Int J Pharm Pharm Sci, Vol 7, Issue 9, 412-419Original Article


SYNTHESIS AND PHARMACOLOGICAL EVALUATION OF CERTAIN SCHIFF BASES OF OCTAHYDRO-1H-PYRROLO [3, 4-B] PYRIDINE DERIVATIVES

SADAGOPAN SEKAR1, NAGARAJA NAIK*1, SRIDHARA AJJANNA MAHALINGAPPA.2, PEETHAMBER S. K.3

1Department of Studies in Chemistry, University of Mysore, Manasagangotri, Mysore 570006, 2Gomti Life sciences India Pvt Ltd, Bidadi Industrial Area, Bangalore 562109, 3Department of Biochemistry, Kuvempu University, Shankaraghatta, Shivamogga, India
Email: drnaikchem@gmail.com   

 Received: 26 Apr 2015 Revised and Accepted: 25 Jul 2015


ABSTRACT

Objective: Synthesis, characterization and biological screening of some new 1,6-disubstituted Octahydro-1H-pyrrolo[3,4-b]pyridine Schiff base (13a-n) derivatives.

Methods: The scaffold of Octahydro-1H-pyrrolo [3,4-b]pyridine Schiff bases was prepared, synthesised and screened for their biological activity.

Results: The structure of newly synthesized compounds was characterized by spectral data and screened for their biological activity like antioxidant, antimicrobial, antifungal, and chelating efficacy activities against various bacteria and fungi strains. Screening revealed that several of these compounds (13a-n) showed potential biological activity.

Conclusion: Investigation on newly synthesised 1,6-disubstituted Octahydro-1H-pyrrolo[3,4-b]pyridine Schiff base (13a-n) derivatives for their biological activity revealed that some of the compounds showed good antioxidant, chelating and antimicrobial properties. The fact that the newly synthesised Schiff bases in this study are chemically related to the current medication and suggests further work is clearly warranted and to be explored.

Keywords: Octahydro-1h-pyrrolo [3,4-b]pyridine, Schiff base, Moxifloxacin, 8-methoxy fluoroquinolone, DPPH, antioxidants.


INTRODUCTION

Schiff bases are condensation products of primary amines with carbonyl compounds and they were first reported by Schiff in 1864 [1]. The common structural feature of these compounds is the azomethine group with a general formula RHC=N-R1, where R and R1 are alkyls, aryl, cycloalkyl or heterocyclic groups which may be variously substituted. These compounds are also known as anils, imines or azomethines. Several studies showed that the presence of a lone pair of electrons in a sp2 hybridized orbital of the nitrogen atom of the azomethine group is of considerable chemical and biological importance. Because of the relative easiness of preparation, synthetic flexibility, and the special property of C=N group, versatility of Schiff base ligands and biological, analytical and industrial applications of their complexes make further investigations in this area highly desirable.

Nowadays, the research field dealing with Schiff base coordination chemistry has expanded enormously. The importance of Schiff base complexes for bioinorganic chemistry, biomedical applications, supramolecular chemistry, catalysis and material science, separation and encapsulation processes, and formation of compounds with unusual properties and structures has been well recognized and well reviewed [2]. Schiff bases shown excellent biological properties like antitumor activity [3], plant growth regulators [4], antimicrobial [5], corrosion inhibitor [6], antiviral [7] anticonvulsants [8] antifungal [9] and anthelmintic activities [10], antibacterial activity [11], herbicidal [12],and in analytical chemistry [13].

Moxifloxacin [14] is a novel antibacterial 8-methoxy fluoroquinolone derivative which exhibits broad-spectrum activity against gram-positive and gram-negative microbes as well as anaerobes. Based on the study and the literature, moxi floxacin is very photostable and does not induce as much phototoxicity compared to other analogues of fluoro quinoline drugs [15]. The stability and less photo toxicity is due to the seventh position substitution of the fluoroquinolone ring by an octahydro-1H-pyrrolo [3,4-b]pyridine moiety and its C-8 position with a methoxy group [16]. It also reported that the substituent effect of different basic moieties dealing with pyridobenzoxazines [17], the order of potency of basic substituents against mycobacteria (from the highest to the lowest) was octahydro-1H-pyrrolo [3,4-b]pyridine>3-aminomethyl pyrrolidines> 3-aminopyrrolidines>piperazines>3-aminoazetidine>3-amino-methylazetidine [18]. Diazabicyclo alkanes are important synthetic precursors in the preparation of compounds with a variety of biomedical applications. For example, derivatives of 3,8-diazabicyclo[3.2.1]octane and 1,4-diazabicyclo[3.2.2]nonane were used as the starting materials for the synthesis of various biologically active molecules, including α-7 nicotinic acetylcholine receptor agonists, which can be used for the treatment of diseases or disorders related to the central nervous system (CNS) and peripheral nervous system (PNS) [19]. Adducts of 3,8-diazabicyclo[3.2.1]octane, 1,4-diazabicyclo[3.2.2]nonane and other similar diazabicycles with quinolones resulted in products with significant antibacterial activity [20]. 1,4-Diazabicyclo[3.2.2]nonanes also serve as precursors in the preparation of [18]F isotope-containing potential radiotracers for imaging α-7 nicotinic acetylcholine receptors [21], whereas 3,10-diazabicyclo[4.3.1]decane derivatives are used in the synthesis of [11]C-labeled serotonin transporter ligands [22]. It is also reported that diazobicyclodecane derivatives used for the treatment and/or prophylaxis of autoimmune disorders and/or inflammatory diseases, cardiovascular diseases, neurodegenerative diseases, cancer, respiratory diseases and fibrosis [23]. Also, it is reported that 8,10-diazabicyclo[4.3.1]decane derivatives are potent nicotinic modulators and may be useful in the treatment of diseases related to the cholinergic system of the CNS or PNS [24]. Pyridine-substituted 3,6-diazabicyclo[3.2.0]heptanes were observed to be selective agonists for a4b2 nicotinic acetylcholine receptor [25]. The aza-bicycle heterocyclic scaffolds are found in chemokine CCR5 receptor antagonists and inhibitors of dipeptidyl peptidase IV [26]. The 3,7-Diazabicyclo[4.3.0]nonan-8-ones are shown to be potential nootropic and analgesic drugs [27], antiprotozoal [28] and antispasmolytic [29] activities. Following are some of the drugs and drugs analogues which contain diazabicyclononane moiety-Moxifloxacin, BAY3118 [30], Pradofloxacin [31], Pyrido[1,2,3-d,e][1,3,4] benzoxadiazine derivatives [32], 6,5-pyrrolopiperidine derivatives [33],and tetrahydro-1H-pyrrolo[2,3-c]pyridine-derivatives [34].

