
aSunder Deep Pharmacy College, NH-24, Ghaziabad, (U. P.) 201010 India
Email: deepachauhan608@gmail.com
Received: 23 Jun 2015 Revised and Accepted: 26 Aug 2015
ABSTRACT
Objective: Synthesis, characterization and antimicrobial evaluation of some new 1,3-benzothiazolyl pyrazole derivatives.
Methods: Aseries of novel2-[3-(substituted phenyl)-4-formylpyrazol-1-yl]-6-chloro benzothiazole derivatives (5a-g) have been synthesized by cyclization through Vilsmeier-Haack reaction on hydrazones (4a-g)of substituted aromatic ketones with 6-chloro benzothiazol-2-yl hydrazine under microwave irradiation in fairly good yields. All the newly synthesized compounds were characterized by IR, 1HNMR, Mass spectral studies and elemental analysis and were screened for their in vitro antibacterial and antifungal activities also.
Results: The results revealed that all 1,3-benzothiazole pyrazole derivatives(5a-g) were synthesized in satisfactory yields and pharmacologically evaluated for their in vitro antimicrobial activity. All the synthesized compounds were in good agreement with elemental and spectral data. Some of the tested compounds showed good to moderate antimicrobial activity against all tested pathogenic bacterial and fungal strains.
Conclusion: For the present investigation we have prepared benzothiazole derivatives that are incorporated with pyrazolyl moiety with the hope of potentiating the activity of two such units in the same compound. Compounds 5b, 5c, and 5a showed excellent antibacterial and antifungal activities as compared to reference drugs norfloxacin and ketoconazole.
Keywords: Benzothiazole, Antibacterial activity, Antifungal activity, Pyrazole.
© 2016 The Authors. Published by Innovare Academic Sciences Pvt Ltd. This is an open access article under the CC BY license (http://creativecommons.org/licenses/by/4.0/)
INTRODUCTION
It is an established fact that benzothiazole derivatives contain extended p-delocalized systems which are capable of binding to DNA molecules via p–p interactions and therefore exhibited various biological properties like antitumor, antimicrobial and anthelmintic activities [1]. Benzothiazoles comprise a novel class of therapeutic compounds found to possess a number of biological activities such as anticancer [2-3], anti-inflammatory [4], antimicrobial [5-6], antidiabetic [7], antiviral [8] and antileishmanial [9]. Therefore from the above facts, we herein report the synthesis of some new formylated pyrazolyl benzothiazole derivatives with the hope of finding of potent antibacterial and antifungal compounds as the need of emergence due to the phenomenon of bacterial resistance of antimicrobial agents.
MATERIALS AND METHODS
All the newly synthesized compounds gave moderate to good yields. The homogeneity of synthesized compounds was ascertained by thin layer chromatography (TLC) on silica gel G (Merck) coated plates by using different solvent systems. The visualization was done by using iodine vaporus and UV light chamber. The chemicals and solvents used for experimental work were commercially procured from CDH,E. Merck, S. D. fine chem. and Qualigens. The silica gel G used for analytical chromatography was obtained from E. Merck. Melting points were determined in open glass capillary tubes in a Hicon melting apparatus and are uncorrected. IR spectra were recorded in KBr pellets on JASCO FT-IR 410 spectrophotometer. The 1HNMR spectra was recorded downfield on VNMRS-500 “Agilent-NMR” using (TMS) tetramethyl silane as an internal standard. The chemical shift are reported in ppm δ scale. LCMS Mass spectra were recorded on MASPEC low resolution mass spectrometer at an ionization potential of 70eV. The elemental analyses (C, H, and N) of all compounds were performed and the measured values agreed within calculated ones.
Experimental
Synthesis of 6-chloro-2-benzothiazolamine (2)
General procedure
A mixture of p-chloroaniline (0.01 mol) and potassium thiocyanate (0.01 mol) in 150 ml glacial acetic acid (10 %) was cooled and stirred mechanically for 30 min at 2-4 ºC. To this solution bromine (0.01 mol, 1.6 ml in 6 ml glacial acetic acid) was added drop wise at such a rate to keep the temperature of the solution below 10ºC throughout the addition. After all the bromine was added (105 min), stirring was continued for an additional 6 h at room temperature. The precipitate of hydrochloric salt of benzothiazole was filtered, washed with acetic acid and dried. Separated hydrochloric salt was dissolved in hot water and neutralized with aqueous ammonia solution (25 %), filtered, washed with water, dried and recrystallized with benzene to obtain 6-chloro-2-benzothiazolamine (2).
