |
Fungi |
|
Aspragillus niger ATCC 16404 |
Candida albicans ATCC 10231 |
|
4b |
26 |
25 |
4f |
19 |
18 |
4g |
25 |
25 |
4h |
23 |
22 |
5a |
17 |
16 |
5c |
20 |
19 |
6c |
29 |
28 |
6f |
31 |
30 |
6h |
25 |
26 |
6j |
24 |
25 |
6k |
20 |
21 |
7a |
28 |
27 |
7b |
29 |
28 |
10a |
32 |
31 |
10b |
- |
- |
11a |
25 |
24 |
11b |
26 |
25 |
11c |
26 |
20 |
12a |
26 |
25 |
12b |
21 |
20 |
Nystatin (control) |
25 |
20 |
DMF (control) |
- |
- |
Each cup is filled with 100 micro liters from each sample; Conc. of each sample is 50 mg/ml.
Antifungal activity
The used Sabouraud Agar (SA) media were prepared in Microbiology Department, Faculty of Pharmacy, Zagazig University. The test compounds were evaluated for their antifungal activity in vitro, in comparison to Nystatin as a reference drug using the agar cup diffusion method [20] against two fungal strains: Aspragillus niger (ATCC 16404) and Candida albicans (ATCC 10231). Spore suspensions in sterile distilled water were prepared from 7 d old culture of the test fungi growing on Sabouraud's dextrose broth (30 ml) media in 100 ml conical flasks. The final spore concentration was nearly 5x104 spores/ml. About 15 ml of the growth medium was introduced on sterilized Petri dishes of 10 cm diameter and inoculated with 1 ml of spore suspension. Plates were shaken gently to homogenize the inocula. After solidification of the media, 5 mm cavities were cut in the solidified agar (4 cavities/plate) using sterile cork borer and was filled with the solutions of the test compounds and Nystatin (100 µmol/ml in DMF). In addition, other cavities were impregnated with solvent (DMF) and served as a negative control. The seeded plates were incubated at 28±2 оC for 7 d. The radii of inhibition zones (in mm) of triplicate sets were measured at successive intervals during the incubation period and the results are cited in table 3.
RESULTS AND DISCUSSION
Chemistry
The novel imidazole and fused imidazole derivatives were synthesized as illustrated in schemes 1, 2 and 3:
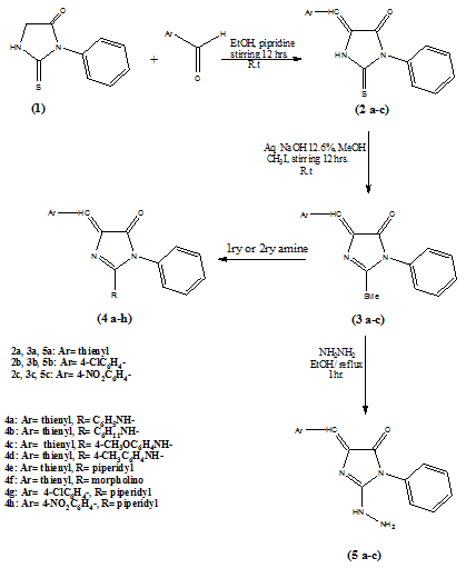
3-Phenyl-2-thioxoimidazolidin-4-one (1) was prepared by heating glycine and phenyl isothiocyanate in glacial acetic acid containing potassium hydroxide for 2 h according to the reported procedure [14, 15].
5-Arylidine-3-phenyl-2-thioxoimidazolidin-4-ones (2a-c) were obtained via stirring compound 1 with different aldehyde derivatives in ethanol containing piperidine at room temperature for 12 h according to the reported procedure [16,17].
Alkylation of compounds 2a-c using methyl iodide in methanol containing sodium hydroxide gave the thioether derivatives 3a-c. Aminolysis of compounds 3a-c with different primary and secondary amine derivatives afforded compounds 4a-h. On the other hand, hydrazinolysis of thio ethers 3a-c using hydrazine hydrate in refluxing ethanol gave 2-hydrazino derivatives 5a-c, the key intermediates [21-24] (Scheme 1).
