Int J Pharm Pharm Sci, Vol 7, Issue 9, 466-470Original Article


DESIGN, SYNTHESIS AND ANTIFUNGAL EVALUATION OF NOVEL SUBSTITUTED 1, 3, 4-OXADIAZOLES, AND 1, 3, 4-THIADIAZOLES

PRABHAT K UPADHYAY*, PRADEEP MISHRA

Institute of Pharmaceutical Research, GLA University, Mathura 281406, U. P., India
Email: pkutanu@gmail.com
 

 Received: 04 Apr 2015 Revised and Accepted: 30 Jul 2015


ABSTRACT

Objective: The purpose of this research is to evaluate the antifungal activity of synthesized conjugates of thiophene with 1, 3, 4-oxadiazoles and 1, 3, 4-thiadiazoles using in vitro methods.

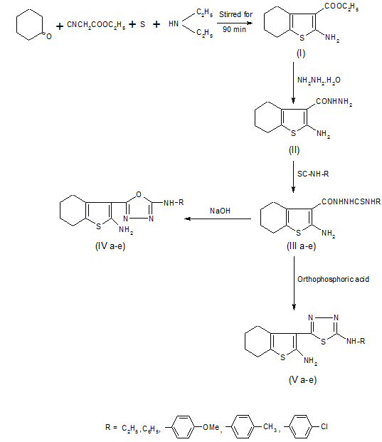
Methods: The series of (IVa-e) and (Va-e) compounds were synthesized from thiosemicarbazide (IIIa-e) series by treating with iodine-sodium hydroxide mixture and by phosphoric acid cyclization respectively. Thiosemicarbazides (IIIa-e) were prepared by the reaction of 2–amino-4, 5, 6, 7-tetrahydro-benzo[b]thiophene-3-carbohydrazide (II) with substituted isothiocyanates. Carbohydrazide (II) was synthesized by the reaction of hydrazine hydrate with ethyl 2–amino-4, 5, 6, 7-tetrahydrobenzeno[b]thiophene-3-carboxylate (I), which was prepared by one pot synthesis method. Finally, the synthesized compound series was characterized by physicochemical and spectral data (IR, NMR and Mass) and evaluated for in vitro antifungal activity against Candida albicans and Aspergillus niger using disc diffusion method. The percentage inhibition was calculated with reference to the standard drug.

Results: The structures of the synthesized conjugates of thiophene with 1, 3, 4-oxadiazoles and 1, 3, 4–thiadiazoles were confirmed by IR, NMR, and Mass spectroscopic techniques. The results of bioassay were indicated that some synthesized compounds IVd, IVe, Vd, and Ve exhibited moderate antifungal activities against Candida albicans and Aspergillus niger;whereas compounds IVb, IVc, Vb, and Vc showed prominent antifungal activities when compared to standard drug, Fluconazole.

Conclusion: Present study demonstrates the synthesis of conjugates of thiophene with 1, 3, 4-oxadiazoles and 1, 3, 4–thiadiazoles. These compounds were evaluated for in vitro antifungal activity against Candida albicans and Aspergillus niger using disc diffusion method. The compounds IVd, IVe, Vd, and Ve exhibited moderate antifungal activities, whereas compounds IVb, IVc, Vb, and Vc showed prominent antifungal activities.

Keywords: Oxadiazole, Thaidiazole, Thiosemicarbazide; Antifungal activity.


INTRODUCTION

In the medicinal chemistry, 1, 3, 4-oxadiazole and 1, 3, 4–thiadiazoles are most widely used heterocyclic moiety for the development of new therapeutic agents [1, 2]. The designing of antifungal drugs is more challenging than that of antibacterial agents due to higher complexity and closeness to mammalian cell [3]. Therefore, designing of such agents is challenging which are toxic to fungi, but non-toxic to humans [4]. The oxadiazole and thiadiazoles are cyclic analogues of thiosemicarbazide having significant antifungal activities [5]. The compounds containing these heterocyclic nuclei possess various biological activities including anti-inflammatory [6-8], anticonvulsant [9, 10], anthelmintic [11], diuretic [12], anti-tubercular [13],anticancer [14], and antimicrobial activities [15-17]. Earlier studies revealed an affinity of 1, 3, 4-oxadiazoles and 1, 3, 4–thiadiazoles on fungal targets [16, 17]. In addition, thiophenes have been reported as the biologically active agent for fungal targets [18].

