
1Department of Medicinal Chemistry, Institute of Medical Sciences, BHU, Varanasi, 2ICAR-Indian Institute of Vegetable Research, Varanasi, 3Department of Endocrinology, Institute of Medical Sciences, BHU, Varanasi
Email: yamini30@gmail.com
Received: 16 Jun 2015 Revised and Accepted: 15 Jul 2015
ABSTRACT
Objective: The main objective of this research was to explore the effect of the polar fraction of tubers of Pueraria tuberosa (PTWE) on DPP-IV activity.
Methods: The comparison of in vitro inhibitory potential between commercially available Galvus (Vildagliptin) and PTWE was determined by measuring percent inhibition and IC50. The enzyme kinetics were also done to reveal the nature of inhibition. In vivo study was done via the glucose tolerance test and by the measurement of increased plasma GLP-1 concentration and DPP-IV activity after glucose load.
Results: PTWE has given the IC50 value of 17.4 mg/ml and was found to be a competitive inhibitor having the Ki value of 13.11 mg/ml. Plasma GLP-1 concentration was increased and DPP-IV activity was decreased after 60 min of glucose load in PTWEtreated rats as compared to control rats. Overall PTWE was found to be less potential DPP-IV inhibitor than Galvus.
Conclusion: These findings suggest that antidiabetic effect of PTWE could be because of its role in DPP-IV inhibition.
Keywords: Glucose tolerance, Pueraria tuberosa, DPP-IV, GLP-1, Enzyme Kinetics.
INTRODUCTION
Metabolic diseases like diabetes and obesity have increased consistently in this era. Increased fat intake, decrease in consumption of dietary fibers and lifestyle could be the most prominent reason for the incidence of these disorders [2]. Nature has given us many homeostatic strategies to regulate many pathways in order to maintain our body. Secretion of incretin hormones through systemic function of an intestine in order to regulate the glucose concentration in the blood is one of the homeostatic mechanisms. This mechanism of incretin effect is found to be less effective in diabetic patients [6]. So, incretin hormones are one of the recent therapies, applied in the treatment of diabetes around the world. It is released in the small bowel and its function in the regulation of endocrine pancreatic secretion is very easily played by intestine [1].
GLP-1 is one of the incretin hormones released from the intestine in response to the passage of the meal through the gastrointestinal tract; this event is known as incretin effect. It is a 30 amino acid peptide derived from proglucagon through post translational processing in enteroendocrine L cells, mainly in the distal ileum and colon. Increase in prohormone-convertase (PC) expression in L cells is responsible for the production of more active incretin hormones because this enzyme is responsible for conversion of proglucagon to incretin hormones [10, 11]. GLP-1 is also responsible for the reduction of apoptosis of β-cell of the pancreas, thus enhancing its expression [12], reducing appetite and slowing gastric emptying [14]. GLP-1 has a circulating half-life of only a few min because it is extremely vulnerable to the catalytic activity of the proteolytic enzyme dipeptidyl peptidase-4 (DPP-IV), which preferentially cleaves peptides with the amino acid alanine or proline in position 2 of the NH2-terminal amino acid, thus makes it inactive. Thus, two main incretin based therapeutic approaches are in clinical practice in the treatment of type 2 diabetes mellitus i.e. GLP-1 agonists e. g. Exenatide and DPP-IV inhibitors [3, 4, 6, 12]. Vildagliptin, Sitagliptin and Saxagliptin are few commercial DPP-IV inhibitors available in the market, have many undesirable side effects [8]. In order to reduce these side effects many researchers are focusing on medicinal plants like berry, citrus [24], Berberis aristata [7], Mangifera indica [18] or their compounds like flavonoids [23, 24], berberine [1] etc. which are helpful to increase the potency of incretin secretion. In Ayurveda, an ancient system of Indian medicine, Pueraria tuberosa are in clinical use as anti aging drug [22], anti-inflammatory [20], antioxidant [19] and as hypoglycemic drug [21]. Pueraria tuberosa tubers are rich in steroid, triterpenoid, glycoside, carbohydrate, alkaloids, flavanoid, tannin, protein and amino acids [21]. We hypothesized that the augmentation of incretin hormones could be one of the mechanisms of its hypoglycemic potential. Thus, the hypoglycemic effect of PTWE has been checked on the incretin based study through both in vivo and in vitro test models.