Scheme 1: Synthesis of target compounds 1-5
Condensation of the 2-hydrazino derivatives with different aromatic aldehydes afforded the proposed hydrazone derivatives 6a-j in good yields via refluxing in glacial acetic acid for 3 h [25]. Also, the novel compounds 7a-c was obtained in good yield through the reaction of the 2-hydrazino derivatives 5a-c with isatin in acetic acid at room temperature overnight. However, stirring the 2-hydrazino derivatives with p-toluene sulfonyl chloride in acetic acid containing anhydrous sodium acetate overnight, afforded 4-methyl benzene sulfone hydrazide derivatives 8a-c (Scheme 2).
Cyclo condensation of compound 5a using acetyl chloride or p-chlorobenzoyl chloride did not afford the target 3-substituted-7-phenyl-5-(thiophen-2-yl-methylene)5H-imidazo[2,1-c][1,2.4]triazol-6(7H)-ones (10a, b). Instead, N-acylated compounds 9a, b was obtained respectively. Structure elucidation of compounds 9a, b was achieved using IR, 1HNMR and elemental analysis. The desired compounds 10a, b was achieved by refluxing compounds 9a, b in ethanol containing sodium hydroxide for 10 h.
Scheme 2: Synthesis of the target compounds 6-8
In addition the novel 5-arylidene-7-phenyl-imidazo [2,1-c][1,2,4]-triazole-3,6-diones 11a-c were obtained through cyclization of the 2-hydrazino derivatives 5a-c using ethyl chloroformate in refluxing ethanol for 6 h. Finally, treating compounds 5a-c with nitrous acid in ice bath for 15 min then stirring at room temperature for 2h lead to the novel 6-arylidene-4-phenyl-4H-imidazo[1,2-d]tetrazol-5(6H)-ones 12a-c (Scheme 3).
Scheme 3: Synthesis of the target compounds 9-12
Evaluation of cytotoxic activity
From the newly synthesized compounds, only ten compounds 2a, 3b, 4h, 5c, 6b, 6f, 6h, 6j, 10b and 11a were be selected to be evaluated for their cytotoxicity against human breast carcinoma (MCF7) cell line and colon carcinoma (HCT116) cell line using Skehan et al. method [18]. The inhibitory activities were presented as micromolar concentrations of the compound that cause 50 % inhibition per unit of enzyme (IC50) under the assay condition. Results of cancer cellular assays are shown in table 1.
By investigating the variation in selectivity of the tested compounds over the cell lines, it was noticed that most of the compounds under investigation showed significant activity against the breast cancer cell line (MCF7). On the other hand, only compounds 2a, 3b, 5c, 10b and 11a showed significant activity against the colon cancer cell line (HCT116). The agreement between the selected compounds in the activity against breast cancer (MCF7) cells could be related to the common structural feature 3-phenyl-4-imidazolidinone core with hydrogen bonding acceptor group at position 2 while the variation in selectivity over breast cancer (MCF7) and colon cancer cells (HCT116) is probably caused by the differences in the hydrogen bonding moiety, hydrocarbon and heterocyclic skeleton around the core structure (3-phenyl-4-imidazolidinone). However, the hydrazino moiety in compound 5c showed higher activity compared with thio, piperidyl, arylidene-hydrazine fragments in compounds 2a, 4h and 6h respectively. More interestingly compound 5c showed the highest activity against the both cell lines (3.3µg/ml and 4.73µg/ml respectively). On the contrary, compound 3b exhibited moderate activity against colon carcinoma cell line (IC50=6.98 µg/ml), however, the hydrazones 6f, 6h and 6j devoid of any activity against the same cell line. Out of the tested compounds, 4h and 6b have least activity against the two cell lines. On the other hand, fused imidazole derivatives 10b and 11a have high cytotoxic activity against the two cell lines indicating the importance of imidazotriazol-6-one and imidazotriazole 3,6-dione moieties.
According to the antitumor activity results and structural variation, the minimal structural requirements for antitumor activity may be as follows; aromatic ring separated by an average distance, a hydrophobic moiety directly attached to the basic centre, and a H-bonding acceptor (carbonyl group) attached to H-donor urea fragment. This pharmacophoric postulation was in consistence with the reported results for other antitumor azolidine pharmacophore [26].
Molecular docking
Based on the promising anticancer activities and in order to predict if the targets have analogous binding mode to the EGFR and CDK2 inhibitors, we perform molecular docking into the ATP binding site of EGFR and CDK2 assuming that the most active target compounds 5c and 10b might demonstrate antiproliferative activity against breast cancer (MCF-7) and colon cancer (HCT116) cell lines through inhibition of EGFR and CDK2 respectively.
