aDepartment of Biochemistry, Davangere University, Davangere 577002, Karnataka, India, bDepartment of Chemistry, Karnatak University, Dharwad 580003, Karnataka, India
Email: muttagigopal@yahoo.co.in
Received: 19 Jun 2015 Revised and Accepted: 04 Aug 2015
ABSTRACT
Objective: The present study was aimed to evaluate the cytotoxicity and antioxidant properties of copper complexes of thiosemicarbazone (TSC-Cu) using different in vitro models.
Methods: In vitro MTT assay was carried out against the HL-60 cell line to check the cytotoxic potency of TSC-Cu. In vitro radical scavenging activity of TSC-Cu was evaluated by checking its role in scavenging DPPH, hydroxyl radical and lipid peroxidation.
Results: Among the test molecules studied, TSC-Cu with choride side chain (TSC-Cu-Cl) showed dose and time dependent increased cytotoxic activity on HL-60 cell line compared to TSC-Cu with hydroxyl side chain (TSC-Cu-OH). Further, TSC-Cu-Cl exhibited promising radical scavenging activities against hydroxyl radical, 2,2-diphenyl, 2-picryl hydrazyl (DPPH), and also effectively inhibited lipid peroxidation.
Conclusion: The results of the present investigation confirm that the TSC-Cu-Cl complex can be considered as a novel metal complex with potent anti-oxidant and cytotoxic ability.
Keywords: Thiosemicarbazone, Cytotoxicity, Antioxidant, Leukemia, Anticancer drug.
INTRODUCTION
Nowadays, oxidative stress is the major risk factor for several health complications. Free radicals are the normal byproduct of cellular metabolism that leads to oxidative stress, resulting in damage to nucleic acids, lipids and proteins, and is an underlying cause of various diseases in the human system, including cancer, cardiovascular diseases, inflammatory conditions, diabetic complications, Alzheimer’s disease and ageing [1-5].
Free radicals promote tumor growth by activating certain signal transduction pathways that induce the transcription of c-fos, c-jun and c-myc, the proto-oncogenes that stimulate tumor development [6, 7]. Excessive free radicals produced during cellular metabolism can attack the DNA backbone and bases, which causes mutation and in turn leads to cancer.
Reduction of these reactive species can be accomplished by the antioxidants which protect cells from oxidative damage [8]. A dynamic balance between free radicals and antioxidants is necessary for proper physiological function [9]. Plant based natural antioxidants may be incompetent in promoting complete protection from free radicals. Various synthetic antioxidants such as butylated hydxoxyanisole, butylated hydxoxytoluene, propyl gallate, tertiary butyl hydroquinone play a key role in scavenging of free radicals, and some of them have been shown to possess potent scavenging ability than the natural antioxidants [10].
Efforts are made to develop most potent anticancer agents which are able to address the problems like severe systemic toxicity and drug resistance. In these, metal complexes of pyruvic acid derivatives have attracted different streams of research group in particular for their unique coordination properties and their biological activity. In turn, their anticancer properties [11, 12] are explained by various mechanisms, including inhibition of ribonucleotide diphosphate reductase, breakage of DNA strands, and alteration of cell membrane functions [13-15].
Recently, we have reported the synthesis and antiproliferative activity of copper complexes of thiosemicarbazone against human cancer cell lines like colon adenocarcinoma (COLO-205) and chronic myelogenous leukemia (K-562) [16]. These molecules exerted a dose-dependent anticancer effect towards tested cell lines. Continuing our research on copper complexes of thiosemicarbazone with different side chains, in the present study, we aim to check the cytotoxicity and free radical scavenging activity of test molecules.
MATERIALS AND METHODS
Materials
Unless otherwise mentioned, all the chemicals and solvents were of analytical grade and obtained from Sigma-Aldrich (USA). Fetal bovine serum was obtained from Gibco (USA).