MATERIALS AND METHODS
Chemicals and materials used
GLP-1 Enzyme Immunoassay (EIA) Kit and Gly-pro-p-nitroanilide (GPPN) was purchased from Sigma Aldrich, Galvus-Novartis (containing 50 mg Vildagliptin per tablet) was purchased from local markets, and other chemicals were of AR grade.
Sample preparation
Pueraria tuberosa roots were purchased from Ayurvedic pharmacy, Banaras Hindu University. Its 30 g powder was extracted with 8 volumes of distilled water. When the volume was reduced to ¼, it was filtered with cloth. The total yield obtained by this process was 30%. These waters extract (PTWE) was used for both in vitro and in vivo studies.
Enzyme preparation
The protocol was approved by the Institute Ethical Committee, Institute of Medical Sciences, Banaras Hindu University. The animals were sacrificed and the small intestine was isolated. It was cut longitudinally and an inner part was gently cleaned and cut into small pieces (1 inch.) and frozen at-20o C. One piece was defrosted and homogenized in ice cold PBS to make 20% homogenate (as DPP-IV enzyme source) in glass Teflon Homogenizer. The protein was estimated by the Bradford method.
In vitro study
DPP-IV inhibition assay
Different concentrations of PTWE were prepared by dilution with Tris HCl (50 mM, pH 7.5) and their 10 µl was mixed with 25 µl of Tris-HCl (50 mM, pH 7.5) and 15 µl intestine homogenate in the 96 well plate. The above mixtures were pre-incubated for 10 min at room temperature to enhance the binding capacity of the inhibitor and then 50 µl of 0.2 mM substrate (Gly-pro-p-nitroanilide) was added to each well and absorbance was taken at 405 nm, immediately and after 20 min. All reactions were performed in triplicate. Percent inhibition was calculated by using the formula given below:
Inhibition kinetics
The above experiment was repeated at various concentrations of the substrate as shown in Fig.1.
In vivo
Animal design
Eighteen Charles foster albino rats nearly 3-4 months old of 80-100 g were divided into three groups (n=6) viz. group 1 for Control, group 2 for PTWE and group 3 for Galvus as positive control. Rats were kept in fasting for 8 hours.
Glucose tolerance test
The basal blood of rats was collected in EDTA containing tubes after giving anesthesia. Then they were given drugs orally at the concentration of 50 mg/100 g bw (PTWE) and 30 mg/100 g bw (Galvus).
After 2 hours of treatment with drugs, all rats of each group have given glucose orally at the concentration of 2.5 g/kg bw. Blood was again collected at 30 min. and 60 min. following glucose load. Glucose concentration in blood was determined by the glucose strip (Dr. Morepen) at every step of blood collection.
GLP-1 concentration in plasma
GLP-1 concentration in blood plasma was measured by GLP-1 Enzyme Immunoassay (EIA) Kit.
DPP-IV activity in plasma
DPP-IV activity was done by adding 95 µl GPPN (0.2 mM) as substrate in the mixture of 65 µl Tris HCl (50 mM, 7.5pH) and 10 µl collected blood plasma as DPP-IV enzyme source. Absorbance was taken immediately and after 20 min at 405 nm.
Statistical analysis
Statistical analysis was determined by one way ANOVA following post hoc test using dunnetts and tuckey by IBM SPSS Statistics Software. Enzyme kinetics were analyzed by the graph pad prism and sigma plot softwares. The information for kinetics analysis was based on Akaike criterion (AIC).
RESULTS
Inhibition potential
Galvus as a positive control was found to be more potent DPP-IV inhibitor than PTWE in vitro (table 1) given 3.48 fold lower IC50 (calculated using the linear regression equation) than PTWE.
Inhibition kinetics
It has already been reported in previous papers that Galvus (Vildagliptin) is a reversible competitive inhibitor of DPP-IV [8]. Through in vitro analysis by the graph pad prism and sigma plot, PTWE was also found to be a competitive inhibitor (Fig.1) having Vmax (5.931 U/mg), Km (207.7 µM), Ki (13.11 mg/ml) and Kcat (28.6 x 10-3). The Vmax, Km, Ki and Kcat value for galvus is 1.124 U/mg, 190.7 µM, 4.232 mg/ml and 5.9 x 10-3. Therefore, the catalytic efficiency (Kcat/Km) of an enzyme is 4.43 fold greater in PTWE inhibited reactions and also having 3 fold greater Ki compared to galvus inhibited reactions (table 1).