Keeping in view the above, an attempt has been made in the present study to synthesize some new conjugates of thiophene with oxadiazoles and thiadiazoles and screen them for antifungal activity to find some new compounds having potential activity. Therefore, these derivatives have been synthesized, characterized by IR, Mass and NMR spectroscopic techniques and screened for their in vitro antifungal activity against Candida albicans and Aspergillus niger using the disc diffusion method. Such findings can help in developing highly potent antifungal agents with least side effects.

MATERIALS AND METHODS

Chemistry

The title compounds (IVa-e and Va-e) were synthesized as per reaction scheme and their structures were confirmed by IR, NMR, and Mass spectroscopy. The starting material and reagents were procured from commercial chemical suppliers and of analytical grade.

Melting points were recorded in an open capillary tube and are uncorrected.

Reaction scheme

The purity of the compounds was checked by TLC on silica gel G sheets using chloroform: methanol, 7:3 solvent system and UV lamp used as visualizing agent. IR spectra were recorded using KBr pellets on a Thermo Nicolet Nexus 670 spectrophotometer with resolution 4 cm-1. 1H NMR spectra were recorded on Amx 400 NMR spectrometer at 400 MHZ spectrophotometer using DMSO as solvent and TMS as internal standard. The values of chemical shift (δ) are given in ppm. Mass spectra were done by LCMS–2010 techniques

Synthesis of ethyl-2-amino-4, 5, 6, 7-tetrahydro-benzo(b) thiophene-3-carboxylate (I)

An equimolar mixture of cyclohexanone (0.1 mol), sulphur (0.1 mol), ethyl cyanoacetate (0.1 mol) and diethyl amine (0.1 mol) in dry ethanol (20 ml) were taken in a 500 ml round bottomed flask and stirred for 1.5 h. The mixture was then poured into ice-cold water, with constant stirring and set aside for 3 h at room temperature [18, 19]. The separated solid was filtered, dried and recrystallized from ethanol. Yield: 82.75 %, MP-102 °C.

Synthesis of ethyl, 2-amino-4, 5, 6, 7-tetrahydro-benzo(b)thiophene-3-carbohydrazide (II)

Compound I (0.1 mol) was dissolved in 20 ml ethanol and stirred magnetically for 0.5 h. Then hydrazine hydrate (99 %) was added to it and this mixture was heated under reflux on a water bath for 4 h. The reaction mixture, then poured onto ice which led to separation of colorless crystalline solid. The product was recrystallized from ethanol. Yield: 75.83 %, MP-105 °C.

Synthesis of 2-[(2-amino-4, 5, 6, 7-tetrahydro-1-benzothiophen-3yl) carbonyl]-N-substituted hydrazine carbothioamide (IIIa-e)

An appropriate isothiocyanate (0.1 mol) was added into a suspension of compound II (0.1 mol) in dry benzene. The mixture was heated under reflux for 3 h on the steam bath and then poured onto ice [20]. The corresponding thiosemicarbazide separated was collected, dried and recrystallized from ethanol.

Synthesis of 5-(2-amino-4, 5, 6, 7-tetrahydro-1-benzothien-3-yl)-N-substituted-1, 3, 4-oxadiazole-2-amines (IVa-e)

A cold solution of sodium hydroxide (4 %) was added to an equimolar mixture of corresponding compound IIIa-e (0.1 mol) in ethanol. To this, a solution of iodine in potassium iodide (aqueous, 5 %) was added in portions with vigorous shaking until the color of iodine persisted at room temperature. The reaction mixture was heated under reflux for 1 h and concentrated under reduced pressure. It was poured onto crushed ice and recrystallized from petroleum ether.