Yield: 73 %; m. p. 209-211 °C; IR (KBr, cm-1): 3410 (N-H), 3080 (CH-Ar), 1580 (C=N), 1280 (C-N),
612 (C-S-C, benzothiazole), 1080 (C-Cl, benzothiazole);1HNMR (300 MHz, DMSO-d6, δ ppm): 6.78-6.70 (m, 3H, Ar-H), 7.14 (s, 2H, NH2, D2O exchangeable); MS (m/z): 183 [M+]; Anal. Calcd. for C7H5ClN2S: C, 45.53 %; H, 2.73 %; N, 15.17 %. Found: C, 45.52 %; H, 2.70 %; N, 15.15 %.
Synthesis of 6-chlorobenzothiazol-2-yl-hydrazine (3)
General procedure
In a flat bottomed flaskconc. HCl (6 ml) was added drop wise with stirring to hydrazine hydrate (99 %, 6 ml) at 5-10 ºC. To it ethylene glycol (24 ml) and compound (2) (0.03 mol) were added in portions and refluxed for 3 h. On cooling white solid separate out, which was filtered, washed with water and recrystallized from ethanol (3). Yield: 82 %; m. p. 220-224 °C; IR (KBr, cm-1): 3330 (N-H), 3015 (CH-Ar), 1462 (C=N),1250 (C-N), 690 (C-S-C, benzothiazole), 970 (C-Cl, benzothiazole);1HNMR(300 MHz, DMSO-d6, δ ppm): 4.93 (s, 2H, NH2), 9.12 (s, 1H,-NHN, D2O exchangeable), 7.12-6.92 (m, 3H, Ar-H); MS (m/z): 199 [M+]; Anal. Calcd. for C7H6ClN3S: C, 42.11 %; H, 3.03 %; N, 21.05 %. Found: C, 42.13 %; H, 3.05 %; N, 21.07 %.
Synthesis of 6-chlorobenzothiazol-2-yl-hydrazones (4a-g)
General procedure
A mixture of 6-chlorobenzothiazole-2-yl hydrazine (3) (1.5 mmol) and appropriate aromatic ketones(2.2 mmol) in absolute ethanol (60 ml) containing glacial acetic acid (4-5 drops) was taken and refluxed for 5-13 h on water bath. (Till a different spot on TLC may appear).
On cooling solid separated out, which was filtered, washed with little water and recrystallized from absolute alcohol to get hydrazones (4a-g).
6-chloro-2-(-2-[1-(4-chlorophenyl)ethylidene]hydrazinyl)-1,3-benzothiazole (4a)
Yield: 56 %; m. p. 175-177 °C; IR (KBr, cm-1): 3356 (N-H), 1622 (C=N),1254 (C-N), 680 (C-S-C, benzothiazole), 1004 (C-Cl, benzothiazole); 1HNMR(300 MHz, DMSO-d6, δ ppm): 4.52 (s, 1H, NH), 2.32 (s, 3H, CH3-C=N-, D2O exchangeable), 6.84-7.12 (m, 3H, Ar-H);MS (m/z): 336 [M+]; Anal. Calcd. for C15H11Cl2N3S: C, 53.61 %; H, 3.02 %; N, 12.50 %. Found: C, 53.70 %; H, 3.07 %; N, 12.40 %.
2-(-2-[1-(4-bromophenyl) ethylidene]hydrazinyl)-6-chloro-1,3-benzothiazole (4b)
Yield: 58 %; m. p. 148-150 °C; IR (KBr, cm-1): 3256 (N-H), 1592 (C=N),1258 (C-N), 698 (C-S-C), 570 (C-Br); 1HNMR(300 MHz, DMSO-d6, δ ppm): 4.42 (s, 1H, NH, D2O exchangeable), 2.30 (s, 3H, CH3-C=N-), 7.84-7.92 (m, 3H, Ar-H);MS (m/z): 379[M+]; Anal. Calcd. for C15H11BrClN3S: C, 42.11 %; H, 3.03 %; N, 21.05 %. Found: C, 42.17 %; H, 3.15 %; N, 21.17 %.