The diverse biological activities of octahydropyrrolopyridine or diazabicycles, and Schiff base pharmacophores encouraged us to envisage the molecular modelling,which possesses both these cores in a compact system and to elucidate the potential role of these compounds as active biological agents. In view of interest in the development of simpler and more convenient synthetic routes for achieving the biologically active analogues and in continuation of our research interest in functionalization of new tricyclic and heterocyclic compounds [35-39]. A series of some new 1,6-disubstituted Octahydro-1H-pyrrolo[3,4-b]pyridine Schiff bases (13a-n) were prepared.

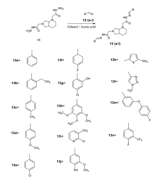
Introducing potential bioactive chromospheres (Schiff bases) on octahydro pyrrolopyridine heterocyclic scaffold (Figure-1) allow us to synthesise various octahydro pyrrolopyridine compounds giving rise to the variety of compounds, which may be screened for diverse biological activity. Substitution at 1 and 6 positions will enable us wide molecular manipulations. In finding out new derivatives of octahydropyrrolopyridine, in this research paper we report a series of new Schiff bases with a potential biological activity resulted from the condensation of aryl aldehydes with 2,2'-hexahydro-1H-pyrrolo [3,4-b] pyridine-1,6(2H)-diyldiacetohydrazide. These compounds may also act as valuable ligands. The structures of newly synthesized Schiff bases were characterized by physic-chemical and spectral data.

Fig. 1: Scaffold of Schiff bases of octahydro-1H-pyrrolo [3, 4-b] pyridine

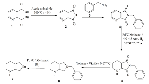
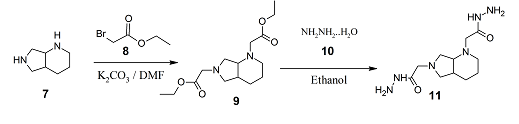
The key intermediate in the present study is octahydro-1H-pyrrolo [3,4-b] pyridine (7), which was prepared from quinolinic acid (1) as per the known literature [40]. Reacting octahydro-1H-pyrrolo[3,4-b]pyridine (7) with ethyl bromoacetate gave diethyl 2,2'-hexahydro-1H-pyrrolo[3,4-b]pyridine-1,6(2H)-diyldiacetate (9), which on reaction with hydrazine hydrate gives 2,2'-hexahydro-1H-pyrrolo [3,4-b]pyridine-1,6(2H)-diyldiacetohydrazide (10). Hydrazides on reaction with different aldehydes yield different Schiff bases (13a-n) and the molecules are characterized by their spectral data like IR, Mass, NMR spectra. The newly synthesised molecules were studied for their antioxidant, metal ion chelating and antimicrobial properties.

MATERIALS AND METHODS

All chemicals used for the synthesis were of reagent grade and were procured from Sigma-Aldrich Chemical Co, Bangalore, SDFCL, Mumbai, and the intermediates were prepared as per the known literature procedure. 1H and 13C NMR spectra were recorded on 400 MHz and 100 MHz Varian-AS NMR spectrometer using TMS as an internal standard. IR spectra were recorded by using Perkin Elmer Spectrum 100 Series FT-IR spectrometer. Mass spectra were recorded on Agilent 1200 Series LC/MSD VL system. Melting points were determined by using Buchi melting point B-545 instrument and are uncorrected. All the reactions were monitored by thin-layer chromatography (TLC) using pre-coated silica 60 F254, 0.25 mm aluminum plates (Merck). Plates were eluted with appropriate solvent systems prepared in the laboratory. The developed plates were analyzed under UV 254 nm.

Preparation of Quinolinic anhydride (2)

A solution of acetic anhydride (120 ml) and pyridine-2,3-dicarboxylic acid (1) (60 g) were heated to reflux for 4 h in an oil bath. After completion of the reaction, cooled to 80 °C, distilled off excess acetic anhydride completely under vacuum at below 80 °C and cooled to room temperature, methylene chloride (60 ml) was charged to the distilled residue, stirred for 30 min at 40-45 °C, Cooled to 0-5 °C, filtered, washed with dichloromethane dried to get the desired compound (2)

Weight: 48 g; Yield: 90 %; White solid; Mp: 136-137 °C; ESI-MS m/z =150. 0 (M+1); 1H NMR (400 MHz, DMSO-d6) δ 7.92-7.95 (1H, dd), 8,52-8.54 (1H, dd), 9.13-0.14 (1H, dd).

Preparation of 6-Benzyl-5H-pyrrolo [3,4-b]pyridine-5,7(6H)-dione (4)

A mixture of benzylamine (3) (57.0 g, 0.532 mol) and quinolinic anhydride (2) (40 g, 0.268 mol) were heated to 100-105 °C for 6 h. After completion of reaction cooled the reaction mass to room temperature, quenched with ice water. Stirred the quenched mass for 30 min, filtered the precipitated product. The crude product was dissolved in ethanol by refluxing and then cooled to crystallize the product and filtered, dried in an air oven at 50-60 °C to constant weight.

Weight: 51 g; Yield: 80 %; Off White colored solid; Mp: 154-156 °C; ESI-MS m/z = 239.1 (M+1); 1H NMR (400 MHz, DMSO-d6) δ 4.8 (s, 2H,CH2), 7.25-7.35 (m, 5H, Ar-H), 7.78-7.81 (dd, 1H, Ar-H), 8.31-8.33 (m, 1H, dd), 899-8.98 (m, 1H, Ar-H).

Preparation of 6-Benzyltetrahydro-1H-pyrrolo[3,4-b]pyridine-5,7(2H,6H)-dione (5)

6-benzyl-5H-pyrrolo[3,4-b]pyridine-5,7(6H)-dione (50 g, 0.209 mol) in methanol (500 ml) was charged with 5% Pd/C (5 g) under nitrogen atmosphere into an autoclave. The reaction vessel was evacuated with nitrogen followed by application of hydrogen gas at a pressure of 4.0-4.5 kg/cm2. The reaction mixture was heated at a temperature of 55-60 °C for a period of 7 h. After completion of the reaction, cooled to ambient temperature, filtered the catalyst through hyflo supercel bed. The solvent was completely distilled under vacuum at below 45 °C. The residue was crystallized from isopropyl ether to get the desired compound (5)

Weight: 35.0 g; Yield: 68 %; Off white semi solid; ESI-MS m/z = 245.2 (M+1); 1H NMR (400 MHz, DMSO-d6) δ 1.46-1.57 (2H, m), 1.75-1.92(2H, m) 2.66-2.73 (1H, m) 3.18-3.22 (3H, d), 4.17-4.34 (2H, m), 7.22-7.32(5H, ArH, m), 8.75 (brs, 1H, NH).

Preparation of 6-Benzyloctahydro-1H-pyrrolo [3, 4-b] pyridine (6)

Vitride in toluene (200 g, 0.8735 mol) solution was added to a solution of 6-benzyltetrahydro-1H-pyrrolo [3,4-b]pyridine-5,7(2H,6H)-dione (30 g, 0.1228 mol) in toluene (125 ml) at 0-5 °C. The reaction mixture was stirred for 30 min and the temperature was raised to 25-30 °C and maintained for 1 h.

