Department of Chemistry, Faculty of Science, University of Aleppo, Syria
Email: dramadan@scs-net.org
Received: 21 May 2015 Revised and Accepted: 28 Jul 2015
ABSTRACT
Objective: A simple, sensitive and specific spectrophotometric method was developed for the determination of atorvastatin calcium (ATCa) in pure and its pharmaceutical formulations using iodine in acetonitrile.
Methods: The method is based on the oxidation of atorvastatin calcium by iodine and formation triiodide (I3−) complex.
Results: The formed complex was measured at 291 and 360 nm against the reagent blank prepared in the same manner. The optimum experimental parameters are selected. Beer’s law is valid within a concentration range of 0.5586-11.173 μg/ml. The relative standard deviation did not exceed 3.0% and regression analysis showed a good correlation coefficient (R2= 0.9995). The limit of detection (LOD) and the limit of quantification (LOQ) were to be 0.056 and 0.17 μg/ml, respectively.
Conclusion: The developed method is applied for the determination of atorvastatin in pure and its commercial tablets without any interference from excipients (at lmax =291 & 360 nm), ezetimibe (EZE), fenofibrate (FEN) and aspirin (ASP) at lmax =360 nm with average recovery of 99.45 to 102.4%. The results obtained agree well with the contents stated on the labels.
Keywords: Spectrophotometric method, Atorvastatin calcium (ATCa), Iodine, Triiodide complex.
INTRODUCTION
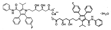
Atorvastatin calcium is a calcium (bR, dR)-2-(r-fluorophenyl)-b, ddihydroxy-5-isopropyl-3-phenyl-4-(phenylcarbamoyl) pyrrole-1-hepatanoicacid (1:2) trihydrate. The empirical formula of atorvastatin calcium trihydrate is C66H68CaF2N4O10.3H2O or (C33H34FN2O5)2Ca.3H2O, mol. mass 1209.4 g; where the empirical formula of atorvastatin is C33H35FN2O5, mol. mass 558.64 g (Scheme1) [1]. Atorvastatin calcium is a white to off-white crystalline powder that is insoluble in aqueous solutions of pH 4 and below. Atorvastatin calcium is very slightly soluble in distilled water, pH 7.4 phosphate buffer and acetonitrile; slightly soluble in ethanol; and freely soluble in methanol. Atorvastatin is a member of the drug class known as statins, used for lowering blood cholesterol. It also stabilizes plaque and prevents strokes through anti-inflammatory and other mechanisms [2, 3]. Several studies have been reported for the determination of atorvastatin in pure form, in pharmaceutical formations and in biological fluids including spectrophotometric methods [2, 4-36], chromatographic methods with different detectors [37-39] and electrochemical methods analysis [40-49].
Spectrophotometric determination of rosuvastatin calcium through oxidation it by iodine and formation I3− complex in acetonitrile was studied. It was found that only one molecule of rosuvastatin, from two molecules of RSV in (RSV)2 Ca, ionized and oxidized by iodine [36].
In chemistry, triiodide usually refers to the triiodide ion, I3− (Scheme2). This anion, one of the polyhalogen ions, is composed of three iodine atoms. It is formed by combining non-aqueous and aqueous solutions of iodide salts and iodine according to the following equation [50-57]:
I–+I2 → I3– ……………………………………………………………….. (1)
|
|
Atorvastatin C33H35FN2O5, AT |
Atorvastatin calcium(C33H34FN2O5)2Ca.3H2O, ATCa |
Scheme 1: Chemical structure of atorvastatin and atorvastatin calcium
Scheme 2: Chemical structure of triiodide, I3-
Many pharmaceutical preparations of AT contain another drug as ezetimibe (EZE), fenofibrate (FEN) and Aspirin (ASP) in the combined dosage forms. In the present work, we developed (for the first time) a specific spectrophotometric method allows determination of atorvastatin calcium in the presence of some other drugs as EZE, FEN and ASP by oxidizing it with iodine and formation I3–complex in acetonitrile.
MATERIALS AND METHODS
Instruments and apparatus
Spectrophotometric measurements were made in PG Instruments Ltd model UV-Visible spectrometer T90+with 0.5 cm quartz cells. An ultrasonic processor model POWERSONIC 405 was used to sonicate the sample solutions. The solution was kept in a thermostat at 35oC. The diluter pipette model DIP-1 (Shimadzu), having 100 μl sample syringe and five continuously adjustable pipettes covering a volume range from 20 to 5000 μl (model PIPTMAN P, GILSON). A centrifuge (Centurion Scientific Ltd., Model: K2080-Manufactured in the United Kingdom) was used for preparation of the experimental solutions.