Preparation of working stock
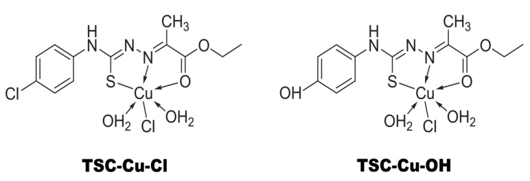
Solutions of copper metal complexes of thiosemicarbazone with-Cl (TSC-Cu-Cl) and-OH (TSC-Cu-OH) side chains (fig. 1) were freshly prepared by dissolving in DMSO to a concentration of 50 mmol/l. For anticancer studies, stocks were further diluted with RPMI-1640. The cells treated with DMSO (less than 0.01%) were used as control.

Fig. 1: Structure of TSC-Cu-Cl and TSC-Cu-OH
Cell lines and culture conditions
Human promyelocytic leukemia cell line (HL-60) was obtained from National Centre for Cell Science, Pune, India. The cell line was maintained by culturing in RPMI-1640 supplemented with 10% FCS, penicillin G (100 IU/ml) and streptomycin (100 μg/ml) at 37 °C in a humidified atmosphere containing 5% CO2.
In vitro cytotoxicity evaluation by MTT assay
MTT assay was carried out as described earlier [17, 18], with slight modification. Briefly, 5×104 cells/ml exponentially growing cells were cultured in standard culture conditions. After 24 h, cells were treated with TSC-Cu-Cl (1 to 20 μmol/l) and TSC-Cu-OH (10 to 250 μmol/l), and incubated for 24, 48 and 72 h. After respective incubation periods, MTT reagent (5 mg/ml) was added and incubated for 4 h. The formed formazan crystals were dissolved using 100 μL of DMSO, and the absorbance of each well was measured at a wavelength of 570 nm using a microplate reader (Bio-Rad, USA). A graph of the concentration versus percentage cell viability was plotted, and the IC50 values were calculated by using linear regression.
Trypan blue dye exclusion assay
Effect of TSC-Cu-Cl on the viability of HL-60 cells was assessed by trypan blue dye exclusion assay [19]. In brief, about 1×105cells/ml was cultured for 24 h and treated with different concentration (1, 5, 10 and 25 μmol/l) of TSC-Cu-Cl. Cells were collected at intervals of 24 h and resuspended in 0.4% trypan blue in PBS. The number of viable cells present was counted by using a haemocytometer under a microscope.
In vitro anti-oxidant and free radical scavenging evaluation
Determination of DPPH radical scavenging ability
The percentage of antioxidant activity of the TSC-Cu-Cl was assessed by performing the spectrophotometric method with minor modifications [20]. TSC-Cu-Cl dissolved in DMSO was added to a methanolic solution of DPPH (200 μmol/l), at varying concentrations (25-200 μmol/l). Ascorbic acid was used as a positive control. An equal amount of DMSO was added to the control. After 20 min of incubation in the dark at room temperature, the decrease in the absorbance of test compound was read at 517 nm using a spectrophotometer, and the percentage inhibition was calculated by using the formula:
![]()
Where control absorbance is the measurement of DPPH solution without compound and sample absorbance is the measurement of DPPH solution with compound. A linear curve was obtained by plotting percentage of radical scavenging activity versus concentrations of the compound. The concentration of compound needed for scavenging 50% DPPH Radical (IC50) was calculated by using linear curve in an XY scattered plot, and compared with ascorbic acid.
Hydroxyl radical scavenging activity
Hydroxyl radicals were generated during the Fenton reaction. The scavenging capacity of TSC-Cu-Cl towards the hydroxyl radicals was measured by adopting deoxyribose method with minor modifications [21]. One ml of the final reaction solution consisted of aliquots (500 µl) of various concentrations of the TSC-Cu-Cl, 1 mmol/l FeCl3, 1 mmol/l EDTA, 20 mmol/l H2O2, 1 mmol/l L-ascorbic acid, and 30 mmol/l deoxyribose in potassium phosphate buffer (pH 7.4). The reaction mixture was incubated for 1 h at 37 °C, and further heated in a boiling water bath for 15 min after addition of 1 ml of 2.8% (w/v) trichloroacetic acid and 1 ml of 1% (w/w) 2-thiobarbituric acid. The color development was measured at 532 nm against a blank containing phosphate buffer. The percentage of inhibition was expressed, according to the following equation: (%) = [A0 − (A1 − A2)]/A0 × 100, where: A0 is the absorbance of the control without a sample, A1 is the absorbance in the presence of the sample and deoxyribose and A2 is the absorbance of the sample without deoxyribose.