5-[(2-Amino-4, 5, 6, 7-tetrahydro-1-benzothien-3-yl)-N-ethyl-1, 3, 4-oxadiazole-2-amine (IVa)

IR (KBr, νmax, cm-1): 3384 (NH str.), 3299 (NH2), 2938 (CH str.), 3405 (NH), 2840 (C-H aliphatic), 1366 (C=N), 1274 (N-N), 781 (C-S-C). 1H NMR (DMSO-d6) δ: 4.2 (s, 3H of 3. NH), 7.7 (s, 2H of NH2), 4.2 (s, 3H of CH3), 1.4-2.7(m, 8H of CH2 aliphatic), 4.2-4.3 (t, 3H of CH3), 1.2-1.3 (q, 2H of CH2). MS m/z (%): M+1 = 265.

5-[(2-Amino-4, 5, 6, 7-tetrahydro-1-benzothien-3-yl)-N-phenyl-1, 3, 4-oxadiazole-2-amine (IVb): [21]

IR (KBr, νmax, cm-1): 3384 (NH str.), 3299 (NH2), 2938 (CH str.), 3405 (NH), 2840 (C-H aliphatic), 1366 (C=N), 1274 (N-N), 781 (C-S-C). 1H NMR (DMSO-d6): δ 7.7 (s, 1H of NH2), 3.8 (s, 3H of 3. NH), 5.9-6.2 (m, 5H of Ar-H), 1.4-2.7 (m, 8H of CH2 aliphatic). MS m/z (%): M+1 = 312.

5-[(2-Amino-4, 5, 6, 7-tetrahydro-1-benzothien-3-yl)-N-(4-methoxyphenyl)-1, 3, 4-oxadiazol-2-amine (IVc)

IR (KBr, νmax, cm-1): 3384 (NH str.), 3299 (NH2), 2938 (CH str.), 3405 (NH), 2840 (C-H aliphatic), 1366 (C=N), 1274 (N-N), 781(C-S-C). 1H NMR (DMSO-d6) δ: 7.7 (s, 1H of NH2), 3.8 (s, 3H of 3. NH), 5.9-6.2 (m, 4H of Ar-H), 4.2 (s, 3H of CH3), 1.4-2.7 (m, 8H of CH2 Aliphatic). MS m/z (%): M+1 = 343.

5-[(2-Amino-4, 5, 6, 7-tetrahydro-1-benzothien-3-yl)-N-(4-methyl phenyl)-1, 3, 4-oxadiazole-2-amine (IVd)

IR (KBr, νmax, cm-1): 3384 (NH str.), 3299 (NH2), 2938 (CH str.), 3405 (NH), 2840 (C-H aliphatic), 1366 (C=N), 1274 (N-N), 781 (C-S-C). 1H NMR (DMSO-d6): δ 7.7 (s, 1H of NH2), 3.8 (s, 3H of 3. NH), 5.9-6.2 (m, 4H of Ar-H), 4.4 (s, 3H of CH3), 1.4-2.7 (m, 8H of CH2 Aliphatic). MS m/z (%): M+1 = 327.

5-[(2-Amino-4, 5, 6, 7-tetrahydro-1-benzothien-3-yl)-N-(4-chloro phenyl)-1, 3, 4-oxadiazole-2-amine (IVe)

IR (KBr, νmax, cm-1): 3384 (NH str.), 3299 (NH2), 2938 (CH str.), 3405 (NH), 2840 (C-H aliphatic), 1366 (C=N), 1274 (N-N), 781 (C-S-C). 1H NMR (DMSO-d6) δ: 7.7 (s, 1H of NH2), 3.8 (s, 3H of 3. NH), 6.2-7.1 (m, 4H of Ar-H), 1.4-2.7 (m, 8H of CH2 Aliphatic). MS m/z (%): M+1 = 347.

5-[(2-Amino-4, 5, 6, 7-tetrahydro-1-benzothien-3-yl)-N-substituted-1, 3, 4-Thiadiazole-2-amine (Va-e)

Phosphoric acid, (10 ml, 0.1 mol) was added slowly to the corresponding compound IIIa-e (0.1 mol). The mixture was heated at 110-130 °C for 0.5 h and then poured onto crushed ice with continuous stirring. The product was obtained, dried and recrystallized from petroleum ether.