Reagents
Atorvastatin Calcium trihydrate was supplied by ind-swift (India), its purity as atorvastatin was 92.0%. Iodine (purity 99.8%) of analytical grade, acetonetrile for HPLC and methanol extra pure was from MERCK. All solvents and reagents were analytical grade chemicals.
A stock standard solution of iodine (1x10-2 mol/l)
Dissolving 63.58 mg of iodine with acetonitrile into volumetric flask (25 ml) and diluting to mark by acetonitrile.
A stock standard solution of atorvastatin calcium (1x10-4 mol/l)
This solution was prepared by dissolving 32.86 mg from atorvastatin calcium trihydrate in 1 ml methanol and diluting to 50 ml with acetonitrile, 1x10-3 mol/l of atorvastatin (a), then diluting 5.000 ml from this solution to 50 ml with acetonitrile, 1x10-4 mol/l of atorvastatin (b). The stock solutions were further diluted to obtain working solutions daily just before the use in the ranges of atorvastatin: 1, 2, 4, 6, 8, 10, 12, 16, and 20 μmol/l (0.5586, 1.117, 2.234, 3.352, 4.469, 5.586, 6.704, 8.9386 and 11.173 μg/ml) by transferring the volumes: 0.1, 0.2, 0.4, 0.6, 0.8, 1.0, 1.2, 1.6 and 2.0 ml from stock standard solution (b) into volumetric flask (10 ml), then adding 0.5 ml from stock standard solution of iodine and diluting to 10 ml with acetonitrile.
Sample preparation
A commercial formulation (as tablet) was used for the analysis of atorvastatin. The pharmaceutical formulations subjected to the analytical procedures:
(1) Ezerva tablets, Barakat pharmaceutical industries, Aleppo-Syria, each tablet contains: 10 mg of atorvastatin (AT) and 10 mg of ezetimibe (EZE).
(2) Normostat tablets, Barakat pharmaceutical industries, Aleppo-Syria, each tablet contains: 20 mg of AT.
(3) Atorvatin tablets, Alpha, Aleppo pharmaceutical industries, Aleppo-Syria, each tablet contains: 10, 20 and 40 mg of AT.
4) Fibator tablets, Sun Pharma, India, each tablet contains: 5 and 145 mg of AT and fenofibrate (FEN), respectively.
Stock solutions of pharmaceutical formulations
20 tablets of each studied pharmaceutical formulation were weighted accurately, crushed to a fine powder and mixed well. A quantity of the powder equivalent to tenth of the weight of one tablet, was solved in 1 ml methanol by using ultrasonic, 10 ml of acetonitrile was added, filtered over a 50 ml flask and washed by the same solvent, then diluted to 50 ml with acetonitrile. This solution contains the follows: 20, 40 and 80 μg/ml for all studied pharmaceutical formulations contain 10, 20 and 40 mg/tab, respectively.
Working solutions of pharmaceuticals
These solutions were prepared daily by diluting 1.00, 0.50 and 0.25 ml from stock solutions of pharmaceutical formulations, respectively, then adding 0.5 ml from stock standard solution of iodine and adjusting the volume to 10 ml with acetonitrile (each solution contains 2 μg/ml of atorvastatin).
Working standard addition solutions of pharmaceuticals
These solutions were prepared as the follows: same mentioned volumes of stock solutions of pharmaceuticals were taken with 0.40, 0.80, 1.20 and 1.60 ml from stock solution (b) of atorvastatin and then 0.5 ml from stock standard solution of iodine was added and diluted to 10 ml with acetonitrile. These solutions contain 2.000 μg/ml of atorvastatin (from different pharmaceuticals) plus 2.2346, 4.469, 6.7037 and 8.938 μg/ml of standard atorvastatin, respectively.
Procedure
A 10 ml volume of a solution containing an appropriate concentration of atorvastatin (or working solutions of pharmaceuticals or working standard addition solutions of pharma-ceuticals) with appropriate amount of iodine in acetonitrile was kept at temperature 35±5 °C for 20 min at lmax,1= 291 nm and at lmax,2= 360 nm was ready for spectrophotometric measurement.
