
1Department of Botany, Taki Government College, Taki, West Bengal, India, 2Department of Botany, Taki Government College, Taki, West Bengal, India
Email: mala.neogy@gmail.com
Received: 02 Jul 2015 Revised and Accepted: 10 Sep 2015
ABSTRACT
Objective:The study was carried out to evaluate the phytochemical constituents of three very commonly used leafy vegetables of West Bengal namely Bacopa monnieri (Brahmi sak), Lagenaria siceraria (Lau sak) and Spinacia oleracea (Palong sak). Antioxidant potential of leaf and stem in raw and boiled forms was studied.
Methods:Aqueous, methanolic and ethanolic extract of the three leafy vegetables were prepared. Qualitative detection of phytochemical constituents from the extracts was done. Phenol, Flavonoid, vitamin C, vitamin E, content and DPPH assay were done using standard protocols from methanolic extracts.
Results:Leaf samples of the vegetables under consideration contain higher amount of phenol, flavonoid, vitamin C, vitamin E, than the stem samples. Considering raw and boiled condition, raw samples contain higher amount of flavonoid, vitamin C, vitamin E, from their boiled counterpart whereas boiled samples contain higher amount of phenols. The total antioxidant capacity was positively correlated with total phenolic content and flavonoid content.
Conclusion:Cooking reduced the free radical scavenging activities with certainty to varying extent. Among the three leafy vegetables under consideration, Spinacia oleracea was richest in phenol, flavonoid and vitamin E content and was more active as a free radical scavenger with low IC50 radical scavenging activity.
Keywords: Antioxidative property, Leafy vegetables, Phytochemical constituents, Phenol, Flavonoid, Vitamin E, Vitamin C, DPPH.
© 2016 The Authors. Published by Innovare Academic Sciences Pvt Ltd. This is an open access article under the CC BY license (http://creativecommons.org/licenses/by/4.0/)
INTRODUCTION
Free radicals are molecules containing unpaired electrons and are highly reactive. They are capable of attacking the healthy cells of the body, causing them to lose their structure and function. Cell damage caused by free radicals appears to be a major contributor to ageing and degenerative diseases such as cancer, cardiovascular disease, cataracts, immune system decline, liver diseases, diabetes mellitus, inflammation, renal failure, brain dysfunction and stress among others [1, 2]. Antioxidants are molecules that can neutralize free radicals by accepting or donating an electron to eliminate the unpaired condition. They scavenge free radicals and stop the propagation of free radical chain reactions [3]. The most significant chain breaking antioxidants are vitamin C and E, carotenoids and polyphenols [4-6]. Plants like Salvia viridis, Dracocephalum moldavica L, Centella asiatica, Nyctanthes arbortritis, Ipomoea reptans [7, 8] Bacopa monnieri [9] different species of Ocimum [10] showed strong antioxidant capacity. Pourmord et al. [11] reported that the extract of Mellilotus officinalis showed radical scavenging effect about four times greater than synthetic antioxidant butylated hydroxy toluene (BHT). Fruits [12] and vegetables [13] contain high amount of antioxidant compounds. Among vegetables, leafy vegetables are cheaper and widely available and are therefore consumed in quite higher amount, both in raw and cooked form by all sections of the population. Although antioxidants play neuroprotective and neuro regenerative roles [14] but excess antioxidants added to food might produce toxicity or mutagenicity [15]. Therefore, development and utilization of antioxidants, in the specific quantity, of natural origin is desired. Thus, interest in research of natural antioxidant, especially of plant origin, has greatly increased in recent years.
In this section of work, commonly consumed three leafy vegetables were chosen for qualitative screening of the phytochemical composition. Study of antioxidant properties (both in raw and boiled form) was evaluated to know whether these have the potentials to substitute synthetic antioxidants which are commonly consumed.
MATERIALS AND METHODS
Plant material and extract preparation
Bacopa monnieri (Brahmi sak), Lagenaria siceraria (Lau sak) and Spinacia oleracea (palong sak) were purchased from the local market. They were de-rooted, washed thoroughly and rinsed in distilled water. For phytochemical analysis leaves were collected and dried. 10 g of dried leaf powder of each sample was extracted successively with distilled water, ethanol and 80 % methanol. After 24 h extracts were filtered. These extracts were then used for phytochemical tests. About 10 g of leaf and stem of the three leafy vegetables under consideration were added to 100 ml. of boiling water and cooked for 5 min, before extractions. 10 g of dry tissue each of raw and cooked samples were finely powered, mixed with 15 ml of 80 % methanol and stored at room temperature. After 24 h, extracts were filtered, and residues were re-extracted with equal volume of solvents. Extracted supernatants were evaporated to dryness using the rotary evaporator. Organic solvents (used in single or mixed forms), like polar ones, are suitable for extraction of biologically active plant ingredients [16].