These docking studies illustrated that compound 5c (Fig.1) interacts with EGFR-TK in a fashion similar to erlotinib where the imidazolidin-5-one scaffold binds to a narrow hydrophobic pocket in the N-terminal domain of EGFR-TK forming interaction with Ala719, Leu668, Leu694, Val702 and Leu820 residues. The essential interactions were conserved between compound 5c and EGFR-TK where the NH of hydrazino group at position 2 of imidazolidin-5-one ring interacts with the backbone NH of Met-769 via a hydrogen bond (2.46oA). Also, a water (HOH-10) molecule-mediated hydrogen bonding interaction is observed between the N-1 of the imidazolidin-5-one ring (2.83oA), THr766 (2.12oA) and the Thr-830 (2.97oA) side chains. Other important hydrophobic interactions appeared between phenyl moiety at position 1 of imidazolidin-5-one ring and Leu694, Leu768, Leu769, Pro770, Phe771, Gly772 and Cyc773 amino acids. Also, p-nitrobenzylidene moiety at position 4 of imidazolidin-5-one ring interacts with hydrophobic side chains of Val702, Ala719, Lys771, Met742, Leu753, Leu764, ILeu765 and THr766.
This mode of binding would also demonstrate the lower activity of other imidazolidin-5-ones compared to 5c where the sulfur atom for compounds 2a, 3b and nitrogen atom for the hydrazone compounds 6b, 6f, 6h and 6j at position 2 are less situated to hydrogen bonds NH of Met-769 due to steric effect.
On the other hand, when compound 5c was docked into the active binding site of cyclin dependent kinase 2 (CDK2) (fig. 2), the imidazolidin-5-one scaffold binds to the hydrophobic pocket flanked by Ile10, Leu134, Lys33 and Val18. By visual inspection, a bifurcate hydrogen bond between backbone CO group of Gln131 and hydrazino group (2.54Å and 2.54Å) of the ligand was appeared. Another important hydrogen bond was formed between the terminal amino group of hydrazine moiety and Asp86 (2.9Å). In addition some favorable hydrophobic contacts of p-nitrophenyl on the ligand with Ile10, Val18, Val64, Leu83, Leu134, Lys33, Phe80 and Phe82 are appeared. The phenyl group at position 1 of the ligand was bordered with hydrophobic side chains of Thr14 and Lys129. These important hydrophobic and hydrogen bonds interactions are broadly agreed with attraction forces formed by CDK2 inhibitors. This could account for the highest potency of compound 5c. The results of this molecular docking study can support the postulation that our active compound may inhibit the growth of colon cell lines through inhibition of Cyclin Dependant kinase 2.
![]() |
![]() |
Fig. 1:Docking of compound 5c (left panel) and erlotinib (right panel) into the active site of epidermal growth factor receptor. (Hydrogen bonds are showed in green dotted lines.)
Fig. 2: Complex of ligand 5c with the active site of Cyclindependant Kinase2 (CDK2)
Concerning the binding of compound 10b (fig. 3), it complexes with EGFR-TK in a fashion similar to compound 5c where the imidazotriazol-6-one scaffold binds to a hydrophobic pocket flanked by Ala719, Leu668, Leu694, Val702and Leu820 residues. We could observe that hydrogen bond interactions with Met-769 and water (HOH-10) were consisted. By visual inspection, it would expected that the aromatic moiety at position (3) is essential for activity where the sandwich-like aromatic stacking between phenyl and thioenyl moieties interact with side chains of Val702, Ala719, Lys721, Met742, Leu753, Leu764, ILeu765 and THr766, Thr830. This could account for the higher activity of 10b compared to 11a (4.3µg/ml and 4.7µg/ml respectively).
These interactions illustrated the importance of imidazolidin-5-one and imidazotriazol-6-one scaffolds along with hydrogen bonding features and hydrophobic moieties for binding and the subsequent inhibitory activity. The results of this molecular docking can support the postulation that our active target molecule may act on the same target enzyme where EGFR inhibitor acts confirming the molecular design of the reported class of antitumor agents. Binding of the selected compounds was expressed using Gold docking score which is taken as the negative of the sum of the component energy terms including the following four components :
Protein-ligand hydrogen bond energy, protein-ligand Van der Waals energy, ligand internal Van der Waals energy and ligand to sional strain energy (internal torsional). (table 4, table 5).