Results and discussion
The different experimental parameters affecting on the spectrophotometric determination of atorvastatin calcium through oxidation it by iodine and formation I3− complex in acetonitrile were extensively studied in order to determine the optimal conditions for the determination of AT.
Spectrophotometric results
UV-Vis spectra of ATCa, Iodine, I3–complex (resulting from the oxidation of ATCa by iodine), ezetimibe (EZE), fenofibrate (FEN) and aspirin (ASP) solutions in acetonitrile were studied. The ATCa, EZE, FEN and ASP solutions do not absorb in range 340-600 nm, the values of lmax for them were 246, 220, 287 and 226 nm, and of molar absorptivity (e) were 2.33x104, 2.75x104, 2.58x104 and 0.75x104 L. mol-1. cm-1, respectively. The iodine solutions absorb at lmax 456 nm (e=830 L. mol-1. cm-1), while complex solutions of I3–have absorption at lmax,1 = 291 nm and lmax,2=360 nm (e291=4.645x104 L. mol-1. cm-1 and e360=2.23x104 L. mol-1. cm-1). See fig. 1.
Spectrophotometric results
UV-Vis spectra of ATCa, Iodine, I3–complex (resulting from the oxidation of ATCa by iodine), ezetimibe (EZE), fenofibrate (FEN) and aspirin (ASP) solutions in acetonitrile were studied. The ATCa, EZE, FEN and ASP solutions do not absorb in range 340-600 nm, the values of lmax for them were 246, 220, 287 and 226 nm, and of molar absorptivity (e) were 2.33x104, 2.75x104, 2.58x104 and 0.75x104 L. mol-1. cm-1, respectively. The iodine solutions absorb at lmax 456 nm (e=830 L. mol-1. cm-1), while complex solutions of I3–have absorption at lmax,1 = 291 nm and lmax,2=360 nm (e291=4.645x104 L. mol-1. cm-1 and e360=2.23x104 L. mol-1. cm-1). See fig. 1.

Fig. 1: UV-Vis spectra in acetonitrile of: 1-2.0x10-5 mol/l of AT; 2-5x10-4 mol/l of I2; 3,4-2.0x10-5 mol/l of AT with 5x10-4 mol/l of I2 (where the complex I3–is formed); 5-7: 2.0x10-5 mol/l of EZE, FEN and ASP, respectively. { blank is acetonitrile (1-3 & 5-7) and iodine solution 5x10-4 mol/l (4), ℓ =0.5 cm}
The effect of temperature and time
The effect of temperature and time on the studied spectrophotometric method of AT was studied at different values 20-40 oC and 5-60 min. It was found that the value of the absorbance (A) was not affected by temperature between 30 to 40oC (the temperature 35±5 °C was used). The effect of waiting time was determined at temperature (35 °C). It was found that the value of (A) was not affected by time between 18 to 30 min (the waiting time 20 min was used). The optimum parameters established for determination of AT are shown in table 1.
Table 1: The optimum parameters established for spectrophotometric determination of AT through oxidation ATCa by iodine and formation I3− complex in pure and pharmaceutical dosage forms in acetonitrile
parameters |
Operating modes |
Waiting time |
20 min |
Temperature of solution |
35±5 °C |
CI2:CAT, M |
≥10 |
Solvent |
Acetonitrile |
lmax,1 of complex |
291 nm |
lmax,2 of complex I3− |
360 nm |
lmax of atorvastatin |
246 nm |
Molar absorptivity of complex I3− (e1) |
4.645x104 L. mol-1. cm-1 |
Molar absorptivity of complex I3− (e2) |
2.23x104 L. mol-1. cm-1 |
Molar absorptivity of AT (eAT) |
2.33x104 L. mol-1. cm-1 |
Working lmax,1 |
291 nm |
Working lmax,2 |
360 nm |
ℓ |
0.5 cm |
Spectra range |
200–600 nm |
Working CI2, mol/l |
5x10-4 |
Beer’s Law Limit, μg/ml |
0.5586–11.173 |
LOD(3.3SD), μg/ml |
0.056 |
LOQ (10SD), μg/ml |
0.17 |
Regression equation at lmax,1=291 nm: |
|
Slope |
0.0837 |
Intercept |
0.0024 |
Correlation coefficient (R2) |
0.9995 |
Regression equation at lmax,2=360 nm: |
|
Slope |
0.0390 |
Intercept |
0.0018 |
Correlation coefficient (R2) |
0.9992 |
RSD% at lmax,1=291 nm |
3.0 |
RSD% at lmax,2=360 nm |
3.4 |
The effect of iodine concentration
The effect of iodine concentration on the absorbance of formed I3–through oxidation atorvastatin calcium by iodine was studied. It was found that the absorbance increased with increasing the ratio of CI2:CAT from 1:1 to 5:1 then stayed constant (the ratio CI2: CAT≥10 was used, see table 1).
