
Department of Periodontology, Faculty of Dental Sciences, Sri Ramachandra University, No.1 Ramachandra Nagar, Porur, Chennai 600116, India
Email: chennaidentist@gmail.com
Received: 01 Jul 2015 Revised and Accepted: 08 Aug 2015
ABSTRACT
Objective: a)To estimate the ideal percentage of polymer (methyl cellulose) and the drug (simvastatin) for controlled release gel. b) To evaluate the release kinetics and physical property.
Methods: Drug polymer interaction was studied using Differential Scanning Calorimeter (DCS) and Fourier Transform Infrared Spectroscopy (FTIR). Simvastatin powder was hydrolysed to active simvastatin hydroxyl acid. Nine gel formulations using three different concentrations of simvastatin (SMV) (1.2%, 1.7% and 2.2%) and three concentration of methyl cellulose (MC) (4%, 5% and 6%) were prepared. Drug release kinetics of 9 formulations was assessed using open end tube method with the dialysis membrane. The physical property was studied using rheometer.
Results: DSC and FITR results showed no drug polymer interaction. The release kinetics of all nine formulations was in a controlled manner. 4% MC 2.2% SMV, 5% MC 2.2% SMV, 6% MC 2.2% SMV showed controlled drug release compared to other six formulations. The pH of all the nine formulations ranged between 6.21–6.25. The drug content of each formulation was above 97.9%.
Conclusion: This study showed that increase in polymer concentration in the gel increased the controlled release of the drug and addition of the drug to the gel decreased the viscosity of the gel.
Keywords: Simvastatin, Methyl cellulose, Controlled release gel
© 2016 The Authors. Published by Innovare Academic Sciences Pvt Ltd. This is an open access article under the CC BY license (http://creativecommons.org/licenses/by/4.0/)
INTRODUCTION
Gingival epithelium acts as a physical barrier to oral microorganisms [1] and it is constantly moistened by saliva. Oral cavity harbours unique microbial flora; an interaction between the host and the bacteria causes epithelial destruction leading to inflammatory periodontal diseases. Local drug delivery of antimicrobial agents [2], non steroidal anti-inflammatory agents (NSAIDS) [3] and anaesthetics [4] by means of topical application and sub-gingival [5] route is a non invasive treatment option employed in the treatment of oral diseases and conditions. Statins are specific competitive inhibitors of 3-hydroxy 2-methyl-glutaryl coenzyme A (HMGCoA) reductase originally used to lower cholesterol level [6]. The anti-inflammatory action [7] of statins permits its use to treat various inflammatory conditions other than hyper lipedimia. The anti inflammatory [8] and bone regenerative properties [8] of statins could aid in the treatment of inflammatory periodontal diseases and subsequently aid in bone regeneration. In a clinical scenario, in order to achieve the anti inflammatory and bone regenerative property of the drug, it has to be released in a controlled manner to the specific site. Various polymers have been used in local drug delivery systems depending on its interaction with the drug. Local drug delivery agents can be used in various forms like gels and microspheres [9]. Vehicles such as lactide/glycolide polymer, hydroxypropyl methyl cellulose and carbopol have been used in various studies [9-11]. Hydroxypropyl methylcellulose (HPMC) has been widely studied for their applications in oral sustained release (SR) systems. The rate of drug release from HPMC matrix is dependent on various factors such as type of polymer/drug, polymer/drug ratio, particle size of drug/polymer and the type and amount of fillers used in the formulation [12]. Previous studies have used 4% HPMC polymer and either 1.2% simvastatin (SMV) [8] or 2.2% SMV [13] drug for gel formulation. Till date, the physical properties, drug release kinetics and ideal concentration of HPMC and SMV for gel formulation have not been evaluated in vitro. Hence this study was undertaken to estimate the ideal percentage of polymer (methyl cellulose) and the drug (simvastatin) which can release adequate amount of drug over a time period to produce the desired effect.
MATERIALS AND METHODS
Commercially available methyl cellulose 4000cps (MC) powder (Central drug house, New Delhi) and simvastatin powder (SMV) (Microlabs, Mumbai) were procured. Preformulation studies to assess the interaction between simvastatin and methyl cellulose was performed prior to gel formulation.