5-[(2-Amino-4, 5, 6, 7-tetrahydro-1-benzothien-3-yl)-N-ethyl-1, 3, 4-thiadiazole-2-amine (Va)

IR (KBr, νmax, cm-1): 3384 (NH str.), 3299 (NH2), 2938 (CH str.), 3405 (NH), 2840 (C-H) aliphatic, 1366 (C=N), 1274 (N-N), 781 (C-S-C). 1H NMR (DMSO-d6) δ: 7.7 (s, 2H of NH2), 4.2 (s, 3H of 3. NH), 4.2 (s, 3H of CH3), 1.4-2.7 (m, 8H of CH2 aliphatic), 4.2-4.3

(t, 3H of CH3), 1.2-1.3 (q, 2H of CH2). MS m/z (%): M+1 = 281.

5-[(2-Amino-4, 5, 6, 7-tetrahydro-1-benzothien-3-yl)-N-phenyl-1, 3, 4-thiadiazole-2-amine (Vb): [22]

IR (KBr, νmax, cm-1): 3384 (NH str.), 3299 (NH2), 2938 (CH str.), 3405 (NH), 2840 (C-H) aliphatic, 1366 (C=N), 1274 (N-N), 781 (C-S-C).1H NMR (DMSO-d6) δ: 7.7 (s, 1H of NH2), 3.8 (s, 3H of 3. NH), 5.9-6.2 (m, 5H of Ar-H),1.4-2.7 (m, 8H of CH2 Aliphatic). MS m/z (%): M+1 = 329.

5-[(2-Amino-4, 5, 6, 7-tetrahydro-1-benzothien-3-yl)-N-(4-methoxyphenyl)-1, 3, 4-thiadiazole-2-amine (Vc)

IR (KBr, νmax, cm-1): 3384 (NH str.), 3299 (NH2), 2938 (CH str.), 3405 (NH), 2840 (C-H) aliphatic, 1366 (C=N), 1274 (N-N), 781(C-S-C). 1H NMR (DMSO-d6) δ: 7.7 (s, 1H of NH2), 3.8 (s, 3H of 3. NH), 5.9-6.2 (m, 4H of Ar-H), 4.2 (s, 3H of CH3), 1.4-2.7 (m, 8H of CH2 aliphatic). MS m/z (%): M+1 = 359.

5-[(2-Amino-4, 5, 6, 7-tetrahydro-1-benzothien-3-yl)-N-(4-methyl phenyl)-1, 3, 4-thiadiazole-2-amine (Vd)

IR (KBr, νmax, cm-1): 3384 (NH str.), 3299 (NH2), 2938 (CH str.), 3405 (NH), 2840 (C-H) aliphatic, 1366 (C=N), 1274 (N-N), 781(C-S-C). 1H NMR (DMSO-d6) δ: 7.7 (s, 1H of NH2), 3.8 (s, 3H of 3. NH), 5.9-6.2(m, 4H of Ar-H), 4.4 (s, 3H of CH3), 1.4-2.7 (m, 8H of CH2 aliphatic). MS m/z (%): M+1 = 343.

5-[(2-Amino-4, 5, 6, 7-tetrahydro-1-benzothien-3-yl)-N-(4-chloro phenyl)-1, 3, 4-thiadiazole-2-amine (Ve)

IR (KBr, νmax, cm-1): 3384 (NH str.), 3299 (NH2), 2938 (CH str.), 3405 (NH), 2840 (C-H) aliphatic, 1366 (C=N), 1274 (N-N), 781 (C-S-C). 1H NMR (DMSO-d6) δ: 7.7 (s, 1H of NH2), 3.8 (s, 3H of 3. NH), 6.2-7.1 (m, 4H of Ar-H), 1.4-2.7 (m, 8H of CH2 aliphatic). MS m/z (%): M+1 = 364.

Antifungal activity

All synthesized compounds (IV a-e and Va-e) were evaluated fortheir in vitro antifungal activities against Candida albicans (MTCC1785) and Aspergillus niger (MTCC2479) with DMF asa solvent control [23, 24]. The results of preliminary bioassays were compared with experimental data of antifungal drug, Fluconazole. Inoculation of the fungal strains were done under the aseptic conditions in sterilized petri-plates containing Sabouraud’s dextrose agar. The sterilized discs (6 mm) were placed on the fungal mycelia after dipping into a desired solution of test compounds and standard drug (50μg/ml and 100 μg/ml). Finally, Petri-plates were incubated at 25±1 oC for 72 h. After incubation, a zone of inhibition was measured on mm scale and % inhibition was calculated with reference to the standard drug. Data were statistically analyzed (mean±SD) as shown in table 2.

