
Delhi Institute of Pharmaceutical Sciences and Research (DIPSAR), Sector 3 Pushp Vihar, Mehrauli Badarpur Road, New Delhi 110017, India
Email: ravi.taurean@gmail.com
Received: 17 Jun 2015 Revised and Accepted: 17 Jul 2015
ABSTRACT
Objective: To develop rapid, accurate, reproducible, validated and economical difference spectroscopy method for the simultaneous determination of moxifloxacin (MFN) and cefixime (CEF) in tablet dosage forms.
Methods: The method comprised the measurement of the absorbance of a solution of the tablet extract in 0.1 M NaOH relative to that of an equimolar solution in 0.1 M HC1 at 254 nm for MFN and 292 nm for CEF. The presence of identical isosbestic points for pure drug solutions and tablet extracts indicated the non-interference of excipients in the absorption at these wavelengths.
Results: The method was found to be linear over the concentration range of 10-50 μg/ml for CEF and 4-20 μg/ml for MFN. Accuracy was found to be in the range of 99.91-101.18%. Relative standard deviation for precision and intermediate precision was found to be less than 2%. The developed method was successfully applied for the simultaneous estimation of Moxifloxacin and Cefixime in tablet formulation. The results obtained from the validation experiments prove that the developed method is suitable for routine analysis.
Conclusion: This method is simple, selective, linear, precise, and accurate and sensitive hence can be successfully employed for the routine quality control of dosage forms containing both the drugs in pharmaceutical industries.
Keywords: Moxifloxacin, Cefixime, Difference Spectrophotometry, Method validation.
INTRODUCTION
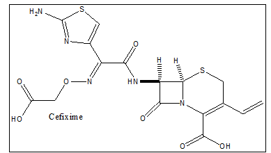
Cefixime Trihydrate [(6R,7R)-7-(2-(2-Amino-4-thiazolyl) glyoxyl-amido]-8-oxo-3-vinyl-5-thia-1-azabicyclo [4.2.0] oct-2-ene-2-carbo-xylic acid, 72-(Z)-[O-(carboxymethyl) oxime] trihydrate [fig. 1(a)] is semi synthetic, oral, third-generation cephalosporin antibiotic like ceftriaxone and cefotaxime [1]. It acts by inhibition of muco peptide synthesis in the bacterial cell wall [2].
Cefixime is active against a very wide spectrum of bacteria and is used in the treatment of otitis media, respiratory tract infection, and typhoid fever, complicated and uncomplicated Urinary Tract Infection [3-10]. It is official in United States Pharmacopoeia (USP) 2015 and British Pharmacopoeia (BP) 2015 [11].
Both the pharmacopoeia describes HPLC method of analysis for Cefixime trihydrate. HPLC method is also official in Indian Pharmacopoeia 2014[12] and Japan Pharmacopoeia 2014[13]. Literature reports many analytical methods for the determination of CEF in single and in combination with other drug, using UV spectroscopy [14-15] spectro fluorometry [16], HPLC [17-24] and HPTLC [25].
![]() |
![]() |
(a) |
(b) |
Fig. 1: Chemical structures of (a) Cefixime and (b) Moxifloxacin
Moxifloxacin (MFN), 1-cyclopropyl-7-[(1S,6S)-2,8-diazabicyclo [4.3.0] non-8-yl]-6 fluoro-8-methoxy-4-oxo-quinoline-3-carboxylic acid [fig.1(b)] is a synthetic fourth generation floro quinolone antibiotic[26]. The mechanism of action involve inhibition of an enzyme topoisomerase II (DNA gyrase), which is essential for bacterial DNA replication [27]. It is used in ocular infection (conjunctivitis), acute sinusitis, lower respiratory tract infections and urinary tract infection [28-32]. Moxifloxacin is official in BP 2010[33]. Several analytical methods have been reported for the determination of MFN in formulations and biological fluids, such as UV spectroscopic methods [34-35], Spectro fluorometry [36], RP-HPLC [37-41], and capillary electrophoresis [42-43].
The new combination of MFN and CEF is approved by the Central Drugs Standard Control Organization (CDSCO) India for the treatment of lower respiratory tract infections in adults [44].
Simultaneous determination of these drugs is essential in each step of initial formulation development and screening stage of any solid dosage form. This combination is not official in any of the pharmacopeia and no official method is available for the simultaneous estimation of Cefixime and Moxifloxacin in the combined dosage forms.