Differential scanning calorimetry (DSC)
Thermal characterization of SMV, MC and mixture of MC/SMV was performed with differential scanning calorimeter. All the samples were weighed individually (2.00±0.5 mg) and placed in sealed aluminium pans and scanned at a temperature 20 °C/min from 25 °C to 300 °C.
Hydrolysis of simvastatin
Simvastatin powder was converted to the active simvastatin hydroxyl acid by dissolving weighed amount of simvastatin powder in 95% ethanol, 0.1M sodium hydroxide (NaOH) and heated at 50oC for two hours and then the pH was adjusted to 7.4 by adding 0.1M hydrochloric acid (HCl) and stored at-20 °C [14].
Preparation of methyl cellulose gel
Nine formulations of methyl cellulose simvastatin gel were prepared (table 1). 4% methyl cellulose gel was prepared by dispersing 2 gm of methyl cellulose powder in 50 ml of distilled water with continuous stirring, 5% methyl cellulose was prepared by dispersing 2.5 gm of methyl cellulose and 6% methyl cellulose gel was prepared by dispersing 3 gm of methyl cellulose powder in 50 ml of distilled water respectively. Three concentrations of SMV 1.2%, 1.7% and 2.2% were previously added to distilled water with continuous stirring. The prepared gel was stirred well in a mechanical stirrer to get a homogenous mix.
Table 1: Formulations of methylcellulose gel and codes
Formulation code |
Methyl cellulose (%) |
Simvastatin (%) |
F1 |
4 |
1.2 |
F2 |
4 |
1.7 |
F3 |
4 |
2.2 |
F4 |
5 |
1.2 |
F5 |
5 |
1.7 |
F6 |
5 |
2.2 |
F7 |
6 |
1.2 |
F8 |
6 |
1.7 |
F9 |
6 |
2.2 |
Development of method to estimate simvastatin
The solutions of SMV were prepared separately in methanol at a concentration of 6μg/ml. It was scanned in the wavelength range of 200-400 nm. Data were recorded at an interval of 1 nm. The spectra of the drug was drawn to obtain the over line spectra. The wavelength selected for SMV analysis was 236 nm.
Construction of calibration curve
Standard stock solutions were prepared by dissolving 100 mg of the drug samples in 100 ml volumetric flask separately and the volume was made up with methanol to get a concentration of 1 mg/ml. From this, suitable dilutions were made in methanol to get the working standard solutions of 4-16μg/ml for SMV. The absorbance values at 236 nm were determined for different concentration range 4-16mcg/ml for working standards (fig. 1) [15].

Fig. 1: Calibration curve of simvastatin
Sample size n=3. Values expressed as mean±SEM
Analysis of in vitro release profile of the drug
Open end tube
The donor compartment of the open end tube was a cylindrical glass tube sealed at the one end with a single layer of dialysis membrane, 1 mg of gel was taken in the open end tube and placed on the inner side over the dialysis membrane which was immersed to 1 cm depth into the beaker (receptor compartment) containing 50 ml of phosphate buffer saline (PBS) ph 7.4. A magnetic bead was suspended at the bottom of the receptor compartment. The temperature was maintained at 37±1 °C throughout the study. Magnetic stirrer is used to for continuous stirring of the buffer in the receptor compartment and to maintain a constant temperature. Aliquots of 3 ml were withdrawn periodically at intervals of 15 min up to 312 h and was replaced with 3 ml of fresh PBS which was pre heated to 37±1 °C. The amount of drug release was estimated using UVspectrophotometer at 236 nm.
UV spectrometer analysis
The U-V spectrometer was set to 236 nm and both the cuvettes were filled with PBS of pH 7.4 and absorbance were checked. Keeping one cuvette with PBS as control the other cuvette was loaded with sample and absorbance was noted at 236 nm. the same method was repeated for all the samples.
Estimation of drug content in the formulated gel
1 mg of the gel was dissolved in 10 ml of PBS in a volumetric flask and filtered. Absorbance values were measured at respective ƛmax (236 nm) using UV spectrometer. Concentrations of drug were calculated from the standard calibration curve.