Lipid peroxidation assay
Anti-lipid peroxidation ability of TSC-Cu-Cl was analyzed by estimating the thiobarbituric acid reactive substances as per standard method with some minor modifications [22]. Different concentrations (25-200 μmol/l) of TSC-Cu-Cl were added to mice liver homogenate, peroxidation was activated by adding 100 µl of 15 mmol/l ferrous sulfate solution to 3 ml of the prepared liver homogenate, and left for 30 min. Further, 100 µl of this reaction mixture was taken to a tube containing 1.5 ml 10% TCA. Tubes were centrifuged after 10 min, the supernatant was separated, and mixed with 1.5 ml of 0.67% TBA in 50% acetic acid. The mixture was heated in boiling water bath for 30 min. The intensity of pink color complex formed was measured at 535 nm. Results were expressed as percentage inhibition of lipid peroxidation by the TSC-Cu-Cl and compared with standard ascorbic acid.
Statistical analysis
Data were analyzed using Microsoft Excel software. All experiments were performed in triplicates and the data were expressed as mean±standard deviation.
RESULTS
Cytotoxicity evaluation
MTT and trypan blue assay were performed to determine the possible role of copper complexes of TSC synthesized, as potent cytotoxic agents. Both the molecules were tested for their cytotoxicity on HL-60 cell line. Cells were treated for different time intervals with different concentrations of test compounds, and were subjected to MTT assay. Results showed that, both TSC-Cu-Cl and TSC-Cu-OH induced dose dependent cell death in malignant cell line used (fig. 2). But the cancer cells displayed different sensitivity towards both the molecules. TSC-Cu-Cl showed potent cytotoxicity than TSC-Cu-OH with IC50 of 1.32 μmol/l at 24 h (fig. 2A). While the TSC-Cu-OH did not show any significant cytotoxicity in malignant cells, with IC50 value more than 250 μmol/l (fig. 2B). Hence, we narrow downed our further studies to TSC-Cu-Cl, the most potent molecule among the two molecules studied.

Fig. 2: Evaluation of cytotoxicity of TSC-Cu-Cl (A) and TSC-Cu-OH (B) on HL-60 cell line by MTT assay
Number of viable HL-60 cells treated with 1, 5, 10 and 25 μmol/l TSC-Cu-Cl was counted after trypan blue staining, at intervals of 24 h till all the control cells attained stationary phase of growth. Results showed the dose and time dependent decreased viability of cells after treatment, supporting the MTT assay result (fig. 3). These results clearly depict the cytotoxic potency of test compounds.

Fig. 3: Trypan blue dye exclusion assay to evaluate cytotoxicity of TSC-Cu-Cl on HL-60 cell line
Radical scavenging activity
Determination of DPPH radical scavenging ability
In the present study, the free radical scavenging activity of TSC-Cu-Cl was studied in comparison with the well known antioxidant ascorbic acid. The radical scavenging ability of TSC-Cu-Cl at a varying concentration of 25-200 µg/l was checked by evaluating the change of absorbance formed by the reduction of DPPH. The results are expressed in percent inhibition ability of the test molecule to quench DPPH radical and the IC50 value was calculated (table 1). Results confirmed that, the TSC-Cu-Cl exhibited noticeable antioxidant effect sharply with increasing concentration (fig. 4). Interestingly, the DPPH radical scavenging ability of TSC-Cu-Cl is on par with the ascorbic acid (table 1) with inhibition of 19.23±0.54% at 25 µg/l, 35.25±0.45% at 50 µg/l, 43.23±0.58% 100 µg/l, 54.78±0.54 % at 150 µg/l, and 75.31±0.61% at 200 µg/l. The calculated IC50 value of TSC-Cu-Cl was 120.04 µg/l.