The objective of the current study is to develop a easy, rapid, accurate, reliable, reproducible, validated and economical Difference Spectroscopy Method for the simultaneous determination of CEF and MFN in tablet dosage forms.
MATERIALS AND METHODS
Apparatus
UV/Visible Spectrophotometer: SICAN-2301, Inkarp Instruments Pvt Ltd.
Analytical Balance: Sartorious BSA223S-CW
Magnetic Stirrer: REMI 1MLH, Remi Laboratories Limited.
Chemicals and reagents
Moxifloxacin: Gift sample from Covalent Laboratories Pvt. Ltd., Hyderabad.
Cefixime: Gift sample from Neuland Laboratories Ltd., Hyderabad.
Formulation of Moxifloxacin and Cefixime: Moxicip FC, Cipla Limited and Mahacef, Mankind Ltd.
Solvent: Methanol Analytical Grade, Merck.
Diluent: 0.1N Sodium Hydroxide, 0.1N Hydrochloric acid
Method development and optimization
Preparation of standard stock solution and construction of calibration curve
Preparation of Moxifloxacin standard stock solution and plotting overlay UV spectra
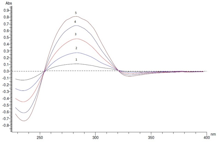
The stock solution of MFN was prepared by dissolving 50 mg of pure MFN in 50 ml of methanol. Appropriate aliquots of the stock solution were transferred into two different 25 ml volumetric flasks. The volume was made up with 0.1 N HC1 and 0.1 N NaOH to give a series of equimolar solutions of 25 ml each in 0.1 N HC1 and 0.1 N NaOH containing 4-20 µg/ml of MFN. The wavelength scan over a range 400-200 nm was taken and overlay spectra was plotted (fig. 2).
Fig. 2: Overlay UV Spectra of Moxifloxacin (4-20 μg/ml)
Preparation of Cefixime standard stock solution and plotting overlay of UV spectra
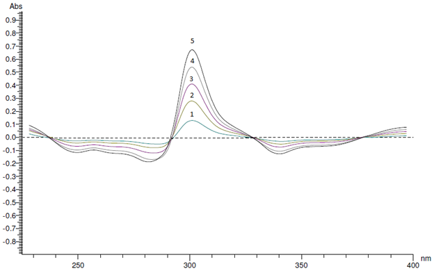
The stock solution of CEF was prepared by dissolving 50 mg of pure CEF in 50 ml of methanol. Appropriate aliquots were used as for MFN to prepare 25 ml series of equimolar solutions of CEF in 0.1 N HC1 and 0.1 N NaOH containing 10-50 µg/ml CEF. The wavelength scan over a range 400-200 nm were taken and overlay spectra was plotted (fig. 3).
Calibration curve for moxifloxacin and cefixime trihydrate and their synthetic mixtures
Similar to above, two series of equimolar solutions of mixtures of 25 ml MFN and CEF in 0.1 N HCI and 0.1N NaOH were also prepared using the stock solutions. The first series contained a constant concentration of CEF (20 µg/ml) and a varying concentration of MFN (4-20 µg/ml). The second series contained a constant concentration of MFN (20 µg/ml) and a varying concentration of CEF (10-50 µg/ml). The drugs were protected from light throughout the study and the absorbance of the solutions of pure MFN, CEF and their mixtures were taken between 30 and 90 min after preparation. All reagents used were of analytical grade.
Fig. 3: Overlay UV spectra of cefixime (10-50 μg/ml)
Estimation of moxifloxacin and cefixime in combined tablet dosage form
Twenty tablets were accurately weighed, well powdered and a weight of the powder equivalent to 100 mg of MFN (and 100 mg of CEF) was dissolved in 40 ml of methanol by thorough mixing and made up to volume in a 100 ml volumetric flask. The extract was filtered through a Whatman filter paper No. 41. The first and last 5 ml of the filtrate was discarded. The sample solutions of 25 ml of each in 0.1 N HC1 and 0.1 N NaOH were prepared using 0.5 ml aliquots of the filtrate using a micropipette (range 100-1000 µl) so as to obtain equimolar solutions containing approximately 20µg/ml of MFN and 20µg/ml of CEF. The absorbance difference (δA) between the acidic solution and equimolar 0.1 N NaOH solutions of pure drugs and samples were measured from 230 to 400 nm on a SICAN-2301 UV-visible double beam auto scan spectrophotometer by placing the 0.1 N NaOH solutions in the reference compartment and the acidic solutions in the sample compartment (fig. 4).