The reaction mixture was further heated to 60-65 °C for 4 h, cooled to 0-5 °C followed by the addition of 20% sodium hydroxide solution. The reaction mixture was again heated to 55 °C, stirred for 30 min and the toluene layer was separated, washed with saturated sodium chloride solution and distilled off the solvent under vacuum at below 60 ° C to get the desired product.

Weight: 20.0 g; Yield: 75 %; White solid; ESI-MS: m/z = 217.2 (M+1).

Preparation of Octahydro-1H-pyrrolo [3,4-b]pyridine (7)

A solution of 8-benzyl-2,8-diazabicyclo[4.3.0]nonane (10 g, 0.04622 mol) in methanol (100 ml) is charged into an autoclave, added 5% Pd/C (1 g). The reaction mass was heated to 55 °C for 4 hrs under hydrogen pressure, after completion of the reaction, cooled to 25 °C, filtered and washed with methanol (9.0 ml). The solvent was distilled off to get the desired product octahydro-1H-pyrrolo [3,4-b] pyridine.

Weight: 5.0 g; Yield: 86 %; Light yellow colored liquid; ESI-MS m/z = 127.1 (M+1); 1H NMR (400 MHz, DMSO-d6) δ 1.24-1.31 (m, 1H), 1.35-1.46 (m, 1H), 1.59-1.66 (m, 2H), 1.81-1.89 (m, 1H), 2.21 (brs, 2H), 2.39-2.45(m, 1H), 2.50-2.57 (m, 1H), 2.63-2.82 (4H, m), 2.95-2.99 (1H, m).

Diethyl 2,2'-hexahydro-1H-pyrrolo [3,4-b] pyridine-1,6(2H)-diyldiacetate (9)

A mixture of octahydro-1H-pyrrolo[3,4-b]pyridine (7) (25 g, 0.198 mol), ethyl bromo acetate (8) (98.69 g, 0.594 mol) and anhydrous potassium carbonate (164.14 g, 1.189 mol) in N,N-dimethyl formamide (125 ml) was heated to 60-65 °C in water bath for 10 h. After completion of the reaction as monitored by TLC, cooled the reaction mass, and poured into well-stirred ice-cold water. The product was extracted with ethyl acetate, dried with anhydrous sodium sulphate, removed solvent by evaporation and purified with diisopropyl ether offered Diethyl 2,2'-hexahydro-1H-pyrrolo[3,4-b]pyridine-1,6(2H)-diyldiacetate (9).

Weight: 41 g; Yield: 70 %; Off-white coloured solid. ESI-MS: m/z = 299.2 (M+1);

2,2'-Hexahydro-1H-pyrrolo[3,4-b]pyridine-1,6(2H)-diyldiacetohydrazide (11)

A mixture of diacetate (9) (30 g, 0.1005 mol) and hydrazine hydrate (16 g, 0.40 mol) in ethanol (150 ml) was refluxed for 6 h. After completion of the reaction, the excess ethanol was removed by distillation, on cooling, crystals of the required products separated, which were collected by filtration and drying gave the desired product.

Weight: 25 g; Yield: 93 %; 1H NMR (400 MHz, DMSO-d6) δ 1.397-1.554 (4H, m), 1.602-1.745 (1H,m), 2.17-2.228 (2H, m), 2,593-2,563 (2H, m), 2.675-2.835 (5H, m), 2.993-3.513 (2H, m), 3.04-3.829 (4H, brs,), 8.929 (s, 2H) (Amide);

General method for the Synthesis of Schiff bases

A solution of diacetohydrazide (11) (1.849 m. mol), different aldehydes (12a-n) (3.72 m. mol) and acetic acid (1 ml) in ethanol (50 ml) was refluxed for 6 h. After completion of reaction, cooled the reaction mass to 25-30 °C, quenched with ice water, extracted the product into ethyl acetate, after evaporation of solvent and crystallization from diisopropyl ether gave corresponding Schiff bases (13a-n).

[6-(Benzylidene-hydrazinocarbonylmethyl)-octahydro-pyrrolo [3,4-b]pyridin-1-yl]-acetic acid benzylidene-hydrazide (13a)

Yield 75%; Off white solid; MS (ESI) m/z 447.3 (M+1); 1H NMR (400 MHz, DMSO-d6) δ 1.23-1.25 (2H, m), 1.47-1.49 (2H, m), 1.56-1.59(1H, m), 1.72-1,91 (2H, m), 2.29-2.46 (1H, m), 2.71-2.86 (2H, m), 2.90-3.06 (2H, m), 3.08-3.10 (2H, m), 3.17-3.28 (2H, m), 7.37-7.50 (6H, m, ArH), 7.61-7.71 (4H, m, ArH), 7.96-8.01 (1H, m, ArH), 8.25-8.40 (1H, m, ArH), 11.27-11.42 (2H, Amide 2NH); IR (KBr) ν/cm-1 3423, 2933, 1686, 1267

[6-(2-Ethyl-benzylidene-hydrazinocarbonylmethyl)-octahydro-pyrrolo[3,4-b]pyridin-1-yl]-acetic acid (2-ethyl-benzylidene)-hydrazide (13b)

Yield 70%; Off white solid; MS (ESI) m/z 503.3 (M+1); 1H NMR (400 MHz, DMSO-d6) δ 1.04-1.21 (6H, m), 1.32-1.46 (4H, m), 1.88-1.99 (2H,m), 2.51-2.88 (6H, m), 2.96-3.62 (6H, m), 7.15-7.32 (5H, m, ArH), 7.36-7.50(1H, m, ArH), 7.67-7.81 (2H, m), 8.33-8.35 (1H, m), 8.67-8.75 (1H, m), 11.45-11.57 (2H,Amide 2-NH); IR (KBr) ν/cm-1 3419, 2962, 1682, 1290, 756;

[6-(4-Methyl-benzylidene-hydrazinocarbonylmethyl)-octahydro-pyrrolo[3,4-b]pyridin-1-yl]-acetic acid (4-methyl-benzylidene)-hydrazide (13c)

Yield 72 %; Off white solid; MS (ESI) m/z 475.3 (M+1); 1H NMR (400 MHz, DMSO-d6) δ 1.45-1.75 (4H, m), 2.37-2.33 (8H, m), 2.67-2.97 (6H,m), 3.07-3.23 (3H, m), 3.58-3.68 (1H, m), 7.15-7.32 (5H, m, ArH), 7.36-7.50 (1H, m, ArH), 7.67-7.81 (2H, m), 8.33-8.35 (1H, m), 8.67-8.75 (1H, m), 11.45-11.57 (2H,Amide 2-NH); IR (KBr) ν/cm-1 3419, 2962, 1682, 1290, 756;

[6-(4-Methoxy-benzylidene-hydrazinocarbonylmethyl)-octa-hydro-pyrrolo[3,4-b]pyridin-1-yl]-acetic acid (4-methoxy-benzylidene)-hydrazide (13d)

Yield 67%; Off white solid; MS (ESI) m/z:507.3 (M+1); 1H NMR (400 MHz, DMSO-d6) δ 1.458-1.599 (4H,m), 1.695-1.750 (1H, m), 2.277-2.305 (2H, m), 2.334 (6H, S), 2.675-3.073 (6H, m), 3.168-3.339 (2H, m), 4.024-4.223 (1H, m), 7.153-7.70 (4H, m, ArH), 7.488-7.574 (4H, m, ArH), 7.949-7.995 (1H, m, ArH), 8.220-8.367 (1H, m, ArH), 11.251-11.550 (2H, Amide NH); IR (KBr) ν/cm-1 3422, 2956, 1685, 1250.