i-The first step

(2)
ii-The second step:
4I-+4I2 → 4I3- (3)
iii-The proceeds equation:
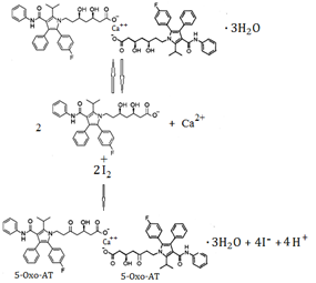
[AT]2Ca+6I2 → [5-Oxo-AT]2 Ca+4I3-+4H+(4)
Scheme 2: Mechanism of oxidation atorvastatin calcium by iodine and formation I3− complex
Mechanism of oxidation atorvastatin calcium by iodine in acetonitrile
We suggest that the mechanism of oxidation atorvastatin calcium by iodine and formation I3− complex in acetonitrile may take place according to the equations (Scheme 2), as the follows:
Calibration curves
The calibration curves for atorvastatin in pure form through oxidation ATCa by iodine and formation I3− complex showed excellent linearity over the concentration range of 1x10-6 to 2.0x10-5 mol/l (0.5586-11.173 μg/ml), see fig. 2 and 3. The spectra characteristics of determination of ATCa solutions such as the molar absorptivity (e), lmax, Beer's law, regression equations which are at lmax,1=291 nm y=0.0837x+0.0024 and at lmax,2=360 nm y=0.0390x+0.0018; where y=absorbance, x=concentration of AT in μg/ml and the correlation coefficient are summarized in table 1.
Analytical results
Spectrophotometric determination of AT through oxidation atorvastatin calcium by iodine and formation I3− complex within optimal conditions using calibration curve was applied. The results, which are summarized in table 2, showed that the determined concentration of AT was rectilinear over the range of 0.5586 to 11.173 μg/ml with relative standard deviation (RSD) was not more than 3.0%.
The limit of detection (LOD) and limit of quantification (LOQ) were found to be 0.056 μg/ml and 0.17 μg/ml, respectively. The proposed method was validated statistically and through recovery studies. The method was successfully applied for the determination of AT in pure form. The results obtained from the proposed method have been compared with the official RP-HPLC method [37] and good agreement was found between them.
Repeatability
The repeatability of the method was evaluated by performing 10 repeat measurements for 8.936 μg/ml of AT using studied spectrophotometric method under the optimum conditions. The amount of AT was found to be 8.872±0.26 mg/ml and the percentage recovery was found to be 98.79±2.4 with RSD of 0.026. These values indicate that the proposed method has high repeatability and precision for AT analysis.

Fig. 2: UV-Vis spectra of 5x10-4 mol/l iodine with AT at concentrations as the follows: 1-0.0, 2-1.0x10-6; 3-2.0x10-6; 4-4.0x10-6; 5-6.0x10-6; 6-8.0x10-6; 7-1.00x10-5; 8-1.20x10-5; 9-1.60x10-5and 10-2.00x10-5 mol/l in acetonitrile { Blank: (a) acetonitrile and (b) iodine solution 5x10-4 mol/l, ℓ =0.5 cm}

Fig. 3: Calibration curve for determination of AT through oxidation ATCa by I2 and formation I3− complex according to optimal conditions at lmax: 1-291 nm and 2-360 nm (Blank is iodine solution 5x10-4 mol/l, ℓ = 0.5 cm)
Table 2: Spectrophotometric determination of AT through oxidation atorvastatin calcium by iodine and formation I3− complex within optimal conditions using calibration curve in acetonitrile