Table 1: Comparison of efficacy between PTWE and Galvus at various concentrations as DPP-IV inhibitor on the basis of percent inhibition, IC50, Vmax, Km, Kcat, Kcat/Km and Ki
Sample |
Conc. (mg/ml) |
Inhibition (%)a |
IC50 (mg/ml) |
Vmax (U/mg) |
Km (µM) |
Kcat (Vmax/Km) |
Kcat/Km |
Ki (mg/ml) |
PTWE |
10 |
30±4.2 |
17.4 |
5.931 |
207.7 |
28.6 x 10-3 |
13.7 x10-5 |
13.11 |
15 |
47±2.8 |
|||||||
20 |
55±3.5 |
|||||||
Galvus |
10 |
65±3.7 |
5 |
1.124 |
190.7 |
5.9 x 10-3 |
3.1 x10-5 |
4.232 |
15 |
70±4.2 |
|||||||
20 |
90±4.9 |
Notes: aValues are the mean of three replicates±SEM
Plasma DPP-IV activity
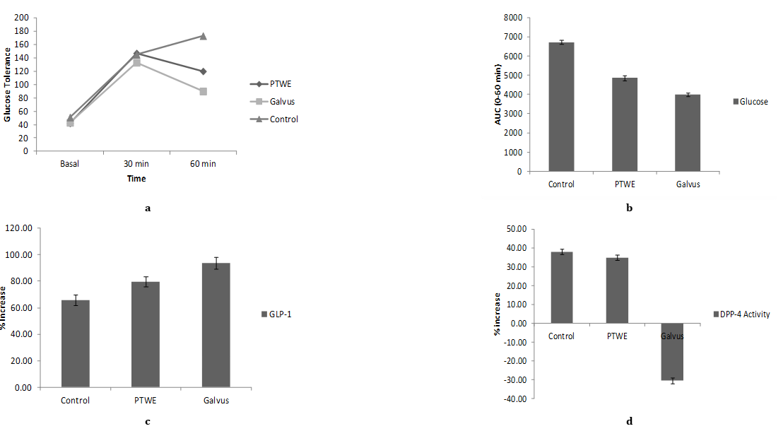
DPP-IV activity in plasma of PTWE treated rats were much higher than Galvus treated rats, but was found to be significantly reduced than untreated rats (table 2 and fig. 2).
Glucose tolerance test
As compared to control, PTWE decreases plasma glucose concentration during 60 min. after glucose load (table 2 and fig. 2). Plasma glucose AUC(0-60 min) decreased by 27.68 % in PTWE treated and 40.63 % in Galvus treated rats as compared to control rats.
Plasma GLP-1 concentration
Increase in plasma GLP-1 concentration was found to be 1.2 fold in PTWE and 1.4 fold in Galvus treated rats as compared to control rats (table 2 and fig. 2).
Statistical results
The P value of all data done via one way ANOVA following post hoc (Dunnett and Tuckey) is significant at the level of 0.05 both in between each group of each parameter and also in between all parameters (Glucose, GLP-1 and in vivo DPP-IV activity).
Table 2: Effect of PTWE on glucose tolerance, GLP-1 concentration and DPP-IV activity in blood plasma
Sample |
Concentration |
Glucose Concentration (AUC0-60 min) |
GLP-1 Concentration (Percentage increase in 60 min). |
DPP-IV Activity (Percentage increase in 60 min.) |
Control |
------ |
6720±109.50 * |
65.69±4.1 * |
38.10±1.3 * |
PTWE |
50 mg/100 g bw |
4860±132.67 * |
79.65±3.9 * |
34.88±1.4 * |
Galvus |
30 mg/100 g bw |
3990±99.43 * |
93.82±4.5 * |
-30.56±1.5 * |
Notes: P value significant at the 0.05 level (2-tailed)* by Post hoc test using dunnetts and tuckey.