Surface pH of the gel
An acidic or alkaline formulation is bound to cause irritation on the mucosal membrane and hence this parameter assumes significance while developing a mucoadhesive formulation. The surface pH was determined by using a digital glass electrode pH meter. pH was noted by bringing the electrode near the surface of the formulations and allowing it to equilibrate for one minute.
Viscosity of the gel
The viscosity of the 4%, 5%, 6% methyl cellulose gel without SMV and 6% methyl cellulose gel with 2.2% SMV were estimated using rheometer. The diameter of rheometer plate and interplate were 20.05 mm and 0.052 mm respectively; whereas the cone angle was 1 °. The shear stress value was increased automatically by the instrument to a maximum value of 1000 Pascal (Pa) over a time period of 20 seconds.
Stability studies
The selected final formulation (F9) was subjected to a stability testing for six months as per the International Conference on Harmonisation (ICH) norms at a temperature of 40ºC ± 2°C. At various time intervals drug content and pH were analysed [16].
RESULTS
Fourier transform infrared spectroscopy (FTIR)
FTIR analysis revealed that the functional groups of the methyl cellulose and simvastatin remained unaltered when the analysis was carried out individually for simvastatin and methyl cellulose as well as when simvastatin and methylcellulose were mixed and assessed.
DSC
In thermal characteristic study, it was observed that the melting point of methyl cellulose started at 65.7oC and the peak occurred between 105oC to 110oC (fig. 2a). The melting point of simvastatin started at 132oC and the peak occurred between 140oC to 145oC (fig. 2b). When simvastatin and the methyl cellulose were mixed and scanned, the peaks of simvastatin and methyl cellulose remained unchanged (fig. 2c).

Fig. 2: Thermal analysis of methylcellulose and simvastatin-2a: Methyl cellulose, 2b: Simvastatin, 2c: Methyl cellulose and simvastatin
In vitro drug release
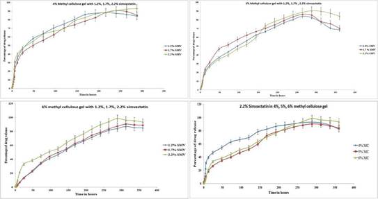
The drug release profile of each formulation showed that all nine formulations demonstrated a controlled release. 2.2% SMV with 4%, 5%, 6% MC gel (F3, F6, F9) showed a longer duration of controlled release compared to other formulations. The drug release of all the formulations are shown in fig. 3 (fig. 3a, 3b, 3c, 3d).
Drug content, pH and appearance
The pH of all the formulations was between 6.22±0.014 and the drug content varied from 97.9±0.1 in formulation F1 to 99.9±0.06 in formulation F9. But the appearance of all the formulations was clear (table 2).
Viscosity
The viscosity of 4% methylcellulose gel without simvastatin (P1) was 28.58 Pa·s which increased to 87.35 Pa·s for 6% methyl cellulose gel without simvastatin (P3). When the simvastatin was added to 6% methylcellulose gel the viscosity decreased to 85.35 Pa·s. (table 3)
Viscosity in relation to shear
When the shear rate was increased from 0 to 10,000 for all the four formulations 4%, 5%, 6% methyl cellulose gel without simvastatin and for 6% methyl cellulose gel with 2.2% simvastatin the viscosity increased from 0 to 85 Pa·s for all the formulations (fig. 4).