Fig. 4: Overlay spectra of cefixime (20 μg/ml) and Moxifloxacin (20μg/ml)
Selection of wavelength
The absorbance difference of the analytes at 254 and 292 nm was corrected for the absorbance difference, if any, of 0.1 N NaOH solution relative to 0.1 N HC1 at these wavelengths. The difference absorption spectrum of a solution of MFN in 0.1 N HCI solutions in the reference cell and an equimolar solution of MFN in 0.1 N NaOH solutions in the sample cell compartment showed a maximum value of δA at 301 nm and a minimum value of δA at 283.5 nm. An isosbestic point (a wavelength of zero δA due to equal absorptivities of the two species) occurred at 292 nm (fig. 4). The difference absorption spectrum of solutions of CEF showed maximum values of δA at 297 nm and a minimum value of δA at 268 nm. The isosbestic points of the CEF spectrum were obtained at 254 nm (fig. 4).
The wavelength of 254 nm was chosen for the estimation of MFN. For the wavelength of 254 nm, at which the δA value of the MFN difference spectrum was about 0.103 for a concentration of 20 μg/ml, the absorbance value of the CEF difference spectrum was about 0.241 at 292 nm for a concentration of 20 μg/ml. These concentrations were chosen on the basis of the proportions of MFN and CEF in commercial formulations. The proportionality of the δA value and concentration of MFN was found by measuring δA of the 5 pairs of solutions containing 4-20μg/ml of MFN at 254 nm. The linear regression equation calculated using the method of least squares was y = 0.0051x+0.0007 (1) with a correlation coefficient of r = 0.9994. The proportionality of δA and the concentration of CEF were found by measuring the δA values of solutions of CEF containing 10-50 μg/ml at 292 nm. The calculated linear regression equation was y = 0.0164x-0.0698 (2) with a correlation coefficient of r = 0.9994 (fig. 5 and table 1)
Method validation
The developed method was validated according to ICH Guidelines [45]. The following parameters were considered: specificity, linearity, limit of detection (LOD), limit of quantitation (LOQ), accuracy, and precision.
Specificity
To evaluate further the specificity of the method for samples containing MFN and CEF, two series each of 5 solutions (mentioned under standard preparation) were examined at the isosbestic wavelengths. The solutions of the first series gave a regression equation of y = 0.0053x+0.0017 (3) with a correlation coefficient of r= 0.9995at 254 nm, which was similar to that of Eq. (1), suggesting that the presence of CEF did not affect the absorptivity of MFN at 254 nm. The δA values of the second series of solutions gave a regression equation of y = 0.0166x-0.0709 (4) with a correlation coefficient of r = 0.9993 at 292 nm. Its similarity to Eq. (2) suggests no interference of the absorptivity of MFN with that of CEF at 292 nm. The identical isosbestic points of the two components in the standard and sample difference spectra confirmed the non-interference of the excipients in the measurement of the absorbance values at these wavelengths.
Linearity and range
Linearity is expressed in terms of correlation co-efficient of linear regression analysis. The linearity response was determined by analyzing 5 independent levels of calibration curve in the range of 4-20 μg/ml for Moxifloxacin and 10-50 μg/ml for Cefixime. Plot the calibration curve of absorbance v/s concentration and determine correlation coefficient and regression line equations for Moxifloxacin and Cefixime.
(a)
(b)
Fig. 5: Linearity graph for (a) Moxifloxacin (4-20 μg/ml) and (b) Cefixime (10-50 μg/ml)
Table 1: Data of optical characteristics
Parameters |
Observed Value |
||
Drugs |
|||
Moxifloxacin |
Cefixime |
||
Beer’s Law Limit (μg/ml) |
10-50 µg/ml |
4-20 µg/ml |
|
Correlation Coefficient (R2) |
0.9994 |
0.9994 |
|
Regression Equation (y=mx+c) |
y = 0.0051x+0.0007 |
y = 0.0164x-0.0698 |
|
Slope |
0.0051 |
0.0164 |
|
Intercept |
0.0007 |
-0.0698 |
|
Accuracy
Preparation of sample solution
Twenty tablets were powdered. Powder equivalent to 400 mg of Moxifloxacin and 400 mg of Cefixime was weighed and transferred into 400 ml of the volumetric flask. Then 80 ml of methanol was added and solution was sonicated for 20 minutes and diluted up to mark with Distilled Water. The solution was filtered using Whatman filter paper no.41 and first few drops of filtrate were discarded. Known amounts of standard solutions of MFN (4.8, 6, 7.2 μg/ml) and CEF (12, 15, 18μg/ml for CEF) were added to pre quantified sample solutions of MFN (6μg/ml) and CEF (15 μg/ml) of tablet dosage form. Absorbances of solutions were measured at selected wavelengths for MFN and CEF.