RP-HPLC [37] |
RSD % |
μg/ml |
μg/ml |
SD, μg/ml |
* μg/ml (found) |
lmax, nm |
Xi, μg/ml (taken) |
0.557 |
3.0 |
0.569±0.021 |
0.0076 |
0.017 |
0.569 |
291 |
0.5586 |
|
3.4 |
0.55±0.023 |
0.0084 |
0.019 |
0.550 |
360 |
|
1.115 |
3.0 |
1.12±0.042 |
0.015 |
0.034 |
1.120 |
291 |
1.117 |
|
3.4 |
1.168±0.049 |
0.018 |
0.040 |
1.168 |
360 |
|
2.240 |
2.9 |
2.182±0.079 |
0.028 |
0.063 |
2.182 |
291 |
2.234 |
|
3.4 |
2.271±0.099 |
0.035 |
0.077 |
2.271 |
360 |
|
3.362 |
2.8 |
3.376±0.12 |
0.042 |
0.094 |
3.376 |
291 |
3.352 |
|
3.4 |
3.265±0.14 |
0.050 |
0.11 |
3.265 |
360 |
|
4.436 |
2.8 |
4.332±0.15 |
0.054 |
0.12 |
4.332 |
291 |
4.468 |
|
3.4 |
4.369±0.18 |
0.066 |
0.15 |
4.369 |
360 |
|
5.585 |
2.7 |
5.706±0.19 |
0.069 |
0.15 |
5.706 |
291 |
5.586 |
|
3.3 |
5.693±0.23 |
0.084 |
0.19 |
5.693 |
360 |
|
6.700 |
2.6 |
6.662±0.21 |
0.077 |
0.17 |
6.662 |
291 |
6.704 |
|
3.2 |
6.797±0.27 |
0.097 |
0.22 |
6.797 |
360 |
|
8.901 |
2.4 |
8.872±0.26 |
0.095 |
0.21 |
8.872 |
291 |
8.936 |
|
3.0 |
8.784±0.33 |
0.12 |
0.26 |
8.784 |
360 |
|
11.198 |
2.2 |
11.262±0.31 |
0.11 |
0.25 |
11.262 |
291 |
11.173 |
|
2.8 |
11.256±0.39 |
0.14 |
0.31 |
11.256 |
360 |
|
APPLICATION
Many applications for the determination of atorvastatin calcium in some pharmaceutical preparations (which contain ATCa only or ATCa with EZE or FEN or ASP) using spectrophotometric method (at lmax,1 = 291 nm and lmax,2 = 360 nm) through oxidizing it by iodine and formation I3–complex in acetonitrile according to the optimal conditions were performed. Regression equations and correlation coefficients were included in table 3. Standard additional curves for determination of atorvastatin calcium in different pharmaceutical preparations were used. The standard addition curves of Atorvatin, tablets (Alpha 10 mg/tab.) and Ezerva, tablets (Barakat 10 mg/tab. of AT and 10 mg/tab. of EZE) were shown in fig. 4, as an example.
The amount (m) of atorvastatin calcium in one tablet was calculated from the following relationship: m = h. m', where: m' is the amount of AT in tablet calculated according to the following regression equation: y=a.x+b; when y=0; m'=x=b/a=intercept/slope (μg/ml), h conversion factor is equal to 5, 10 and 20 for 10, 20 and 40 mg/tab of AT. The results of quantitative analysis for AT in some pharmaceutical preparations calculated using the standard additions method were summarized in table 4. Many pharmaceutical preparations of AT contain another drug as EZE, FEN and ASP in combined dosage forms. It was found that lmax,1 could be used if preparation contains only AT, where lmax,2 should be used for preparations contain EZE or FEN or ASP with AT. The proposed method was simple, economic, specific and successfully applied to the determination of AT in pharmaceuticals (at lmax,2 = 360 nm) without any interference. Average recovery was 99.45 to 102.4%. The results obtained by this method agree well with the contents stated on the labels and were validated by RP-HPLC [37].