Fig. 3: In vitro drug release profile
Sample size n=3. Values expressed as mean±SEM. X axis represents percentage of drug released and y axis represents time in h
Table 2: Drug content in the 1 gm of each formulation
Formulation code |
pH |
Drug content (%) |
Appearance |
F1 |
6.22±0.0153 |
97.9±0.1 |
Clear |
F2 |
6.21±0.0173 |
98.9±0.5 |
Clear |
F3 |
6.25±0.0379 |
99.2±0.85 |
Clear |
F4 |
6.21±0.0400 |
98.1±0.95 |
Clear |
F5 |
6.22±0.0400 |
98.3±0.55 |
Clear |
F6 |
6.22±0.0802 |
99.2±0.35 |
Clear |
F7 |
6.20±0.0321 |
98.2±0.6 |
Clear |
F8 |
6.22±0.0252 |
99.4±0.5 |
Clear |
F9 |
6.23±0.0611 |
99.9±0.06 |
Clear |
Values are expressed as mean±SD (standard deviation), sample size n=3

Fig. 4: Viscosity of the gel formulations in relation to shear
Table 3: Viscosity of the selected gel formulation
S. No. |
Methyl cellulose |
Simvastatin |
Viscosity[Pa. s]* |
code |
1 |
4% |
- |
28.58±1.02 |
P1 |
2 |
5% |
- |
42.42±0.53 |
P2 |
3 |
6% |
- |
87.35±1.35 |
P3 |
6 |
6% |
2.2% |
85.32±1.24 |
F9 |
Values are expressed as mean±SD (standard deviation), sample size n=3, *Pa·s = Pascal-second
Table 4: Physical property of the selected F9 formulation
Formulation code |
Duration (months) |
pH |
Drug content (%) |
Appearance |
F9 |
0 |
6.23±0.0611 |
99.9±0.06 |
Clear |
1 |
6.23±0.0404 |
98.3±0.56 |
Clear |
|
2 |
6.24±0.0351 |
98.1±0.96 |
Clear |
|
3 |
6.27±0.0200 |
97.6±0.36 |
Clear |
|
6 |
6.25±0.0100 |
97.1±0.26 |
Clear |
Values are expressed as mean±SD (standard deviation), sample size n=3, F9 = MC 6% and SMV 2.2%.
Stability
The stability of the methyl cellulose gel for the formulation F9 was assessed at 1, 2, 3 and 6 mo post formulation. The drug content was 99.9±0.06% at base line and 97.1±0.26 % after 6 mo. No change was observed in the pH due to storage; however change in the drug content was elicited as storage time increased. The appearance of the gel remained clear throughout the observation period (table 4).
DISCUSSION
For a drug to exert its property, effectively it must be delivered to the site along with an appropriate carrier at an adequate concentration and the drug must be able to leach out from the carrier into the surrounding milieu, for a considerable period of time. Thus, ideal concentration of both the drug and the carrier medium must be developed [14]. Compared the efficiency of simvastatin released from a sustained and intermittent released device and reported that simvastatin released from both the devices were effective in bone formation but intermittent release device showed better efficacy using cellulose acetate phthalate and pluronic F-127 as carrier medium. In this study, a total of nine groups were compared in order to determine the ideal combination of the carrier and drug which could release the active form of drug in a controlled release manner over time.
The percentage of drug release from the three different concentrations of the carrier medium, each having three different drug concentrations was compared in this study. Previous studies had utilised 1.2% SMV and 2.2% SMV for human and animal model respectively. In the present study, an intermediate concentration (1.7% SMV) was included to evaluate if the desired therapeutic drug release could be achieved. Hence, we have taken three concentrations (1.2%, 1.7% 2.2%) of simvastatin and incorporated into three concentrations of a carrier agent, methyl cellulose (4% 5%and 6%). Methylcellulose (MC) has been used extensively as a drug vehicle for various pharmaceutical applications and is generally considered as safe by the Food and Drug Administration. It is a promising biocompatible injectable scaffold for the repair of defects in the brain, nerve gap injuries and spinal cord injuries. Although methylcellulose gel is not readily metabolized in vivo, it does swell and erode as time goes by and the in vitro and in vivo results prove the safety of methylcellulose when placed or given to humans. FTIR spectroscopy result revealed that there is no interaction between MC and SMV as all the functional groups of SMV and MC remained unchanged when they were assessed as a mixture. Similarly, the thermal characteristics of MC and SMV were analysed by DSC and the peaks for MC and SMV remained constant in the mixture. This implies that no interaction had occurred between drug and the polymer when exposed to high temperature. Hence the FTIR and DSC proved that there is no alteration in the individual property of the MC and SMV and they MC is one of the appropriate polymer for SMV.