RESULTS AND DISCUSSION

The title compounds were synthesized as per reaction scheme, i.e. the series of (IVa-e) and (Va-e) compounds were synthesized by thiosemicarbazide (IIIa-e) series by treating with iodine-sodium hydroxide mixture and by cyclization using phosphoric acid respectively [24, 25].

The structures were elucidated by physicochemical (table 1) and spectral data (IR, NMR and Mass spectra) for the synthesized compounds which are reported in experimental protocols.

The antifungal screening of the compounds IVa-e and Va-e, was done by disc diffusion method against Candida albicans and Aspergillus niger which was compared with Fluconazole described in literature [26, 27].

It has been observed that most of compounds showed inhibition (between 33.8 to 66.1%) against C. albicans and A. niger (table 2).

Table 1: Physical data of substituted 1, 3, 4-Oxadiazoles and 1, 3, 4-Thiadiazoles

S. No.

Compound code

R

Molecular formula

MP (oC)

Rf Value

Yield (%)

1

IVa

Ethyl

C12H16N4SO

108

0.82

39

2

IVb

Phenyl

C16H16N4SO

105

0.80

37

3

IVc

4-Methoxy Phenyl

C17H18N4SO2

107

0.75

36

4

IVd

4-Methyl Phenyl

C17H18N4SO

106

0.78

34

5

IVe

4-Chloro Phenyl

C16H15N4SOCl

109

0.71

35

6

Va

Ethyl

C12H16N4S2

98

0.90

34

7

Vb

Phenyl

C16H16N4S2

106

0.88

29

8

Vc

4-Methoxy Phenyl

C17H18N4S2O

105

0.74

26

9

Vd

4-Methyl Phenyl

C17H18N4S2

102

0.76

24

10

Ve

4-Chloro Phenyl

C16H15N4S2Cl

101

0.86

32


Table 2: Data for Antifungal activity of substituted 1, 3, 4-Oxadiazoles and 1, 3, 4-Thiadiazoles

Compound

Code

Zone of Inhibition (in mm) (mean±SD)a and % Inhibition with reference to Standard drugb

C. albicans

A. niger

50µg/ml

100 µg/ml

50 µg/ml

100 µg/ml

IV (a)

7.33±0.58

(33.8%)

9.33±0.58

(37.8 %)

8.0±1.0

(37.5%)

9.0±1.0

(39.7%)

IV (b)

8.33±0.58

(38.4%)

10.67±1.15

(43.3%)

8.67±1.15

(40.6%)

9.67±0.58

(42.7%)

IV (c)

9.67±1.15

(44.6%)

11.33±0.58

(45.9%)

8.33±0.58

(39.1%)

9.0±1.0

(39.7 %)

IV (d)

11.67±0.58

(53.9%)

15.0±1.0

(60.8%)

12.0±1.0

(56.3%)

12.67±1.15

(55.9%)

IV (e)

13.0±1.0

(59.9%)

14.67±0.58

(59.5%)

12.67±1.15

(59.4 %)

14.67±1.15

(64.7%)

V (a)

7.67±0.58
(35.4%)

9.33±1.15

(37.8%)

7.67±0.58

(35.9%)

9.0±1.0

(39.7 %)

V (b)

10.0±1.0

(46.2%)

12.67±1.15

(51.4%)

9.33±0.58

(43.7%)

11.33±0.58

(49.9%)

V (c)

9.33±1.53

(43.1%)

10.33±1.53

(41.9 %)

8.67±1.15

(40.6%)

9.33±0.58

(41.2%)

V (d)

12.0±1.0

(55.4%)

13.67±0.58

(55.4%)

12.33±1.53

(57.8%)

14.67±1.15

(64.7%)

V (e)

14.33±2.08

(66.1%)

14.67±0.58

(59.5%)

13.0±1.0

(60.9%)

14.33±0.58

(63.2%)

Fluconazolec

21.67±0.58

(100%)

24.67±1.15

(100%)