[6-(4-Chloro-benzylidene-hydrazinocarbonylmethyl)-octa hydro-pyrrolo[3,4-b]pyridin-1-yl]-acetic acid (4-chloro-benzylidene)-hydrazide (13e)

Yield 70%; Off white solid; MS (ESI) m/z:517.1 (M+1);1H NMR (400 MHz, DMSO-d6) δ 1.23-1.75 (4H, m), 2.25-2.67 (2H, m), 2.71-3.00 (6H, m), 3.13-3.44(2H, m), 3.55-3.61(1H, m), 3.70-4.09(1H,m), 7.39-7.51(4H, m, ArH), 7.59-7.70(4H, m, ArH), 7.94-7.99 (1H, m, ArH), 8.23-8.36(1H, m, ArH), 11.34-11.58(2H, m, 2NH); IR (KBr) ν/cm-1 3447, 2935, 1697, 1246.

[6-(4-Fluoro-benzylidene-hydrazinocarbonylmethyl)-octahydro-pyrrolo[3,4-b]pyridin-1-yl]-acetic acid (4-fluoro-benzylidene)-hydrazide (13f)

Yield 70%; Off white solid; MS (ESI) m/z 483.2(M+1); 1H NMR (400 MHz, DMSO-d6) δ 1.49-1.75(4H,m), 2.31-2.50(2H, m), 2.73-3.03(6H, m), 3.05,3.38(2H, m), 3.40-3.61(1H, m), 3.66-4.07(1H,m), 7.17-7.29(4H,m), 7.63-7.76(4H,m), 7.95-8.00(1H, m), 8.25-8.38(1H,m),11.33-11.53(2H,m); IR (KBr) ν/cm-1 3443, 2930, 1692, 1250.

[6-(5-Chloro-2-hydroxy-benzylidene-hydrazinocarbonyl methyl)-octahydro-pyrrolo[3,4-b]pyridin-1-yl]-acetic acid (5-chloro-2-hydroxy-benzylidene)-hydrazide (13g)

Yield 55 %; Off white solid; MS (ESI) m/z 579.1 (M+1); 1H NMR (400 MHz, DMSO-d6) δ 1.463-1.709(4H,m), 2.26-2.36(2H,m), 2.67-3.07(6H, m), 3.17-3.30(2H, m), 3.41-3.56(1H,m), 4.00-4.14(1H,m), 6.92-6.96(2H,m), 7.21-7.29(2H,m), 7.49-7.56(1H,m), 7.60-7.63(1H,m), 8.20-8.25(1H,m), 8.46-8.58(1H,m), 11.37 (2H, Brs), 11.62 (2H,Brs); IR (KBr) ν/cm-1 3433, 3213, 2935, 1690, 1560, 1271.

[6-(3,4,5-Trimethoxy-benzylidene-hydrazinocarbonylmethyl)-octahydro-pyrrolo[3,4-b]pyridin-1-yl]-acetic acid (3,4,5-tri methoxy-benzylidene)-hydrazide (13h)

Yield 52 %; Off white solid; MS (ESI) m/z 627.3 (M+1); 1H NMR (400 MHz, DMSO-d6) δ 1.23-1.87(4H,m), 2.31-2.33(2H,m), 2.73-3.03(8H,m), 3.14-3.42(2H,m), 3.66-3.99(18H,m), 6.89-6.96(4H,m), 7.89-7.91(1H,d), 8.21-8.23(1H, d), 11.38(2H,brs); IR (KBr) ν/cm-1 3225, 2940, 1677, 1573, 1235;

[6-(2-Chloro-pyridin-3-ylmethylene-hydrazinocarbonyl methyl)-octahydro-pyrrolo[3,4-b]pyridin-1-yl]-acetic acid (2-chloro-pyridin-3-ylmethylene)-hydrazide (13i)

Yield 45%; Off white solid; MS (ESI) m/z 517.2 (M), 519.1 (M+2);1H NMR (400 MHz, DMSO-d6) δ 1.23-1.46(2H,m), 2.19-2.44(3H,m), 2.63-2.86(4H,m), 2.94-3.24(3H,m), 3.29-3.52(2H,m), 3.58-3.91(2H,m), 7.40-7.53(2H,m), 8.21-8.30(3H,m), 8.40-8.43(1H,m), 11.66(2H,brs); IR (KBr) ν/cm-1 3418, 2931, 1694, 1557, 1398;

[6-(4-Hydroxy-3-methoxy-benzylidene-hydrazinocarbonyl methyl)-octahydro-pyrrolo[3,4-b]pyridin-1-yl]-acetic acid (4-hydroxy-3-methoxy-benzylidene)-hydrazide (13j)

Yield 63%; Off white solid; MS (ESI) m/z 539.1 (M+1); 1H NMR (400 MHz, DMSO-d6) δ 1.45-1.70(4H,m), 2.29-2.36(2H,m), 2.69-3.00(7H,m), 3.15-3.39(3H,m), 3.69-3.86(8H,m), 6.78-6.85(2H,m), 6.96-7.06(2H,m), 7.19-7.24(2H,m), 7.81-7.85(1H,m), 8.13-8.18 (1H,m), 11.18(2H,brs); 13C NMR (100 MHz, DMSO-d6) δ 21.87, 23.54, 23,54, 37.30, 51.66, 52.23, 54.75, 54.96, 55.52, 58.74, 62.42, 108.81, 109.06, 115.43, 120.80, 121.93, 122.03, 122.22, 125.35, 125.50, 147.66, 147.92, 148,91, 166.41, 166.83, 171.33, 172.89; IR (KBr) ν/cm-1 3430, 2937, 1647, 1550, 1370;

(6-{N'-[2-(5-Nitro-thiophen-2-yl)-vinyl]-hydrazinocarbonyl methyl}-octahydro-pyrrolo[3,4-b]pyridin-1-yl)-acetic acid N'-[2-(5-nitro-thiophen-2-yl)-vinyl]-hydrazide (13k)