The amounts of MFN and CEF were estimated by applying obtained values (n = 6) to the regression equation of the calibration curve. The amount of MFN and CEF was calculated at each level and % recoveries were computed (table 2).
Table 2: Recovery studies
Accuracy (Recovery studies of moxifloxacin) |
SD + |
%RSD |
||||||
Drug (level of % recovery) |
Sample No |
Amount Present, B (µg/ml) |
Amount added, C (µg/ml) |
Amount found, A (µg/ml) |
Amount recovered (A-B) (µg/ml) |
% Recovered [(A-B)/C]*100 (µg/ml) |
||
Moxifloxacin (80%) |
1 |
6 |
4.8 |
10.89 |
4.89 |
101.88 |
1.20 |
1.19 |
2 |
6 |
4.8 |
10.79 |
4.79 |
99.79 |
|||
3 |
6 |
4.8 |
10.89 |
4.89 |
101.88 |
|||
Mean |
101.18 |
|||||||
Moxifloxacin (100%) |
1 |
6 |
6 |
12.11 |
6.11 |
101.83 |
1.93 |
1.93 |
2 |
6 |
6 |
12.02 |
6.02 |
100.33 |
|||
3 |
6 |
6 |
11.88 |
5.88 |
98.00 |
|||
Mean |
100.06 |
|||||||
Moxifloxacin (120%) |
1 |
6 |
7.2 |
13.11 |
7.11 |
98.75 |
1.18 |
1.18 |
2 |
6 |
7.2 |
13.28 |
7.28 |
101.11 |
|||
3 |
6 |
7.2 |
13.19 |
7.19 |
99.86 |
|||
Mean |
99.91 |
|||||||
Accuracy (Recovery studies of cefixime)
Drug (level of % recovery) |
Sample No |
Amount Present, B (µg/ml) |
Amount added, C (µg/ml) |
Amount found, A (µg/ml) |
Amount recovered (A-B) (µg/ml) |
% Recovered [(A-B)/C]*100 (µg/ml) |
SD |
%RSD |
Cefixime (80%) |
1 |
15 |
12 |
26.87 |
11.87 |
98.92 |
1.89 |
1.89 |
2 |
15 |
12 |
26.93 |
11.93 |
99.42 |
|||
3 |
15 |
12 |
27.29 |
12.29 |
102.42 |
|||
Mean |
100.25 |
|||||||
Cefixime (100%) |
1 |
15 |
15 |
29.87 |
14.87 |
99.13 |
1.21 |
1.21 |
2 |
15 |
15 |
30.21 |
15.21 |
101.40 |
|||
3 |
15 |
15 |
29.93 |
14.93 |
99.53 |
|||
Mean |
100.02 |
|||||||
Cefixime (120%) |
1 |
15 |
18 |
32.89 |
17.89 |
99.39 |
1.00 |
0.99 |
2 |
15 |
18 |
33.19 |
18.19 |
101.06 |
|||
3 |
15 |
18 |
33.21 |
18.21 |
101.17 |
|||
Mean |
100.54 |
Precision
Intraday (Repeatability)
Solutions containing 8, 12, 16 μg/ml MFN and 20, 30, 40μg/ml CEF in triplicates were analyzed thriceon the same day. The results were reported in terms of relative standard deviation (%RSD) (table 3).
Interday (Intermediate)
Solutions containing 8, 12, 16 μg/ml MFN and 20, 30, 40 μg/ml of CEF in triplicates were analyzed for 3 different days. The results were reported in terms of relative standard deviation (%RSD) (table 3).