Fig. 1: Inhibition Kinetic study of both PTWE and Galvus; a: MM plot for PTWE, b: LB plot for PTWE, c: MM plot for Galvus and d: LB plot for Galvus. PTWE was also found to be a competitive inhibitor like Galvus having Vmax (5.931 U/mg), Km (207.7 µM), Ki (13.11 mg/ml) and Kcat (28.6 x 10-3). The Vmax, Km, Ki and Kcat value for galvus is 1.124 U/mg, 190.7 µM, 4.232 mg/ml and 5.9 x 10-3
Fig. 2: In vivo study a: Glucose tolerance (n=6, P<0.05), b: AUC(0-60 min) of glucose concentration (n=6, P<0.05), c: Percent increase in plasma GLP-1 concentration after one hour of glucose consumption (n=6, P<0.05), d: Percent decrease in plasma DPP-IV activity after one hour of glucose consumption (n=6, P<0.05)
DISCUSSION
According to our results, the hypoglycemic role of PTWE has been found to be contributed by the mechanism of incretin hormones secretions. The DPP-IV activity in plasma was decreased, which leads to increase in overall plasma GLP-1 concentration and glucose tolerance in PTWE treated rats in comparison to control rats. Therefore, enhanced glucose tolerance must be because of the greater proportion of the active form of GLP-1 rather than the inactive form of GLP-1. This active form must have acted on β-cells of the pancreas in order to release insulin. PTWE is a competitive inhibitor of DPP-IV enzyme (fig. 1), so it can reduce the enzyme catalytic efficiency by binding directly to the active site of enzyme thus making no effect on Vmax, but will increase Km.
Increase in Km means a reduction in binding affinity of an enzyme for its substrate. Binding directly to the active site of an enzyme by PTWE leads us to the conclusion that it should have any component which must have a structure that resembles with the structure of the substrate of DPP-IV enzyme. PTWE did not reduce as much plasma DPP-IV activity after 60 min. as compared to Galvus (Fig.2), but it could be possible that the reduction in gut DPP-IV activity might have played the major role in enhancing GLP-1 secretion [16], thus enhancing glucose tolerance. As mentioned earlier PTWE contains flavonoids, which were already known to have both DPP-IV inhibitory action [24] as well as the ability to potentiate incretin hormone secretion by acting as a GLP-1 receptor agonist [23]. According to previous results, flavones is a competitive inhibitor of DPP-IV [24]. Thus, flavonoids might be the most probable reason why this plant tuber helps in enhancing glucose tolerance and GLP-1 secretion. Of many naturally occurring flavonoids, only a few have been reported to have DPP-IV inhibitory effect [25,26].
So, which flavonoids of PTWE and by which structure does it enhance incretin secretion either as DPP-IV inhibitor to increase GLP-1 half-life or as incretin agonist to modify GLP-1R binding and signalling through cAMP formation and intracellular Ca2+mobilization [23] could also be taken as one of the interesting study in order to reveal the mechanism of action. We have taken PTWE (the water extract of Pueraria tuberosa), which must have contained many types of component. Hence, we cannot just focus ourselves specifically to the flavonoids as only the responsible components, other components could also have more or less effect on this approach either individually or synchronously with others. Consumption of medicinal plants as a whole must be more effective than the isolated components to the patients because of the presence of various beneficial ingredients, so they can effect in many ways to maintain health of the individual. Thus, this kind of crude extract study should also be done prior to specific studies. Questions like, through which approach and by what mechanism and on which part of an intestine or any other organs does this plant is acting on, can be revealed by proper study on the level of cell and molecular biology.
CONCLUSION
PTWEas DPP-IV inhibitor could be helpful in the treatment of diabetes as it enhances the half-life of active GLP-1 which leads to regulate glucose dependent insulin secretion by β-cell of the pancreas through inhibition of DPP-IV in vivo. On the other hand PTWE is also having no or less side effects and economically beneficial and also having many other medicinal properties which could be more helpful to diabetic patients as compared to commercially available DPP-IV inhibitors.
FUNDING
This work was supported by the RGNFD fellowship of University Grant Commission.
ACKNOWLEDGEMENT
We are heartily thankful to UGC for the RGNFD fellowship with contingency.
CONFLICT OF INTERESTS
The authors have declared that they have no conflict of interest
REFERENCES