Yield 56%; Off white solid; MS (ESI) m/z 549.2(M+1); 1H NMR (400 MHz, DMSO-d6) δ 1.48-1.56(4H,m), 2.32-2.66(2H,m), 2.71-2.81(3H,m), 2.90-3.12(4H,m), 3.18-3.62(3H,m), 7.48(2H,brs), 8.06-8.22(2H,d), 8.66-8.67(2H,d), 11.80(2H,brs); 13C NMR (100 MHz, DMSO-d6) δ 22.28, 23.83, 37.69, 48.97, 52.01, 54.91, 57.88, 58.23, 65.53, 129.34, 129.79, 130.84, 140.69, 141.27, 147.11, 15.07, 167.76, 168.06, 168.39, 172.09, 173.23. IR (KBr) ν/cm-1 3418, 2931, 1694, 1557, 1398;

(6-{N'-[2-(1-Methyl-1H-pyrazol-4-yl)-vinyl]-hydrazinocarbonyl methyl}-octahydro-pyrrolo[3,4-b]pyridin-1-yl)-acetic acid N'-[2-(1-methyl-1H-pyrazol-4-yl)-vinyl]-hydrazide (13l)

Yield 45%; Off white solid; MS (ESI) m/z 455.3 (M+1)); 1H NMR (400 MHz, DMSO-d6) δ 1.46-1.69 (4H, m), 2.27-2.33 (2H, m), 2.67-2.95 (6H, m), 3.00-3.11 (1H, m), 3.17-3.28 (1H, m), 3.32-3.50 (1H, m), 3.58-3.81 (1H, m), 3.82-3.90 (6H, m), 7.69-7.70 (2H, m), 7.95-8.05 (2H, m), 8.15 (s, 1H), 8.24 (1H, s), 11.03-11.15 (2H, bs); 13C NMR (100 MHz, DMSO-d6) δ 21.83, 22.97, 23.40, 37.19 (2methyl C), 51.31, 54.67, 55.45, 56.11, 58.96, 62.22, 117.31, 117.34, 130.55, 130.55, 136.46, 137.07, 141.00, 141.04, 171.00, 173.61; IR (KBr) ν/cm-1 3225, 2940, 1677, 1573, 1235;

{6-[3-(4-Fluoro-phenoxy)-benzylidene-hydrazinocarbonyl methyl]-octahydro-pyrrolo[3,4-b]pyridin-1-yl}-acetic acid [3-(4-fluoro-phenoxy)-benzylidene]-hydrazide (13m)

Yield 65%; Off white solid; MS (ESI) m/z 667.3 (M+1); 1H NMR (400 MHz, DMSO-d6) δ 1.36-1.72(4H, m), 2.18-2.31(2H, m), 2.61-2.77(3H, m), 2.82-2.99 (3H, m), 3.03-3.24 (2H, m), 3.29-3.55 (1H, m), 3.71-3.84 (1H, m), 6.99-7.07 (4H, m), 7.08-7.18 (2H, m), 7.36-7.46 (8H, m), 7.47-7.50 (2H, m), 7.94-7.98 (1H, m), 8.26-8.36 (1H, m), 11.48-11.54 (2H, m); 13C NMR (100 MHz, DMSO-d6) δ 22.0, 23.71, 37.62, 48.98, 51.93, 52.34, 55.98, 58.61, 59.16, 117.40, 117.54, 117.82, 118.14, 118.37, 118.88, 119.21, 119.87, 123.95, 124.86, 125.05, 130.59, 132.37, 141.78, 143.47, 143.79, 145.69, 146.17, 153.43, 155.93, 156.79, 156.98, 167.18, 167.60, 167.87, 167.00, 171.97, 173.10; IR (KBr) ν/cm-13424, 2939, 1690, 1584, 1276;

[6-(4-Fluoro-3-trifluoromethyl-benzylidene-hydrazinocarbonyl methyl)-octahydro-pyrrolo [3,4-b]pyridin-1-yl]-acetic acid (4-fluoro-3-trifluoromethyl-benzylidene)-hydrazide (13n)

Yield 55%; Off white solid; MS (ESI) m/z 619.2.3 (m+1); 1H NMR (400 MHz, DMSO-d6) δ 1.46-1.69 (4H, m), 2.27-2.33 (2H, m), 2.67-2.95 (6H, m), 3.00-3.11 (1H, m), 3.17-3.28 (1H, m), 3.32-3.50 (1H, m), 3.58-3.81 (1H, m), 3.82-3.90 (6H, m), 7.69-7.70 (2H, m), 7.95-8.05 (2H, m), 8.15 (s, 1H), 8.24 (1H, s), 11.03-11.15 (2H, bs); 13C NMR (100 MHz, DMSO-d6) δ 21.83, 22.97, 23.40, 37.19 (2methyl C), 51.31, 54.67, 55.45, 56.11, 58.96, 62.22, 117.31, 117.34, 130.55, 130.55, 136.46, 137.07, 141.00, 141.04, 171.00, 173.61; IR (KBr) ν/cm-1 3419, 2930, 1682, 1576, 1290;

Biological activity

Antioxidant activity

The antioxidant activity of novel Schiff bases (13a-n) were determined by DPPH scavenging activity method as described by Brand-Williams et al., [41] with some modifications. This assay is based on the determination of the concentration of 2, 2-diphenyl-1-picrylhydrazyl (DPPH) in methanolic solution, after adding the antioxidants, DPPH concentration is reduced by the existence of an antioxidant at 515 nm and the absorption gradually disappears with time. UV/VIS spectrophotometer was used to determine the antioxidant activity of each sample. A stock solution (1 mg/ml) of the test compounds was prepared in methanol. 100 µl of the compounds were added to 3 ml of a 0.004% methanol solution of DPPH radical. After 30 min of incubation in the dark at room temperature, the absorbance was observed against a blank at 515 nm. Butylated hydroxy toluene (BHT) was used as reference standard for comparison. All the experiments were carried out triplicate, average and the standard deviations were calculated. The percentage of inhibition was calculated using following formula and reported in Table-1

Where A0 is the absorbance of the control reaction and A1 is the absorbance of the sample.

Metal ion chelating assay

The ability of samples to chelate iron (II) ion was estimated using the method reported by Dinis et al., [42] and compared with that of the reference chelator agent EDTA. Test samples of (13a-n) 100 μg concentration (1.0 ml) was added to a solution of 2 m. mol iron(II)chloride (0.05 ml). The reaction was initiated by the addition of 5 m. mol ferrozine (0.2 ml) and the volume of the mixture were finally adjusted to 3 ml with methanol, shaken vigorously and left standing at room temperature for 10 min. After the mixture had reached equilibrium, the absorbance of the solution was measured spectrophotometrically at 562 nm. All the experiments were carried out in triplicate, average and standard deviations was calculated. The percentage of inhibition of ferrozine–Fe2+complex formation was calculated using the formula given below and reported in Table-2

Where A0 is the absorbance of the control, containing iron (II) chloride and ferrozine only, A1 is the absorbance in the presence of the tested sample and A2 is the absorbance of the sample under identical conditions as A1 with water instead of iron (II) chloride solution.