6-chloro-2-(-2-[1-(4-nitrophenyl) ethylidene] hydrazinyl)-1,3-benzothiazole (4c)
Yield: 62 %; m. p. 182-184 °C; IR (KBr, cm-1): 3368 (N-H), 1632 (C=N), 1144 (C-N), 587 (C-S-C), 1320 (C-NO2); 1HNMR(300 MHz, DMSO-d6, δ ppm): 4.38 (s, 1H, NH, D2O exchangeable), 2.33 (s, 3H, CH3-C=N-), 7.82-8.12 (m, 3H, Ar-H); MS (m/z): 346 [M+]; Anal. Calcd. for C15H11ClN4 O2S: C, 51.95 %; H, 3.20 %; N, 16.16 %. Found: C, 51.96 %; H, 3.26; % N, 16.26%.
4-(1-[2-(6-chloro-1,3-benzothiazol-2-yl)hydrazinylidene]ethyl phenol (4d)
Yield: 45 %; m. p. 194-196 °C; IR (KBr, cm-1): 3275 (N-H), 1643 (C=N),1056 (C-N), 602 (C-S-C), 3400 (OH); 1HNMR(300 MHz, DMSO-d6, δ ppm): 4.38 (s, 1H, NH, D2O exchangeable), 2.33 (s, 3H, CH3-C=N-), 7.82-8.12 (m, 3H, Ar-H) 10.2 (s, 1H, Ar-OH);MS (m/z): 317 [M+]; Anal. Calcd. for C15H12ClN3OS: C, 56.69 %; H, 3.81 %; N, 13.22 %. Found: C, 56.75 %; H, 3.85 %; N, 13.34 %.
6-chloro-2-(-2-[1-(4-methoxyphenyl)ethylidene]hydrazinyl)-1,3-benzothiazole (4e)
Yield: 53 %; m. p. 138-140 °C; IR (KBr, cm-1): 3368 (N-H), 1582 (C=N),1214 (C-N), 684 (C-S-C); 1HNMR(300 MHz, DMSO-d6, δ ppm): 4.48 (s, 1H, NH, D2O exchangeable), 2.40 (s, 3H, CH3-C=N-), 7.62-7.72 (m, 3H, Ar-H), 3.85 (s, 3H, OCH3); MS (m/z): 332 [M+]; Anal. Calcd. for C16H14ClN3OS: C, 57.93 %; H, 4.25%; N, 12.66% Found: C, 58.05%; H, 4.32 %; N, 12.72 %.
6-chloro-2-(-2-[1-(4-fluorophenyl) ethylidene]hydrazinyl)-1,3-benzothiazole (4f)
Yield: 46 %; m. p. 210-212 °C; IR (KBr, cm-1): 3320 (N-H), 1618 (C=N),1068 (C-N), 670 (C-S-C), 1234 (C-F); 1HNMR(300 MHz, DMSO-d6, δ ppm): 4.28 (s, 1H, NH, D2O exchangeable), 2.26 (s, 3H, CH3-C=N-), 7.78-8.22 (m, 3H, Ar-H); MS (m/z): 320 [M+]; Anal. Calcd. for C15H11ClFN3S: C, 56.34 %; H, 3.57 %; N, 13.14 %. Found: C, 56.42 %; H, 3.59 %; N, 13.23 %.
4-(1-[2-(6-chloro-1,3-benzothiazol-2-yl)hydrazinylidene] ethyl)aniline (4g)
Yield: 64 %; m. p. 200-202 °C; IR (KBr, cm-1): 3430 (NH2), 3278 (N-H), 1582 (C=N), 1172(C-N), 658 (C-S-C); 1HNMR (300MHz, DMSO-d6, δ ppm): 4.32 (s, 1H, NH, D2O exchangeable), 2.38 (s, 3H, CH3-C=N-), 7.78-8.20 (m, 3H, Ar-H), 3.20 (s, 2H, NH2); MS (m/z): 317 [M+]; Anal. Calcd. for C15H13ClN4S: C, 56.91 %; H, 4.14 %; N, 17.68 %. Found: C, 56.86 %; H, 4.22 %; N, 17.70 %.