Relative water content
Fresh weight of the samples was taken and allowed to dry in an oven at 70 °C for 5 d. Dry weights were taken, and the differences of fresh and dry weights (water content) were recorded.
Qualitative detections of phytochemical constituents
For qualitative screening of phytochemical, various chemical tests were carried out on aqueous, methanolic and ethanolic extract of the three leafy vegetables using standard methods by Harborne [17] and Kokate et al. [18].
DPPH based free radical scavenging assay
Free radical scavenging activity of the raw leaf samples was measured on the basis of the scavenging activity of the stable 1, 1-diphenyl-2-picrylhydrazyl (DPPH) free radical [19]. Absorbance at 517 nm was determined after 30 min, and percent inhibition activity was calculated.
Estimation of total phenol content
Total phenol content was assayed according to Malick and Singh [20] with minor modification. The concentration of total phenols was expressed as µg catechol/µg dry weight.
Estimation of total flavonoid content
Total flavonoid content was assayed according to Change et al. [21] with minor modifications. Total flavonoids were expressed as μg quercetin equivalent/g of dry extract.
Estimation of vitamin C content
Total vitamin C content was estimated according to Omaye [22]. The concentration of total vitamin C was expressed as g ascorbic acid/100 g of dry extract.
Estimation of vitamin E content
Total vitamin E content was estimated according to Tsen [23]. The concentration of total vitamin E was expressed as µg tocopherol/100 g of dry extract.
Statistical analysis
All data are presented as means±SD. The mean values were calculated based on the data taken from at least three independent experiments conducted on separate days using freshly prepared reagents. Correlation analysis was used to determine relationships between antioxidant activities and total phenolics and total flavonoid contents.
RESULTS
Relative water content
Table 1 shows the three selected leafy vegetables, their families and the edible parts. Moisture content of leafy vegetables was highest in Spinacia oleracea followed by Bacopa monnieri and Lagenaria siceraria.
Qualitative detections of phytochemical constituents
Phytochemical analysis of aqueous, methanolic and ethanolic extract of the three leafy vegetables showed the presence of constituents such as glycosides, steroids, flavonoids, saponins, carbohydrates, proteins and tannin (table 2, 3, 4).
DPPH based free radical scavenging assay
Fig. 1. Shows IC50 value of methanolic extracts of Spinacia, Bacopa and Lagenaria to be 130 μg/ml, 220 μg/ml, and 275 μg/ml respectively. In the present study, Spinacia showed the highest scavenging activity (lowest IC50; 140 μg/ml) compared to Bacopa and Lagenaria.
The scavenging effects of extract increased with increasing concentrations. The percentage inhibition of concentration 100, 200, 300, 400 μg/ml was about 26, 49, 60, 69.61 % for Bacopa;19.37, 38.03, 55.37, 62.45 % for Lagenaria; 45.23, 62.14. 74.42, 78.79 % for Spinacia respectively (fig. 1).
Fig.1: Free radical scavenging activity of the crude extracts and IC50 measured in DPPH assay.
Total phenol content
In all the three vegetables amount of total phenol was higher in leaf than stem (fig. 2). Boiled leaves of Spinacia, Bacopa and Lagenaria were found to contain 40.86, 37.26 and 36 µg catechol/µg dry weight respectively which was slightly more than the phenol content in raw leaves of Spinacia (36.33 µg catechol/µg dry weight), Bacopa (34.46 µg catechol/µg dry weight) and Lagenaria (33.53 µg catechol/µg dry weight).
Table 1: Details of the experimental plants and their moisture content
Name of leafy vegetables |
Local name |
Family |
Edible parts |
Moisture content (%) |
Bacopa monnieri |
Brahmi sak |
Plantaginaceae |
leaves, tender shoots |
91±0.06 |
Lagenaria siceraria |
Lau sak |
Cucurbitaceae |
leaves, tender stems |
86.25±0.12 |
Spinacia oleracea |
Palong sak |
Amaranthaceae |
leaves, tender stems |
92±0.10 |
Table 2: Phytochemical screening of ethanolic, methanolic and aqueous extract of of Bacopa monnieri
Phytoconstituents |
Test/Reagents |
Ethanol extract |
Methanol extract |
Aqueous extract |
Carbohydrate |
a. Fehlings test |
- |
- |
- |
b. Benedict test |
- |
- |
- |
|
c. Barfoed test |
- |
- |
- |
|
Protein |
a. Xanthoproteic test |
- |
- |
+ |
b. Biuret test |
- |
- |
+ |
|
c. sulphur test |
- |
- |
+ |
|
Glycosides |
a. Keller-killani test |
+ |
- |
- |
b. Borntrager test |
- |
- |
- |
|
Flavonoids |
a. lead acetate |
+ |
+ |
+ |
b. NaOH |
+ |
+ |
+ |
|
Steroids |
a. Salkowski test |
- |
+ |
- |
Saponin |
a. foam test |
+ |
+ |
+ |
Tanin |
a. Ferric chloride |
- |
- |
- |
b. potassium dichromate |
+ |
- |
- |
(+): Present; (-): Absent.