21.33±1.15

(100%)

22.67±1.15

(100 %)

 amean±SD, n=3 (zone of inhibition observed in triplicates), bThe percentage zone of inhibition was calculated against C. albicans and A. nigerwith reference to standard, solvent control-DMF, cStandard drug: Fluconazole (50µg/ml & 100 µg/ml concentrations)

From the results listed in table 2, it can be observed that the compounds IVd, IVe, Vd, and Ve at 50 μg/ml concentration, showed 53.9%, 59.9%, 55.4% and 66.1% inhibition, respectively against Candida albicans; whereas compounds IVb, IVc, Vb, and Vc showed 38.4%, 44.6%, 46.2% and 43.1% inhibition respectively.Similarly, compounds IVd, IVe, Vd, and Ve at 100 μg/ml concentration, exhibited 60.8%, 59.5%, 55.4% and 59.5% inhibition, respectively against same fungus; whereas compounds IVb, IVc, Vb, and Vc exhibited 43.3%, 45.9%, 51.4% and 41.9% inhibition respectively.

The compounds IVd, IVe, Vd, and Ve at 50 μg/ml concentration, showed 56.3%, 59.4%, 57.8% and 60.9% inhibition, respectively against Aspergillus niger; whereas compounds IVb, IVc, Vb, and Vc showed 40.6%, 39.1%, 43.7% and 40.6% inhibition respectively.Similarly, compounds IVd, IVe, Vd, and Ve at 100 μg/ml concentration, exhibited 55.9%, 64.7%, 64.7% and 63.2% inhibition, respectively against same fungus; whereas compounds IVb, IVc, Vb, and Vc exhibited 42.7%, 39.7%, 49.9% and 41.2% inhibition respectively.

It can be concluded from these data, the compounds IVd, IVe, Vd, and Ve exhibited moderate antifungal activities against C. albicans as those of Fluconazole at 50µg/ml concentration, whereas compounds IVb, IVc, Vb, and Vc showed prominent antifungal activities. The compounds IVd, IVe, Vd, and Ve at 50 μg/ml concentration, showed slightly lower antifungal activities against A. niger; whereas compounds IVb, IVc, Vb, and Vc showed prominent activities. Since, the solutions of all test compounds and standard drugs were prepared in DMF and the zone of inhibition of DMF solvent control was found to be negligible and assumed to be zero mm.

The present study revealed that the antifungal activity of compounds depends on the nature of substituents and it also differs by the presence of the oxadiazole or thiadiazole ring. The synthesized compounds IVe and Ve (R=4-chlorophenyl) on amino linkage of 1, 3, 4-oxadiazole or 1, 3, 4-thiadiazole ring showed highest antifungal activity against both C. albicans and A. niger. Out of these, Ve showed much higher activity than that of IVe. Similarly, the compound Vd (R=4-methyl phenyl) and Vb (R=phenyl) exhibited better activities than those of IVd and IVb. All these changes occurred because of difference in the presence of the oxadiazole or thiadiazole ring. In contrast to this, the compounds IVc and Vc (R=4-methoxy phenyl) showed slightly lower activities these of IVd and Vd. The activities of compounds IVa and Va (R=ethyl) were found to be the lowest one. Finally, the order of activity was Ve>IVe>Vd>IVd>IVc>Vc>Vb>IVb>Va>IVa. The activity of Vc was exceptionally lower than that of IVc.

In addition,-N-N=C-linkage common to both in oxadiazole or thiadiazole moeity played a crucial role in determination of antifungal activity due to structural similarities with pharmacophoric part of the standard drug. It is interesting to observe that further structural modifications on oxadiazole and thiadiazole ring can be utilized as potential therapeutic agents in future.

CONCLUSION

The present study reported the synthesis of bioactive compounds containing oxadiazole and thiadiazole and characterization using IR, NMR, and Mass spectroscopic methods. Antifungal activity against Candida albicans and Aspergillus niger using the disc diffusion method was demonstrated. From these data, compounds IVd, IVe, Vd, and Ve exhibited moderate antifungal activities against C. albicans than those of Fluconazole at 50µg/ml concentrations, whereas compounds IVb, IVc, Vb, and Vc showed prominent antifungal activities. The compounds IVd, IVe, Vd, and Ve at 50 μg/ml concentration, showed slightly lower antifungal activities against A. niger; whereas compounds IVb, IVc, Vb, and Vc showed prominent activities.