Synthesis of 2-[3-(4-substitutedphenyl)-4-formyl-pyrazol-1-yl]-6-chloro benzothiazoles (5a-g)
General procedure
To the Vilsmeier-Haack reagent prepared from DMF (10 ml) and POCl3 (1.1 ml, 12 mmol), hydrazone(4 mmol) was added and the reaction mixture was irradiated in microwave oven for 45-120 s. After completion of the reaction each reaction mixture was poured into ice cold water. The solid that separated on neutralization with NaHCO3 was filtered, washed with water and recrystallized from CHCl3-EtOH to get final compound. By following similar procedures compounds (5a-g) were synthesized.
2-[3-(4-chlorophenyl)-4-formyl-pyrazol-1-yl]-6-chloro benzothiazole (5a)
Yield: 45 %; m. p. 180-183 °C; IR (KBr, cm-1): 1720 (C=O), 2780, 2878 (CH-Ar); 1HNMR(300 MHz, DMSO-d6, δ ppm): 9.05 (s, 1H, pyrazole, D2O exchangeable), 9.95 (s, 1H, CHO), 7.54-7.52 (m, 3H, Ar-H), 7.94 (s, 2H, Ar-H), 8.06-8.03(m, 2H, Ar-H); MS (m/z): 373 [M+]; Anal. Calcd. for C17H9Cl2N3OS: C, 54.58 %; H, 2.44 %; N, 11.24 % Found: C, 54.86; % H, 2.52 %; N, 11.30 %.
2-[3-(4-bromphenyl)-4-formyl-pyrazol-1-yl]-6-chloro benzothiazole (5b)
Yield: 53 %; m. p. 197-200 °C; IR (KBr, cm-1): 1622 (C=O), 2770, 2885 (CH-Ar); 1HNMR(300 MHz, DMSO-d6, δ ppm): 9.02 (s, 1H, pyrazole, D2O exchangeable), 9.94 (s, 1H, CHO), 7.44-7.34(m, 3H, Ar-H), 7.94 (s, 2H, Ar-H), 8.14-8.04(m, 2H, Ar-H); MS (m/z): 416 [M+]; Anal. Calcd. for C17H9ClBrN3OS: C, 48.77 %; H, 2.14 %; N, 10.06 %. Found: C, 48.86 %; H, 2.22 %; N, 10.15 %.
2-[3-(4-nitrophenyl)-4-formyl-pyrazol-1-yl]-6-chloro benzothiazole (5c)
Yield: 48 %; m. p. 230-232 °C; IR (KBr, cm-1): 1706 (C=O), 2710, 2875(CH-Ar); 1HNMR(300 MHz,-DMSO-d6, δ ppm): 9.10 (s, 1H, pyrazole, D2O exchangeable), 9.84 (s, 1H, CHO), 7.52-7.40 (m, 3H, Ar-H), 7.94 (s, 2H, Ar-H), 8.18-7.96 (m, 2H, Ar-H); MS (m/z): 385 [M+]; Anal. Calcd. for C17H9ClN4SO3: C, 53.07 %; H, 2.38 %; N, 14.58 %. Found: C, 53.16 %; H, 2.32 %; N, 14.70 %.
2-[3-(4-hydroxyphenyl)-4-formyl-pyrazol-1-yl]-6-chloro benzothiazole (5d)
Yield: 55 %; m. p. 178-180 °C; IR (KBr, cm-1): 1690 (C=O), 2768, 2880 (CH-Ar); 1HNMR(300 MHz, DMSO-d6, δ ppm): 9.16(s, 1H, pyrazole, D2O exchangeable), 9.98 (s, 1H, CHO), 7.62-7.52 (m, 3H, Ar-H), 7.83 (s, 2H, Ar-H), 8.26-8.10 (m, 2H, Ar-H); MS (m/z): 355 [M+]; Anal. Calcd. for C17H10ClN3SO2: C, 57.40 %; H, 2.85 %; N, 11.85 %. Found: C, 57.56 %; H, 2.92 %; N, 11.80 %.