Fig. 4: DPPH radical scavenging assay of ascorbic acid and TSC-Cu-Cl at 25-200 µg/l concentrations showing percentage inhibition
Hydroxyl radical scavenging activity
Hydroxyl radical scavenging capacity of TSC-Cu-Cl was tested keeping ascorbic acid as positive control. The activity of TSC-Cu-Cl was measured by studying the competition between deoxyribose and the test molecule for hydroxyl radicals generated from the Fenton reaction. The concentration dependent inhibition of hydroxyl radical was observed upon TSC-Cu-Cl treatment (fig. 5). The ascorbic acid shows inhibition of 22.69±1.29% at 25 µg/l, 40.50±1.07 % at 50 µg/l, 53.59±1.52 % at 100 µg/l, 72.99±1.97 % at 150 µg/l, and 83.15±1.57 % at 200 µg/l concentrations, with the IC50 value of 91.34 µg/l. TSC-Cu-Cl also showed significant radical scavenging activity of 17.68±0.68 % at 25 µg/l, 33.84±0.26% at 50 µg/l, 49.1±0.54 % at 100 µg/l, 62.46±0.45% at 150 µg/l, and 73.16±0.34 % at 200 µg/l concentrations. The IC50 of the test molecule was 114.00 µg/l, which was comparable to control (table 1).

Fig. 5: Hydroxyl radical scavenging assay of ascorbic acid and TSC-Cu-Cl at 25-200 µg/l concentrations showing percentage inhibition
Lipid peroxidation inhibiting activity
The lipid peroxidation inhibition capacity of the TSC-Cu-Cl was evaluated by using standard antioxidant, ascorbic acid as a positive control. The concentration dependent inhibition of lipid peroxidation was observed after TSC-Cu-Cl treatment (fig. 6). Ascorbic acid showed lipid peroxidation inhibition activity of 18.15±1.32% at 25 µg/l, 36.35±1.07% at 50 µg/l, 45.57±1.52% at 100 µg/l, 66.21±1.97% at 150 µg/l, and 79.45±1.58% at 200 µg/l concentrations. The IC50 of ascorbic acid was 107.54 µg/l. TSC-Cu-Cl showed hopeful activity with the inhibition of 16.23±1.03% at 25 µg/l, 33.54±1.03% at 50 µg/l, 41.65±1.05% at 100 µg/l, 60.25±1.21% at 150 µg/l, and 68.34±0.45% at 200 µg/l concentrations. The IC50 was 126.02 µg/l, which is equivalent to the well known antioxidant, ascorbic acid (table 1).

Fig. 6: Lipid peroxidation inhibition assay of ascorbic acid and TSC-Cu-Cl at 25-200 µg/l concentrations showing percentage inhibition
Table 1: In vitro antioxidant activities (IC50) of TSC-Cu-Cl and Ascorbic acid
| S. No. | Sample | DPPH (µg/l) | Hydroxyl radical (µg/l) | Lipid peroxidation (µg/l) |
| 1 | Ascorbic acid | 91.32±1.02 | 91.34±1.14 | 107.54±1.08 |
| 2 | TSC-Cu-Cl | 120.04±1.11 | 114.00±0.98 | 126.02±1.04 |
DISCUSSION
Reactive oxygen species (ROS) are vital for various biological processes in every cell, as they act as second messengers in cell signaling pathways [23]. It is also well known that the cancer cells have higher levels of ROS compared to normal cells [24], which may be due to the oncogenic activation or blood supply deprival [25]. It has been reported that free radicals are involved in tumour promotion by directly inducing genomic instability [26] through oxidation, methylation of DNA, proteins and lipids. Any abberations from the slightly increased levels of ROS in cancer cells will lead to its death, as further increase from the optimum level or significant decrease in the ROS will negatively affect the cell survival. Therefore, ROS can be used as a potential route for killing cancer cells by using either pro-or anti-oxidants [25].