<![]() |
![]() |
Fig. 3: Docking of compound 10b (left panel) and 11a (right panel) into the active site of epidermal growth factor receptor. Hydrogen bonds are showed in green dotted lines
Table 4: Gold docking score of the newly synthesized compounds compared with Erlotinib
Compound |
GOLD docking score/KJ/mol |
Erlotinib |
70.33 |
2a |
56.82 |
3b |
53.39 |
4h |
59.86 |
5c |
39.15 |
6b |
33.14 |
6f |
49.86 |
6h |
56.32 |
6k |
49.68 |
10b |
49.56 |
11a |
51.79 |
Table 5: Gold docking score of the newly synthesized compounds compared with ATP
Compound |
GOLD docking score KJ/mol |
ATP |
70.8 |
2a |
33.69 |
3b |
38.36 |
4h |
59.68 |
5c |
31.02 |
6b |
30.25 |
6f |
15.29 |
6h |
14.26 |
6k |
12.35 |
10b |
55.26 |
11a |
59.16 |
Antimicrobial activity
Some of the newly synthesized compounds were evaluated for their antimicrobial activity using cup plate diffusion method [27-29]. Staphylococcus aureus (ATCC 6538), Staphylococcus epidermidis (ATCC 12228) and Micrococcus spp. (ATCC 10240) were be used as Gram-positive bacterial strains. Also, Pseudomonas aeruginosae (ATCC 9027), Klebsiella pneumoniae (ATCC 27736), Salmonella typhimurium (ATCC 14028) and Escherichia coli (ATCC 10536) were be used as Gram-negative bacterial strains. In addition, two fungi strains including Aspragillus niger (ATCC 16404) and Candida albicans (ATCC 10231) were be used in this evaluation. The results were reported as zone of inhibition compared to standard Cefotaxime and Sulphamethoxazole as antibacterial drugs and Nystatin as an antifungal drug. DMF was used as negative control. The results illustrated in table 2 and table 3 revealed that most of the newly synthesized compounds exhibit broad spectrum antimicrobial activity. Out of the compounds tested, Compounds 4h, 6c and 12b showed only antifungal activity against both fungal strains. On the other hand, 10a and 11c are considered as the highest antifungal and anti Gram-positive strains respectively. Compounds 4b, 4f, 6f and 12a showed antifungal as well as anti Gram-negative strains activities. Among these compounds, compound 6f showed the highest antifungal activity while compounds 6f and 12a possess the highest anti Gram-negative activity.
CONCLUSION
The present work led to the development of promising antitumor compounds containing substituted imidazolidin-5-one or imidazotriazol-6-one skeletons. Compounds 5c and 10b showed the highest potency at low µg/ml level against breast MCF-7 and colon HCT116 cell lines. It might be assumed that compounds bearing a hydrazine moiety as well as imidazotriazol-6-one scaffold are well binding site of EGFR and CDK2 receptor helps in understanding the antitumor selectivity over breast cancer MCF-7 and colon HCT116 cell lines. Molecular docking studies further supported the highest potency of 5c and 10b and further help understanding the various interactions between the ligand and enzyme active sites in detail and thereby encourage to designing novel potent inhibitors. As evident from the experimental data and molecular docking studies, the pharmacophoric features essential for the antitumor activity of this series are aromatic ring separated by an average distance; H-bonding acceptor donor and a hydrophobic moiety directly attached to the basic center. On the other hand, 6f and 10a are considered as the most antifungal compounds indicating the importance of thienyl moiety in the imidazole and imidazotriazol-6-one rings. Also, trimethoxy phenyl in the hydrazone compound 6f and the methyl substitution at position 3 in compound 10a may be responsible for anti fungal activity. Moreover, the most active compounds against Gram-negative bacterial strains are 6f, 7a, 12a and against Gram-positive are 10a and 11c. From the above antitumor and antimicrobial activities, we can conclude that the thienyl moiety is essential for antimicrobial activity rather than antitumor activity. Also, the free hydrazino group which is a part of the most active antitumor compound 5c is not essential for antimicrobial activity. All these favorable features merits further investigations in our laboratories for further testing and derivatization in the hope of finding more selective and active molecules as antitumor and antimicrobial agents.
ACKNOWLEDGMENT
The authors would like to thank Shaimaa Nazeih assistant lecturer, Department of Microbiology, Faculty of Pharmacy, Zagazig University for carrying out the antimicrobial activity.
CONFLICT OF INTERESTS
Declared None
REFERENCES