Table 1: Antioxidant activity of Schiff bases (13a-n)

S. No.

Compound Name

% of inhibition

1

13a

64.03±0.15

2

13b

63.20±0.06

3

13c

59.77±0.38

4

13d

23.13±0.81

5

13e

17.37±0.61

6

13f

29.67±0.35

7

13g

30.30±0.82

8

13h

15.70±0.20

9

13i

22.50±0.50

10

13j

89.90±0.52

11

13k

19.33±0.35

12

13l

51.33±0.58

13

13m

43.97±0.95

14

13n

35.30±1.13

15

BHT

90.53±1.29


Table 2: Metal chelating activity of Schiff bases (13a-n)

S. No.

Compound name

% of inhibition

1

13a

87.33±2.52

2

13b

84.33±1.26

3

13c

69.33±0.58

4

13d

--------

5

13e

34.60±1.35

6

13f

87.42±0.40

7

13g

24.67±1.53

8

13h

-------

9

13i

-------

10

13j

36.17±0.15

11

13k

45.33±0.81

12

13l

-------

13

13m

-------

14

13n

20.07±0.90

15

EDTA

87.30±0.26


Antimicrobial activity

The antibacterial activities of (13a-n) were determined by the well plate method using Mueller-Hinton Agar [43]. The in vitro antibacterial activity was carried out using 24 h old bacterial cultures. In this present work B. subtilis, E. coli and P. aeruginosa bacterial strain was used to investigate the activity. The test compounds (13a-n) and standard (Streptomycin) were dissolved in dimethyl sulfoxide (DMSO) at different concentrations. Twenty ml of sterilized agar media was poured into each pre-sterilized Petri dish. About 60 µl of bacterial culture suspension were poured and swabbed with the pre-sterilized cotton swabs. Six mm diameter well were then punched carefully using a sterile cork borer and 60 µl of test solution of different concentration were added into each labeled well. The plates were incubated for 24 h at 37 °C.

The inhibition zone around the well in each plate was measured in mm. experiments were in triplicates, average and standard deviations were calculated. The antimicrobial results were compared with Streptomycin as standard and summarized in table 3.

Table 3: Antimicrobial activity of Schiff bases (13a-n)

 Concentration

in mg/ml

Organic

compounds

Escherichia coli

Bacillus subtilis

Pseudomonas aeruginosa

1

0.5

1

0.5

1

0.5

Streptomycin

19.63±0.32

17.57±0.60

22.43±0.40

19.17±0.29

19.43±0.40

15.20±0.35

Control

0

0

0

0

0

0

13a

13.37±0.32

9.43±0.40

10.73±0.64

8.33±0.29

13.17±0.29

10.50±0.50

13b

15.50±0.50

13.83±0.76

13.77±0.55

11.43±0.40

14.57±0.60

12.17±0.29

13c

12.53±0.32

9.33±0.58

11.2±0.35

9.83±0.76

13.23±0.40

11.50±0.50

13d

18.50±0.50

15.73±0.64

15.23±0.40

12.47±0.45

18.33±0.58

16.17±0.29

13e

17.70±0.75

15.67±0.58

15.27±0.46

12.3±0.26

18.17±0.29

15.67±0.76

13f

NA

NA

NA

NA

NA

NA

13g

15.17±0.15

12.17±0,29

15.43±0.75

11.20±0.35

16.17±0.29

14.27±0.46

13h

14.07±0.12

13.5±0.5

12.4±0.69

10.83±0.76

15.17±0.29

12.90±0.85

13i

NA

NA

NA

NA

NA

NA

13j

NA

NA

NA

NA

NA

NA

13k

18.40±0.36

16.03±0.47

17.63±0.71

15.33±0.58

19.17±0.29

17.53±0.50

13l

NA

NA

NA

NA

NA

NA

13m

NA

NA

NA

NA

NA

NA

13n

16.67±0.47

14.83±0.76

15.3±0.36

13.47±0.45

16.83±0.76

13.67±0.58

Note: NA-no activity

RESULTS AND DISCUSSION

Chemistry

The key starting material octahydro-1H-pyrrolo [3,4-b]pyridine (7) was prepared from the known literature method using the scheme-1.

In an effort to develop the synthesis of novel fused heterocyclic compound Schiff bases containing octahydro-1H-pyrrolo [3,4-b]pyridine ring, a synthetic approach was done and is depicted in Scheme 2 and Scheme-3

Reacting quinolinic acid (1) with acetic anhydride followed by treatment with benzyl amine gives N-benzylquinolinic acid imide (4), which on reduction with palladium carbon yields 8-benzyl-7,9-dione-2,8-diazabicyclo[4.3.0]nonane (5), further on reduction with sodium bis(2-methoxyethoxy)aluminum-hydride (Vitride) to form 8-benzyl-2,8-diazabicyclo[4.3.0]nonane (6). This after resolution and followed by debenzylation gave octahydro-1H-pyrrolo [3,4-b]pyridine (7).

Scheme 1: Synthetic scheme for the preparation of octahydro-1H-pyrrolo [3,4-b]pyridine


Sheme 2: Synthetic scheme for the preparation of hydrazides (11)


Scheme 3: Synthetic scheme for the preparation of Schiff bases (13a-n)

Octahydro-1H-pyrrolo[3,4-b]pyridine was reacted with ethyl bromoacetate to give diester (8) compound which on reaction with hydrazine hydrate and further with several aldehydes gives different Schiff bases (13a-n).

The structures of newly synthesized compounds (13a-n) were confirmed by the mass, IR and NMR analysis. The mass spectrum shows the prominent ion peak at m/z (M+1). The IR spectrum of compounds (13a-n) shows NH and-C=O functional group at around 3100 cm-1 and 1700 cm-1 and C=N function at around 1200 cm-1. The NMR spectrum of compounds (13a-n) shows NH protons at around 11.5 ppm.

Biological study

Various symmetrical and unsymmetrical bis Schiff bases have been well reported by several authors for their antimicrobial, antioxidant and chelating activities [44-46]. They showed very good activity against various microbes. In this research article, we reporting symmetrical Schiff bases of octahydro-1H-pyrrolo [3,4-b]pyridine and their biological activities. The antimicrobial activity of the octahydro-1H-pyrrolo[3,4-b]pyridine derivatives has been well reported for the fluoro quinoline drugs like moxifloxacin and pradofloxacinand showed very good activity against gram positive and gram negative bacteria. Moxifloxacin is a synthetic broad spectrum antibacterial agent, employed for the treatment of respiratory infections (pneumonia, chronic sinusitis, and chronic bronchitis), skin and soft tissues. Pradofloxacin is a broad-spectrum fluoroquinolone and, like moxifloxacin, has enhanced activity against gram-positive bacteria relative to narrow-and extended-spectrum compounds and good activity against anaerobes. It has been exclusively developed for use in veterinary medicine. The increased potency of pradofloxacin is mainly attributed to the octahydro-1H-pyrrolo [3,4-b]pyridine moiety at C-7. The antioxidant, metal ion chelating and antimicrobial properties of all the newly synthesized compounds (13a-n) was determined by known methods.