Platinum derivatives like cisplatin and carboplatin are good examples of metal complex with promising antitumour activity [27]. Many of the metal complexes are reported earlier to have potent anticancer and anti-oxidant activity [28-30]. The metal complexes of TSC are such interesting class of molecules with various biological activities such as DNA binding, antioxidant and anticancer activities. Earlier reports have shown that ruthenium and nickel complexes of TSC have significant antioxidant and antimalignant properties [31-33]. This led us to synthesize novel metal complexes of TSC, and to study their biological activity. Further, there is increasing need to develop new anticancer drugs with the radical scavenging ability, since many of the molecules in clinical use possess severe side effects and systemic toxicity [34]. Hence it is of vital interest to develop novel antioxidant molecules which can inhibit cancer cell proliferation. Therefore, in this paper, we are reporting the cytotoxicity and radical scavenging activities of new TSC-Cu-Cl molecule.
The MTT assay is a more rapid and highly precise method widely used to determine in vitro cytotoxic effects of drugs on the cell line. Viable metabolically active cells convert MTT into a purple colored formazan product [35]. Among two tested copper complexes of TSC, TSC-Cu-Cl showed significant time and dose dependent cytotoxic effect against the HL-60 cell line, with TSC-Cu-OH showing feeble activity. It was noticed from our earlier studies that ethyl pyruvate derived thiosemicarbazone ligand complexed with metal ions has a synergistic effect on the antitumor activity compared to ligand alone (results not shown). Thus the increased activity depends on the type of side chain and ligand attached. As the membrane integrity of the cells plays crucial role in the viability, we further confirmed the cytotoxicity of TSC-Cu-Cl by performing trypan blue assay. Trypan blue dye exclusion assay is based on the principle of viability of cells [36]. TSC-Cu-Cl inhibited the viability of the cells in the concentration and dose dependent manner. This confirms significant cytotoxic properties of TSC-Cu-Cl.
We used three assays to evaluate the radical scavenging activity of test molecule. DPPH free radical scavenging assay was used as a model system [20] to analyze the radical scavenging activity of TSC-Cu-Cl. Test molecule exhibited dose and time dependent significant activity by quenching stable DPPH free radical, with promising IC50 value which was comparable to standard ascorbic acid. Further, since hydroxyl radical is the most dangerous radical generated during normal metabolic processes of the body, which can later induce oxidative damage to DNA, lipids and proteins [37], the hydroxyl radical scavenging ability of the TSC-Cu-Cl was evaluated. Our molecule showed concentration dependent activity in scavenging the hydroxyl radical, upon competing with deoxyribose and diminishing chromogen formation [38].
Lipid peroxidation contains a series of free radical-mediated chain reaction process and is also associated with several types of biological damage to the membrane. It is believed that lipid peroxidation is one of the causes of the occurrence of cancer [39, 40]. Initiation of lipid peroxidation by ferrous sulfate takes place through hydroxyl radical by Fenton’s reaction [41]. At given different concentrations, TSC-Cu-Cl exerted dose dependent lipid peroxidation inhibition activity with the values comparable to the well known antioxidant, ascorbic acid. By all these studies, it is observed that, our TSC-Cu-Cl can be together used as both antioxidant and cytotoxic agent. Further studies are required to elucidate the molecular mechanistic action of this molecule in the induction of cell death.
CONCLUSION
In this investigation, two copper complexes of TSC were tested for their in vitro cytotoxicity. Among two tested molecules, TSC-Cu-Cl showed potent, time and concentration dependent cytotoxicity, which was significantly higher compared to TSC-Cu-OH. The IC50 value of TSC-Cu-Cl was comparable with well known anticancer drugs. Further, antioxidant properties of TSC-Cu-Cl was tested by DPPH assay, hydroxyl radical scavenging assay and lipid peroxidation assay. The result confirmed that TSC-Cu-Cl possesses significant radical scavenging activity which is equivalent to that of ascorbic acid. These results depict that the selection of side chain along with the metal ion, has an impact on biological activity of the molecule. In future, possible mode of cell death induced by TSC-Cu-Cl should be addressed.
ACKNOWLEDGEMENT
The authors express sincere gratitude to Dr. Nagarathna P. K. M. and members of GMA lab for their support.
CONFLICT OF INTERESTS
The authors have declared no conflict of interest
REFERENCES