Table 3: Precision studies
Intraday analysis of formulation |
SD |
%RSD |
||||
Drug |
Sampling Time |
Concentration (μg/ml) taken |
Concentration found (μg/ml) |
%age obtained |
||
9:00 AM |
8 |
8.07 |
100.85 |
0.13 |
1.54 |
|
Moxifloxacin |
1:00 AM |
12 |
12.00 |
100.03 |
0.19 |
1.61 |
5:00 PM |
16 |
16.05 |
100.3 |
0.15 |
0.96 |
|
9:00 AM |
20 |
20.07 |
100.36 |
0.18 |
0.87 |
|
Cefixime |
1:00 AM |
30 |
30.08 |
100.26 |
0.18 |
0.60 |
5:00 PM |
40 |
39.81 |
99.52 |
0.48 |
1.22 |
|
Interday analysis of formulation |
SD |
%RSD |
||||
Drug |
Sample No. |
Concentration (μg/ml) taken |
Concentration found (μg/ml) |
%age obtained |
||
Day 1 |
8 |
8.03 |
100.38 |
0.14 |
1.68 |
|
Moxifloxacin |
Day 2 |
12 |
12.03 |
100.27 |
0.15 |
1.28 |
Day 3 |
16 |
16.05 |
100.34 |
0.21 |
1.29 |
|
Day 1 |
20 |
20.07 |
100.36 |
0.17 |
0.84 |
|
Cefixime |
Day 2 |
30 |
30.08 |
100.25 |
0.17 |
0.58 |
Day 3 |
40 |
40.02 |
100.05 |
0.14 |
0.34 |
|
Limit of detection (LOD) and limit of quantitation (LOQ)
The LOD and LOQ of MFN and CEF by proposed methods were determined using calibration standards. LOD and LOQ were calculated as 3.3σ/S and 10σ/S respectively, where S is the slope of the calibration curve and σ is the standard deviation of response.
RESULTS
The solubility of Moxifloxacin and Cefixime was studied and distilled water was selected as a choice of solvent. Two drugs individually followed Beer-Lambert’s law over the concentration range of 10-50 μg/ml for CEF and 4-20 μg/ml for MFN. Coefficient of correlation for MFN and CEF were found to be 0.9994 and 0.9994 respectively. The values of correlation coefficient suggest the level of precision of the method. Drug content in tablet (amount present) was directly found from the above mentioned regression equations for both drugs. Standard deviations, and % RSD were calculated and are given in table 4. Percentage estimation in tablet dosage form was 101.07% and 101.06% (%RSD<2) for MFN and CEF respectively (table 4).
DISCUSSION
In the present study, the difference absorption spectra of MFN in 0.1 N NaOH vs. 0.1 N HCl showed zero crossing point at 292, 328 and 377 nm. The wavelength of 292 nm was chosen for measuring the absorbance of CEF, since the (δA) values of the CEF difference spectra at this point were more optimal and linear for accurate measurement of different concentrations of CEF.
Similarly, the difference absorption spectra of CEF in 0.1 N NaOH vs. 0.1 N HCl showed zero crossing point at 254 and 320 nm, but the absorbance of MFN was measured at the wavelength of 254 nm due to more linear (δA) values at this wavelength.
The method was validated according to International Conference on Harmonization guidelines for validation of analytical procedures. Linear regression equations (intercepts and slopes) for MFN and CEF were established. The values of slope, intercept and correlation coefficient values are given in table 1. LOD for TAZ and CEF were found to be 0.92 μg/ml and 0.98 μg/ml, respectively. LOQ for TAZ and CEF were found to be 2.79 μg/ml and 2.97 μg/ml, respectively. To study the validation parameters accuracy, reproducibility, reliability and interference, recovery experiment was carried out by standard addition. The recovery of added standard was calculated at different concentration levels. From the total amount of drug found, the percentage recovery was calculated which was between 98-102 % (RSD<2.0).
Table 4: Analysis of tablet formulation
Brand |
Drug |
Labeled Claim (mg/tab) |
Amount Found (mg/tab) |
%Purity |
SD |
%RSD |
Mahacef (Mankind) |
Moxifloxacin |
400 |
404.29 |
101.07 |
1.35 |
0.34 |
Cefixime |
400 |
404.23 |
101.06 |
0.74 |
0.18 |
|
Moxicip (Cipla) |
Moxifloxacin |
400 |
404.14 |
101.04 |
0.90 |
0.22 |
Cefixime |
400 |
403.92 |
100.98 |
0.68 |
0.17 |
CONCLUSION
The proposed method is simple, precise, and accurate for the simultaneous determination of Moxifloxacin and Cefixime in combined tablet dosage forms and this method may be successfully applied in quality control laboratories for their determination in combined dosage form.
ACKNOWLEGDEMENT
The Authors are thankful to the Neuland Laboratories Ltd., Hyderabad and Covalent Laboratories Pvt. Ltd., Hyderabad for providing gift samples of the drug samples for research. Also we are thankful to the Director, Delhi Institute of Pharmaceutical Sciences and Research for providing the infrastructure and to an University Grants Commission for providing the fund for the research work.
CONFLICT OF INTERESTS
Declared None
REFERENCES