The antifungal screening of these synthesized compounds was considered to have optimal binding with targets and explore the new possibilities for drug-target interactions. The research field is open for further optimization of these antifungal agents with respect to pharmacokinetic and toxicology studies.

ACKNOWLEDGEMENT

The authors are thankful to the management of GLA University, Mathura (U. P.) for providing the research facilities for completion of antifungal screening.

ABBREVIATION

%: Percentage, Mol: Mole, min: Minute, mm: Millimetre, s: Second, 1HNMR: Proton Nuclear Magnetic Resonance, IR: Infrared, cm-1: Per Centimeter, KBr: Potassium bromide, UV: Ultra-Voilet, LCMS: Liquid Chromatography-Mass Spectroscopy, DMSO-𝑑6: Dimethyl sulfoxide-d6, TMS: Tetramethylsilane, g: Gram, TLC: Thin Layer Chromatography, MP: Melting Point, oC: Degree Celsius, DMF: Dimethylformamide, s: Singlet, m: Multiple Peak, q: Quadrate Peak, t: Triplet Peak, MS: Mass Spectroscopy, M+: Molecular Ion Peak, m/z: Mass to Charge ratio, Rf: Retention Factor, CDCl3: Deuteriated Chloroform, ppm: Part Per Million, h: Hour, Fig.:

CONFLICT OF INTERESTS

The authors have no conflict of interest directly relevant to the contents of this article