Table 3: Regression equations and correlation coefficients for determination of AT (individually or with EZE or FEN) in some pharmaceutical preparations using developed spectrophotometric method in acetonitrile at lmax291 nm and 360 nm
Commercial name |
Contents, mg/tab. |
lmax, nm |
m'(AT), μg/ml |
Regression equations* |
Correlation coefficients |
Amount of AT (m), mg/tab. |
||
AT |
EZE |
FEN |
||||||
Ezerva |
10 |
10 |
- |
291 |
2.357 |
y=0.0846x+0.1994 |
R2=0.9993 |
mAT/tab.=5m'=11.78 |
|
|
|
360 |
2.047 |
y=0.0400x+0.0819 |
R2=0.9991 |
mAT/tab.=5m'=10.24 |
|
Normostat |
20 |
- |
- |
291 |
2.043 |
y=0.0832x+0.1700 |
R2=0.9994 |
mAT/tab.=10m'=20.43 |
|
|
|
360 |
2.033 |
y=0.0394x+0.0801 |
R2=0.9994 |
mAT/tab.=10m'=20.33 |
|
Atorvatin |
10 |
- |
- |
291 |
1.991 |
y=0.0839x+0.1670 |
R2=0.9994 |
mAT/tab.=5m'=9.955 |
|
|
|
360 |
1.989 |
y=0.0397x+0.0790 |
R2=0.9986 |
mAT/tab.=5m'=9.945 |
|
20 |
- |
- |
291 |
2.045 |
y=0.0834x+0.1705 |
R2=0.9994 |
mAT/tab.=10m'=20.45 |
|
|
|
|
360 |
2.020 |
y=0.0389x+0.0786 |
R2=0.9994 |
mAT/tab.=10m'=20.20 |
|
40 |
- |
- |
291 |
2.012 |
y=0.0838x+0.1686 |
R2=0.9994 |
mAT/tab.=20m'=40.24 |
|
|
|
|
|
360 |
2.006 |
y=0.0391x+0.0784 |
R2=0.9994 |
mAT/tab.=20m'=40.12 |
Fibator |
5 |
- |
145 |
291 |
Not determined |
|||
|
|
|
|
360 |
2.035 |
Y=0.0396x+0.0806 |
R2=0.9982 |
mAT/tab.=2.5m'=5.09 |
*y= n A, x= concentration of atorvastatin (mg/ml)= m' = intercept/slope.
Table 4: Determination of AT in some pharmaceutical preparations using spectrophotometric method through oxidation atorvastatin calcium by iodine and formation I3− complex in acetonitrile lmax291 nm and 360 nm
Commercial name |
Contents, mg/tab. |
lmax, nm |
* mg/tab. |
RSD%
|
Recovery % |
RP-HPLC [37] |
|||
AT |
EZE |
FEN |
|
RSD% |
|||||
Ezerva |
10 |
10 |
- |
291 |
11.78 |
3.6 |
117.8 |
10.20 |
2.1 |
|
|
|
|
360 |
10.24 |
3.7 |
102.4 |
|
|
Normostat |
20 |
- |
- |
291 |
20.43 |
3.6 |
102.2 |
20.41 |
1.8 |
|
|
|
360 |
20.33 |
3.7 |
101.7 |
|
||
Atorvatin |
10 |
- |
- |
291 |
9.955 |
3.6 |
99.55 |
9.940 |
2.0 |
|
|
|
360 |
9.945 |
3.7 |
99.45 |
|
||
20 |
- |
- |
291 |
20.45 |
3.5 |
102.3 |
20.21 |
1.8 |
|
|
|
|
360 |
20.20 |
3.6 |
101.0 |
|
||
40 |
- |
- |
291 |
40.24 |
3.4 |
100.6 |
40.00 |
1.7 |
|
|
|
|
|
360 |
40.12 |
3.5 |
100.3 |
|
|
Fibator |
5 |
- |
145 |
291 |
Not determined |
5.10 |
2.2 |
||
|
|
|
|
360 |
5.09 |
3.9 |
101.8 |
|
|
* n=5
Fig. 4: The standard addition curve for determination of AT in Atorvatin, Alpha 10 mg/tab. AT only(1 and 2) and in Ezerva, Ctd. tab., Barakat, 10 mg/tab. AT and 10 mg/tab. EZE (3 and 4) using developed spectrophotometric method in acetonitrile at lmax=291 nm (1 & 3) and 360 nm (2 & 4), ℓ = 0.5 cm
Conclusion
A simple, sensitive and specific spectrophotometric method is developed for the determination of atorvastatin calcium in pure and its pharmaceutical formulations in acetonitrile. This method is based on the oxidation of atorvastatin calcium by iodine and formation I3− complex. The formed complex was measured at 291 and 360 nm against the reagent blank prepared in the same manner. The optimum experimental parameters are selected. Beer’s law is valid within a concentration range of 0.5586-11.173 μg/ml. The developed method is applied for the determination of atorvastatin in pure and its commercial tablets without any interference from excipients (at lmax =291 & 360 nm), ezetimibe, fenofibrate and aspirin (at lmax =360 nm) with average recovery of 99.45 to 102.4%. The results obtained agree well with the contents stated on the labels and were validated by RP-HPLC [37].
CONFLICT OF INTERESTS
The authors have declared that no conflict of interests exists
References