2-[3-(4-methoxyphenyl)-4-formyl-pyrazol-1-yl]-6-chloro benzothiazole (5e)
Yield: 56 %; m. p. 280-283 °C; IR (KBr, cm-1): 1712 (C=O), 2775, 2876(C-H); 1HNMR (300 MHz, DMSO-d6, δ ppm): 9.08 (s, 1H, pyrazole, D2O exchangeable), 9.95 (s, 1H, CHO), 7.72-7.68 (m, 3H, Ar-H), 7.98 (s, 2H, Ar-H), 7.98-7.86 (m, 2H, Ar-H); MS (m/z): 369 [M+]; Anal. Calcd. for C18H12ClN3SO2: C, 58.46 %; H, 3.28 %; N, 11.38 %. Found: C, 58.56 %; H, 3.26 %; N, 11.56 %.
2-[3-(4-fluorophenyl)-4-formyl-pyrazol-1-yl]-6-chloro benzothiazole (5f)
Yield: 49 %; m. p. 267-270 °C; IR (KBr, cm-1): 1708 (C=O), 2769, 2803 (C-H); 1HNMR(300 MHz, DMSO-d6, δ ppm): 9.04 (s, 1H, pyrazole, D2O exchangeable), 9.80 (s, 1H, CHO), 7.77-7.66 (m, 3H, Ar-H), 7.94 (s, 2H, Ar-H), 7.84-7.71 (m, 2H, Ar-H); MS (m/z): 357 [M+]; Anal. Calcd. for C17H9ClFN3OS: C, 57.08 %; H, 2.56 %; N, 11.78 %. Found: C, 57.16 %; H, 2.59 %; N, 11.85 %.
2-[3-(4-aminophenyl)-4-formyl-pyrazol-1-yl]-6-chloro benzothiazole (5g)
Yield: 52 %; m. p. 146-150 °C; IR (KBr, cm-1): 1682 (C=O), 2786, 2890(C-H); 1HNMR(DMSO-d6, δ ppm): 9.12 (s, 1H, pyrazole, D2O exchangeable), 9.95 (s, 1H, CHO), 7.79-7.68 (m, 3H, Ar-H), 7.94 (s, 2H, Ar-H), 7.78-7.66 (m, 2H, Ar-H); MS (m/z): 355 [M+]; Anal. Calcd. for C17H11ClN4OS: C, 57.56 %; H, 3.14 %; N, 15.80 %. Found: C, 57.62 %; H, 3.22 %; N, 15.75 %.
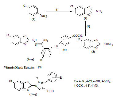
Scheme 1: Reagents and Conditions (i) Glacial acetic acid, KSCN, Br2, Stirring 10 h (ii) NH2. NH2. H2O, ethylene glycol, reflux for 3 h (iii) ethanol, reflux 5 h. (iv) DMF/POCl3, MWI
Antibacterial activity
In vitro antibacterial activity of the synthesized compounds (5a-g) was examined against Gram positive bacteria [Staphylococcus aureus (ATCC-25923)] and Gram-negative bacteria [Escherichia coli (ATCC-25922), Pseudomonas aeruginosa (ATCC-27853) and Klebsiella pneumoniae (MTCC-432)] by measuring zone of inhibition.
The antibacterial activity was performed by disc diffusion method at the concentration level of 100 µg/ml. Norfloxacin was used as the standard drug at a concentration of 100 µg/ml. Nutrient agar was used as culture media and DMSO was used as the solvent control. The results of antibacterial activity of synthesized compounds are shown in table 1.
Antifungal activity
In vitro antifungal activity of the synthesized compounds (5a-g) was examined against Aspergillus niger (MTCC-281) and Candida albicans (ATCC 2099)by measuring the zone of inhibition. The antifungal activity was performed by disc diffusion method at the concentration level of 100 µg/ml. Ketoconazole was used as the reference drug for antifungal activity at the concentration level of 100 µg/ml. Sabouraud dextrose agar was used as culture media and DMSO was used as the solvent control. The results of antifungal activity of synthesized compounds are shown in table 2.