The drug release from all the nine formulations demonstrated a sustained release. As the concentration of the polymer increased the sustained release of the drug prolonged (fig. 3). The three gel formulations with 4% methyl cellulose (F1,F2,F3) showed a sustained release (fig. 3a); the F3 formulation with 2.2% SMV reached the peak of 93% drug release in 288 h and exhibited a decline thereafter, whereas the other two formulations F1 and F2 showed 87% and 90% drug release respectively. In 5% methyl cellulose formulations (F4, F5, F6) the maximum drug release percentage was observed in F6 formulation compared to F5 and F4 after 288 h. In 6% methyl cellulose formulations (F7, F8, F9) the peak drug release of 98% was achieved in F9 after 288 h whereas in F8 the peak release of 90% was achieved after 312 h and in F7 formulation 87% in 312 h.
It was hypothesized that the initial concentration of the drug is directly proportional to the peak cumulative percentage of the drug release. Drug release was observed to be increased in all the three polymer concentration (4%, 5%, 6%). 2.2% SMV had sustained release for more period and reached the peak drug release of 90%. Hence 2.2% of the drug concentration with 4%, 5% and 6% methyl cellulose were compared. At 288 h the peak drug release of 93% for 4% MC, 90% for 5% MC and 98% for 6%MC were achieved. This indicated that if the polymer concentration is higher, then the cumulative drug release decreases every hour and increases the duration of release. The surface pHs of all the simvastatin gels was 6.22±0.014. pH of the simvastatin gel did not become acidic after addition of simvastatin in the form of simvastatin hydroxyl acid. This could possibly be due to neutralization of the acid to pH 7.4 before incorporating into the gel which makes it safe for intraoral topical application.
The viscosity of the 4%, 5% and 6% methyl cellulose gels (P1, P2, P3) without simvastatin were 28.58±1.02Pa·s, 42.42±0.53Pa·s and 87.35±1.35Pa·s respectively (table 3). It shows that the viscosity increased as the concentration of the polymer increased. After addition of SMV in 6% methyl cellulose gel, the viscosity of 6% MC gel without the drug decreased to 85.32±1.24Pa·s from 87.35±1.35Pa·s.
This could be attributed to the fact that the drug was added in a liquid form and the presence of alcohol in simvastatin which was initially used to convert the simvastatin powder to the active form. Hence, the liquid form of the drug had decreased the viscosity and increased the flowability of the F9 formulation compared to P3 formulation. The drug content in 1 gm of the gel in each formulation (F1 to F9) varied depending upon the polymer and drug concentration (table 2). But the drug content in one gram of the each formulation showed that there was a homogenous distribution of the drug in each formulation. The ph remained the same in all the nine formulations which showed that increase in the drug or polymer concentration did not affect the ph of the formulations.
As the shear stress increased gradually on the rheometer, the viscosity also increased gradually in all the four groups (P1, P2, P3 and F9). This showed that addition of simvastatin did not affect the viscosity in relation to sheer (fig. 4).
The F9 formulation was stored for a period of six months the drug content, pH and appearance was assessed at baseline, 1 2, 3 and 6 mo after formulation. The drug content was decreased from 99.9±0.06% at base line to 97.1±0.26% after 6 mo (table 4). This shows that there was a loss of drug content as the storage period increased. Furthermore, the pH and the appearance of the gel were not affected due to storage.
CONCLUSION
6% methyl cellulose with 2.2% simvastatin gel (F9 formulation) showed prolonged controlled release. Increase in the concentration of the drug resulted in achieving a controlled release for a longer duration. In the present in vitro condition simvastatin followed zero order kinetics pattern of drug release. Further studies on the formulation of an in situ gel for oral application could extend the use of this gel to treat periodontal diseases. However, the anti inflammatory and anti microbial properties need to be evaluated in vivo to optimise the ideal therapeutic concentration.
ACKNOWLEDGEMENT
The authors thank an Indian Council of Medical Research (ICMR) for their support as this work is a part of a PhD program supported by ICMR, New Delhi, India.
CONFLICT OF INTERESTS
Declared None
REFERENCES