REFERENCES

  1. Acheson RM. An introduction to the chemistry of heterocyclic compounds. 2nd ed. New Delhi: Wiley India Pvt. Ltd; 2008.
  2. Farshori NN, Banday MR, Ahmad A, Khan AU, Rauf A. Synthesis, characterization, and in vitro antimicrobial activities of 5-alkenyl/hydroxyalkenyl-2-phenylamine-1,3,4-oxadiazoles and thiadiazoles. Bioorg Med Chem Lett 2010;20:1933-8.
  3. Hasan A, Thomas NF, Gapil S. Synthesis, Characterization and antifungal evaluation of 5-Substituted-4-Amino-1,2,4-Triazole-3-Thioesters. Molecules 2011;16:1297-309.
  4. Nogrady T, Weaver DF. Medicinal Chemistry. 2nd ed. New York: Oxford University Press, Inc; 2005.
  5. Shivaraj Gouda T, Upadhyaya P, Salahuddin M, Shanta Kumar SM.Synthesis, Characterization and biological activity of some thiophene substituted biheterocycles containing oxadiazoles. Asian J Chem 2009;21:7155-62.
  6. George T, Mehta DV, Tahilramani R, Davvid J, Talwalker PK. Synthesis of some triazoles with potential analgesic and antiinflammatory activities. J Med Chem1971;14:335-8.
  7. Sharma S, Srivatsava VK, Kumar A. Synthesis of some newer indolyl–thiadiazolyl-pyrazolines as potential anti-inflammatory agent. Indian J Chem 2002;41B:2647-54.
  8. Amir M, Kumar S. Synthesis of some 2,5-disubstituted 1,3,4-oxadiazole derivatives and their anti-inflammatory activity. Indian J Heterocycl Chem 2004;14:51-4.
  9. Almasirad A, Tabatabai SA, Faizi M, Kebriaeezadeh A, Mehrabi N, Dalvandi A. Synthesis and anticonvulsant activity of new 2-substituted-5-[2-(2-fluorophenoxy)phenyl]-1,3,4-oxadiazoles and 1,2,4-triazoles. Bioorg Med Chem Lett2004;14:6057-9.
  10. Chapleo CB, Myers PL, Smith ACB, Tulloch IF, Waltar DS. Substituted 1, 3, 4-thiadiazole with anticonvulsant activity. J Med Chem 1987;30:951-4.
  11. Saksena RK, Puri S, Prakash R. Synthesis of 2-(aryloxy methyl)-5-(2′-mercapto acetylamino benzoxazol-2′-yl)-1,3,4-thiadiazoles as potential anthelmintic agents. Indian J Heterocycl Chem 2003;13:127-30.
  12. Jain SK, Mishra P. Preparation and evaluation of 1, 3, 4-thiadiazole as diuretic agents. Indian J Chem 2004;43B:184-8.
  13. Shashikant PR, Rabara PA, Jayashri PS. Synthesis and evaluation of some novel substituted 1,3,4-oxadiazole and pyrazole derivatives for Anti-tubercular activity. Indian J Chem 2009;48B:1453-6.
  14. Puratchikody A, GopalaKrishnan S, Nallu M. Synthesis and pharmacological evaluation of some potent 2-(4-Substitutedphenyl)-4,5-Diphenyl-1H-Imidazoles. Indian J Pharm Sci 2005;67:725-31.
  15. Karegoudar P, Karthikeyan MS, Prasad DJ, Mahalinga M, Holla BS, Kumari NS. Synthesis of some novel 2,4-disubstituted thiazoles as possible antimicrobial agents. Eur J Med Chem 2008;43:261–7.
  16. El-masry AH, Fahmy HH, Ali SH, Waheed A. Synthesis and antimicrobial activity of some new benzimidazole derivatives. Molecules 2000;5:1429-38.
  17. Orabi AS, Moneim MA, El-Din Salem E, El-Din Abdel-Fattah M. Synthesis and physicochemical studies of some antimicrobial active triazole metal complexes. Pol J Chem 2000;74:1675-83.
  18. Babu V, Saritha M, Sreenuvasulu N, Narasimharao R, Reddy KKK. Synthesis and biological evaluation of some novel tetrahydro Benzo(b)Thiophene analogues. J Pharm Res 2011;4:1553-9.
  19. Moustafa MA. Novel analogues of sydnone: synthesis, Characterization and antibacterial evaluation. Arch Pharm 2004;337:427-33.
  20. Ahmed GM, Bialy E, Atta SA. Synthesis and antioxidant evaluation of novel sophisticated carboxamides based on 3-(ethoxycarbonyl)-4, 5, 6, 7-tetrahydro-1-benzothiophen-2-amine. Eur J Chem 2014;5:644-51.
  21. Alagarsamy V. Synthesis and pharmacological Investigation of 3-Subsituted-amino-2-methylsulfanyl-5,6,7,8-tetrahydro-3H-benzo[4,5]thieno[2,3-d]pyrimidin-4-ones as analgesic and Anti-Inflammatory agents. Arch Pharm 2007;340:352-8.
  22. Kamal El-Dean AM. Synthesis of some Pyridothienopyrazolopyrimidopyrimidine and Mercaptomethylpyrazolopyrimidine derivatives. Phosphorus Sulfur Silicon Relat Elem 2009;184:2034-48.
  23. Aneja KR. Experimentsin microbiology, Plant pathology and biotechnology. 2nd ed. New Delhi, New Age International (P) Limited, Publishers; 2007. p. 580-99.
  24. Bhat MA, Al-Omar MA, Siddiqui N. Antimicrobial activity of schiff bases of coumarin-incorporated 1,3,4-oxadiazole derivatives: an in-vitro evaluation. Med Chem Res 2013;22:4455-8.
  25. Chen CJ, Song BA, Yang S, Xu GF, Bhadury PS, Jin LH, et al. Synthesis and antifungal activities of 5-(3,4,5-trimethoxyphenyl)-2-sulfonyl-1,3,4-thiadiazole and 5-(3,4,5-trimeth-oxyphenyl)-2-sulfonyl-1,3,4-oxadiazole derivatives. Bioorg Med Chem 2007;15:3981-9.
  26. Liu F, Luo XQ, Song BA, Bhadury PS, Yang S, Jin LH, et al. Synthesis and antifungal activity of novel sulfoxide derivatives containing trimethoxyphenyl substituted 1,3,4-thiadiazole and 1,3,4-oxadiazole moiety. Bioorg Med Chem 2008,16:3632-40.
  27. Wu J, Wang J, Hu DY, He M, Jin LH, Song BA. Synthesis and antifungal activity of novel pyrazolecarboxamide derivatives containing a hydrazone moiety. Chem Cent J 2012;6:51-8.