Antioxidant activity

The antioxidant activity of novel Schiff bases (13a-n) was determined by DPPH scavenging activity method as described by Brand-Williams et al., with some modifications. This assay is based on the determination of the concentration of 2, 2-diphenyl-1-picrylhydrazyl (DPPH) in methanolic solution, after adding the antioxidants. DPPH concentration is reduced by the existence of an antioxidant at 515 nm and the absorption gradually disappears with time. UV/VIS spectrophotometer was used to determine the antioxidant activity of each sample.

The antioxidant activities of newly synthesised compounds (13a-n) were determined by DPPH method and were compared with reference standard butylated hydroxyl toluene (BHT). The results show that the compound (13j) was acts as a good antioxidant. The compounds13j substituted with hydroxyl and methoxy functional group showed good antioxidant activity, while the other showed a week or no activity.

Metal ion chelating assay

The ability of samples to chelate iron (II) ion was estimated using the method reported by Diniset al. The metal chelating activity of newly synthesised compounds (13a-n) was determined and compared with reference standard ethylenediaminetetraacetic acid (EDTA). Compounds like 13a, 13b, 13f showed good chelating activity. While the other showed less or no activity.

Antimicrobial activity

All the synthesized compounds (13a-n) were screened for their antibacterial activity against B. subtilis, E. coli and P. aeruginosa bacterial strain. Minimum inhibitory concentration (MIC) of all compounds was determined, which is defined as the lowest concentration of inhibitor at which bacterial growth was not visually apparent.

Investigation on antibacterial screening data (table 1) showed some of the compounds were active against three human pathogenic bacteria. The antibacterial activities of (13a-n) were determined by the well plate method using Mueller-Hinton Agar. The compound substituted with13d, 13e, 13k, and 13n showed good activity against E. Coli bacteria. The compounds substituted with 13k showed good activity against B. substitulis. Compounds substituted with 13d, 13e, and 13k showed excellent activity against P. Aeruginosa while the other showed no or moderate activity.

CONCLUSION

In this article, we report the synthesis of certain Schiff Bases of Octahydro-1H-pyrrolo [3,4-b]pyridine derivatives (13a-n), starting from commercially available quinolinic acid and characterized by spectral data. An investigation of their biological activity revealed that some compounds showed good antioxidant, chelating and antimicrobial properties. Compound 13j showed good antioxidant activity while compounds13a, 13b, and 13f showed good chelating agents, the compounds13d and 13k showed good antimicrobial activity against the tested pharmacological activity. The fact that the newly synthesised Schiff bases in this study are chemically related to the current medication suggests that the further work is clearly warranted and to be explored.

ACKNOWLEDGEMENT

The author thankful to the chairman, Department of studies in Chemistry, Mysore University, Mysore, India for their help and support to the research.