Table 1: Antibacterial activity of the title compounds (5a-g)
Compound |
Inhibition rate a(%) |
|||
S. aureus (ATCC-25923) |
E. coli (ATCC-25922) |
P. aeruginosa (ATCC-27853) |
K. pneumoniae (MTCC-432) |
|
5a |
72±1.6 |
80±0.9 |
75±3.5 |
71±1.9 |
5b |
89±1.7 |
80±1.2 |
88±3.8 |
94±1.0 |
5c |
94±2.9 |
93±2.5 |
94±2.8 |
94±1.2 |
5d |
44±0.9 |
53±1.1 |
50±1.6 |
53±0.9 |
5e |
50±2.4 |
60±1.2 |
63±1.9 |
59±2.6 |
5f |
39±2.7 |
53±3.2 |
50±2.2 |
53±3.2 |
5g |
50±3.9 |
53±2.4 |
56±3.4 |
53±3.8 |
Norfloxacin |
100±3.7 |
100±4.9 |
100±4.2 |
100±4.8 |
aAverage of three replicates, MIC at 100 µg/ml
Table 2: Antifungal activity of the title compounds (5a-g)
Compound |
Inhibition rate a(%) |
|
A. niger (MTCC-281) |
C. albicans (ATCC 2099) |
|
5a |
79±2.3 |
80±1.4 |
5b |
86±3.6 |
80±1.8 |
5c |
93±4.4 |
93±2.2 |
5d |
57±1.8 |
53±2.7 |
5e |
57±2.6 |
60±3.1 |
5f |
71±3.8 |
60±4.2 |
5g |
64±5.1 |
67±3.7 |
Ketoconazole |
100±3.5 |
100±4.5 |
aAverage of three replicates, MIC at 100 µg/ml
RESULTS AND DISCUSSION
The synthesis of various 2-[3-(4-substitutedphenyl)-4-formyl-pyrazol-1-yl]-6-chloro benzothiazole derivatives (5a-g) was accomplished as presented in Scheme 1. It involves the cyclization of p-chloro amine and formation of compound (2), through KSCN then involves the reaction of hydrazine hydrate with compound (2) in the presence of ethylene glycol and formation of compounds (4a-g) through reaction of different methyl phenyl ketones in the presence of ethanol and compound (3) by refluxing for 6 h.
Then Vilsmeier Haack reaction was applied to benzothiazole hydrazones (4a-g) under MWI for 45-120 s to obtain corresponding formylated pyrazolyl benzothiazoles (5a-g)in fairly good yields. The structures of all the new synthesized compounds have been confirmed through their elemental analysis, IR and 1HNMR, and mass spectra. The IR spectra exhibited a strong characteristic band in the region 1690-1720 cm-1 due to C=O (str.), and a weak band in the region 2730-2785 cm-1 due to C-H (str.) of the aldehyde group present in the pyrazole ring while their 1HNMR spectra showed two sharp singlets at δ 9.05 and δ 9.95 confirmed the presence of C5-H of the pyrazole ring and C-H of the C4-aldehyde group respectively. The synthesized compounds were evaluated for their anti-bacterial activity against S. aureus, E. coli, P. aeruginosa and K. pneumoniae and anti-fungal activity against A. niger and C. albicans. TheCompounds 5c, 5b, 5a, showed excellent anti-bacterialand antifungal activity due to substitution of electron withdrawing groups (Cl, Br, NO2) on 4-position of phenyl ring while the activity is sharply decreased by the substitution of electron donating (OCH3, NH2, OH) groups at 4-position of phenyl ring. Compounds 5c, 5b, 5a were also found to have good activity againstA. niger and C. albicans.
CONCLUSION
Herein, we have described an efficient and convenient synthesis of a new series of 2-[3-(substituted phenyl)-4-formylpyrazol-1-yl]-6-chloro benzo thiazole derivatives (5a-g). The structures of these new heterocyclic compounds containing both aminobenzo thiazole and pyrazole ring systems were confirmed by spectral (IR, 1HNMR, Mass) and elemental analysis (C, H, N) analysis and were evaluated for their in vitro antibacterial and antifungal activities. The compounds with electron withdrawing groups on 6-position of benzothiazole ring and 4-position of the phenyl ring showed excellent antibacterial and antifungal activities. Thus, the significant antibacterial and antifungal profiles of 6-chloro-1,3-benzothiazolyl-2-yl pyrazole derivatives offer as promising lead molecules for further synthesis of potent compounds of this series.
ACKNOWLEDGEMENT
The authors are thankful to Jamia Hamdard and IPC, Ghaziabad for providing facilities for spectral analysis of compounds.
CONFLICT OF INTERESTS
Declared None
REFERENCES