CONFLICT OF INTERESTS

Declared None

REFERENCES

  1. Wenling Qin, Sha Long, Mauro Panunzio, Stefano Biondi. Schiff bases: a short survey on an evergreen chemistry tool. Molecules 2013:18:12264-89.
  2. Anand P, Patil VM, Sharma VK, Khosa RL, Masand N. Schiff bases: a review on biological insights. Int J Drug Des Discovery 2012;3:851-68.
  3. Bhausaheb KM, Anil SK, Trimbak KC. Kinetics and mechanism of the formation of 5-Chlorosalicylidene-P-Toluidine. J Chem Biol Phys Sci 2014;4:70-7.
  4. Di Perri BG, Bonora S. Which agents should we use for the treatment of multidrug-resistant Mycobacterium tuberculosis? J Antimicrob Chemother 2004;54:593-602.
  5. Panneerselvam P, Nair RR, Vijayalakshmi G, Subramanian EH, Sridhar SK. Synthesis of Schiff bases of 4-(4-aminophenyl)-morpholine as potential antimicrobial agents. Eur J Med Chem 2005;40:225-9.
  6. Ahamad I, Prasad R, Quraishi MA. Thermodynamic, electrochemical and quantum chemical investigation of some Schiff bases as corrosion inhibitors for mild steel in hydrochloric acid solutions. Corros Sci 2010;52:933-42.
  7. Sriram D, Yogeeswari P, Myneedu NS, Saraswat V. Abacavir prodrugs: Microwave-assisted synthesis and their evaluation of anti-HIV activities. Bioorg Med Chem Lett 2006;16:2127-9.
  8. Cates AL, Rasheed. Phosphorus GABA analogues as potential prodrugs. Pharm Res 1984;6:271-4.
  9. Shi L, Ge HM, Tan SH, Li HQ, Song YC, Zhu HL, et al. Synthesis and antimicrobial activities of Schiff bases derived from 5-chloro-salicylaldehyde. Eur J Med Chem 2007;42:558-64.
  10. Latha KP, Vaidya VP, Keshavayya J. Synthesis, characterization and biologicalinvestigations on metal complexes of 2-acetyl naptha (2,1-b) furan semicarbazone. J Teach Res Chem 2004;11:39-48.
  11. Yang Z, Hui LW. Syntheses, crystal structures and antibacterial activities of azido-bridged cobalt(III) complexes with Schiff bases. Transition Met Chem 2010;35:745-9.
  12. Shahabadi N, Kashanian S, Darabi F. DNA binding and DNA cleavage studies of a water soluble cobalt(II) complex containing dinitrogen Schiff base ligand: The effect of metal on the mode of binding. Eur J Med Chem 2010;45:4239-45.
  13. Patel PR, Thaker BT, Zele S. Preparation and characterisation of some lanthanide complexes involving a heterocyclic β–diketone. Ind J Chem 1999;38A:563-6.
  14. Keating GM, Scott LJ. Moxifloxacin: a review of its use in the management of bacterial infections. Drugs 2004;64:2347-77.
  15. Koker EB, Bilski PJ, Motten AG, Zhao B, Chignell CF, He YY. Real-time visualization of photochemically induced fluorescence of 8-Halogenated quinolones: lomefloxacin, Clinafloxacin and bay 3118 in live human HaCaT Keratinocytes. Photochem Photobiol 2010;86:792-7.
  16. Zhao X, Wang JY, Xu C, Dong Y, Zhou J, Domagala J, et al. Killing of Staphylococcus aureus by C-8-Methoxy fluoroquinolones. Antimicrob Agents Chemother 1998;42:956-8.
  17. Katsuhiro K, Shohgo A, Youichi K, Makoto T, Isao H. Synthesis and antibacterial activity of novel pyridobenzoxazine analogues. Chem Pharm Bull 1998;46:1710-5.
  18. Katsuhiro K, Kenji N, Mayumi T, Norikazu M, Kenichi S, Makoto T. Antimycobacterial activities of novel levofloxacin analogues. Antimicrob Agents Chemother 2000;44:2126-9.
  19. O'Donnell JC, Peng L, O'Neill BT, Arnold EP, Mather RJ, Sands SB. et al. Synthesis and SAR studies of 1,4-diazabicyclo[3.2.2]nonane phenyl carbamates–subtype selective, high affinity α7 nicotinic acetylcholine receptor agonists. Bioorg Med Chem Lett 2009;19:4747-51.
  20. Rederic P, Yulin C, Sylvain C, Adrien Tak L, Philippe B. 6-Cycloamino-3-(pyridazin-4-yl)imidazo[1,2-b]-pyridazine and derivatives thereof preparation and therapeutic application there of US; 2013.
  21. McGuirk PR, Jefson MR, Mann DD, Elliot NC, Chang P, Cisek EP, et al. Synthesis and structure-activity relationships of 7-diazabicycloalkylquinolones, including danofloxacin, a new quinolone antibacterial agent for veterinary medicine. J Med Chem 1992;35:611-20.
  22. Deuther-Conrad W, Fisher S, Hiller A, Becker G, Cumming P, Xiong G. et al. Assessment of α7 nicotinic acetylcholine receptor availability in porcine brain with [18F]NS1074. Eur J Nucl Med Mol Imaging 2011;38:1541-9.
  23. Brust P, Peters D, Deuther-Conrad W. Development of radioligands for the imaging of α7 nicotinic acetylcholine receptors with positron emission tomography. Curr Drug Targets 2012;13:594-601.
  24. Swinnen D, Bombrun A. Octahydropyrrolo[2, 3, c]pyridine derivatives and pharmaceutical use there of EP1768979; 2010.
  25. Peters D, Olsen GM, Nielsen EO, Timmermann DB, Loechel SC, Christensen JK. et al. Novel 8,10-diaza-bicyclo[4.3.1]decane derivatives and their medical use; 2007.
  26. Ji J, Schrimpf MR, Sippy KB, Bunnelle WH, Li T, Anderson DJ, et al. Synthesis and structure−activity relationship studies of 3,6-Diazabicyclo[3.2.0]heptanes as Novel α4β2 nicotinic acetylcholine receptor selective agonists. J Med Chem 2007;50:5493-508.
  27. Sunderhaus JD, Dockendorff C, Martin SF. Synthesis of diverse heterocyclic scaffolds via tandem additions to imine derivatives and ring-forming reactions. Tetrahedron 2009;65:6454-69.
  28. Martini E, Di Cesare Mannelli L, Bartolucci G, Bertucci C, Dei S, Ghelardini C, et al. Synthesis and biological evaluation of 3,7-diazabicyclo[4.3.0]nonan-8-ones as potential nootropic and analgesic drugs. J Med Chem 2011;54:2512-61.
  29. Seeacher W, Schlappper C, Brun R, Kaiser M. Antiprotozoal activities of new bicyclo[2.2.2]octan-2-imines and esters of bicyclo[2.2.2]octan-2-ols. Eur J Pharm Sci 2005;24:281-9.
  30. Rajdan BK, Sharma AK, Kumari K, Bodla RB, Gupta BL, Patnik GK. Studies on aza bicyclosystems: Synthesis and spasmolytic activity of analogues of 9-methyl-3, 9-diaza bicyclo[4.2.1] nonane and 10-methyl-3, 10-diaza bicyclo [4.3.1] decane. Eur J Med Chem 1987;22:573-7.
  31. Nichterlein T, Kretschmar M, Budeanu C, Bauer J, Linss W, H H. Bay Y 3118, a new quinolone derivative, rapidly eradicates Listeria monocytogenes from infected mice and L929 cells. Antimicrob Agents Chemother 1994;38:1501-6.
  32. Silpak B, Ricardo GM, Mark GP, Daniel K, Edward BB. Comparative activity of pradofloxacin, enrofloxacin, and azithromycin against bartonella henselae isolates collected from cats and a human. J Clin Microbiol 2010;48:617-8.
  33. Thomas J, Burkhard M, Uwe P, Thomas P, Thomas S, Klaus DB, et al. Pyrido[1,2,3-d,e] [1,3,4]benzoxadiazine derivatives; 1996.
  34. Maxim AN, Nikolay YG, Sergiy MK, Andrey AT. An efficient synthesis of 1-Methyl-4,5,6,7-tetrahydro-1H-pyrrolo[2,3-c]pyridine and Its N6-Substituted analogues. Synthesis 2013;45:919-24.
  35. Kumar HV, Naik N. Synthesis and antioxidant properties of some novel 5H-dibenz[b,f]azepine derivatives in different in vitro model systems. Eur J Med Chem 2010;45:2-10.
  36. Kumar HV, Kumar CK, Naik N. Synthesis of novel 3-chloro-1-(5H-dibenz[b,f]azepine-5yl)propan-1-one derivatives with antioxidant activity. Med Chem Res 2011;20:101-8.
  37. Naik N, Kumar HV, Harini ST. Synthesis and antioxidant evaluation of novel indole-3-acetic acid analogues. Eur J Chem 2011;2:337-41.
  38. Harini ST, Kumar HV, Rangaswamy J, Naik N. Synthesis, antioxidant and antimicrobial activity of novel vanillin derived piperidin-4-one oxime esters: preponderant role of the phenyl ester substituents on the piperidin-4-one oxime core. Bioorg Med Chem Lett 2012;15:7588-92.
  39. Rangaswamy J, Vijay Kumar H, Harini ST, Naik N. Synthesis of benzofuran based 1,3,5-substituted pyrazole derivatives: As a new class of potent antioxidants and antimicrobials-A novel accost to amend biocompatibility. Bioorg Med Chem Lett 2012;24:4773-7.
  40. Ramakrishnan A, Bhawsar S, Narayana V. Improved process for the preparation of (s. s)-2.8-diazabicyclo[4.3.0]nonane; 2009.
  41. Kulisica T, Radonicb A, Katalinicc V, Milos M. Use of different methods for testing antioxidative activity of oregano essential oil. Food Chem 2004;85:633-40.
  42. Ramezan AA, Ali MT, Seyed MJH, Khadijeh M, Mahdi GZ, Jundishapur. A Method for antibiotic susceptibility testing: applicable and accurate. J Microbiol 2012;5:341-5.
  43. Aparadh VT, Naik VV, Karadge BA. Anti-oxidative properties (TPC, DPPH, FRAP, Metal chelating ability, reducing power and TAC), with in some Cleome species. Ann Bot (Roma) 2012;2:49-56.
  44. Ejidike IP, Ajibade AP. Synthesis, Characterization and biological studies of metal (II) Complexes of (3E)-3-[(2-{(E)-[1-(2,4-Dihydroxyphenyl) ethylidene] amino} ethyl) imino]-1-phenylbutan-1-one schiff base. Molecules 2015;20:9788-802.
  45. Khanna P, Saxena A, Khanna L, Bhagat S, C Jain SC. Synthesis of novel symmetrical and unsymmetrical bis-spiro[indole-indazolyl-thiazolidine]-2,4′-diones. ARKIVOC 2009;7:119-25.
  46. Shinde A, Zangade S, Chavan S, Vibhute Y. Microwave induced synthesis of bis-Schiff bases frompropane-1,3-diamine as promising antimicrobial analogs. Org Commun 2014;7:60-7.