Table 3: Phytochemical screening of ethanolic, methanolic and aqueous extract of of Lagenaria scieraria
Phytoconstituents |
Test/Reagents |
Ethanol extract |
Methanol extract |
Aqueous extract |
Carbohydrate |
a. Fehlings test |
- |
+ |
+ |
b. Benedict test |
- |
+ |
+ |
|
c. Barfoed test |
- |
+ |
- |
|
Protein |
a. Xanthoproteic test |
+ |
- |
+ |
b. Biuret test |
+ |
- |
+ |
|
c. sulphur test |
+ |
- |
+ |
|
Glycosides |
a. Keller-killani test |
+ |
+ |
- |
b. Borntrager test |
- |
- |
- |
|
Flavonoids |
a. lead acetate |
+ |
+ |
+ |
b. NaOH |
+ |
+ |
+ |
|
Steroids |
a. Salkowski test |
- |
+ |
- |
Saponin |
a. foam test |
+ |
+ |
+ |
Tanin |
a. Ferric chloride |
- |
- |
- |
b. potassium dichromate |
- |
- |
- |
(+): Present; (-): Absent
Table 4: Phytochemical screening of ethanolic, methanolic and aqueous extract of of Spinacia olerecea
Phytoconstituents |
Test/Reagents |
Ethanol extract |
Methanol extract |
Aqueous extract |
Carbohydrate |
a. Fehlings test |
- |
+ |
+ |
b. Benedict test |
- |
+ |
+ |
|
c. Barfoed test |
- |
+ |
- |
|
Protein |
a. Xanthoproteic test |
+ |
- |
+ |
b. Biuret test |
+ |
- |
+ |
|
c. sulphur test |
+ |
- |
+ |
|
Glycosides |
a. Keller-killani test |
+ |
+ |
- |
b. Borntrager test |
- |
- |
- |
|
Flavonoids |
a. lead acetate |
+ |
+ |
+ |
b. NaOH |
+ |
+ |
+ |
|
Steroids |
a. Salkowski test |
- |
+ |
- |
Saponin |
a. foam test |
+ |
+ |
+ |
Tanin |
a. Ferric chloride |
- |
- |
- |
b. potassium dichromate |
- |
- |
- |
(+): Present; (-): Absent
Fig.2: Phenol content of methanolic extracts of raw and boiled samples of Bacopa monnieri, Lagenaria siceraria and Spinacia oleracea
Flavonoid content
Flavonoid content of methanolic extracts of raw leaf samples ranged from 0.0052 μg quercetin/g dry wt. in Spinacia to 0.0042 μg quercetin/g dry wt in Lagenaria (fig. 3). Flavonoid content of methanolic extracts of boiled leaf decreased by 9.6% in Spinacia to 7.1% in Lagenaria.
Vitamin C content
In all the tested samples vitamin C content of leaves was relatively greater than stem in both raw and cooked form. Bacopa leaves contain higher amount of vitamin C (0.035 g/100 g sample) followed by Lagenaria (0.012 g/100 g sample) and Spinacia. (0.0113 g/100 g sample). Boiling significantly decreased the vitamin C content by 18%, 35.6% and 39.4% in leaves of Bacopa, Lagenaria and Spinacia respectively (fig. 4).
Fig.3: Flavonoid content of methanolic extracts of raw and boiled samples of Bacopa monnieri, Lagenaria siceraria and Spinacia oleracea
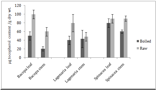
Vitamin E content
In all the three samples leaves contain relatively more vitamin E than stem of the same plant. Tocopherol content diminishes in the boiled samples, 10 % in Lagenaria stem to 66 % in Bacopa stem. Regarding boiled leaf samples, the decrease of 11 % in the case of Spinacia leaf to 50 % in case of Bacopa and Lagenaria leaf is observed (fig. 5).
Fig.4: Ascorbic acid content of methanolic extracts of raw and boiled samples of Bacopa monnieri, Lagenaria siceraria and Spinacia oleracea
Fig.5: Tocopherol content of methanolic extracts of raw and boiled samples of Bacopa monnieri, Lagenaria siceraria and Spinacia oleracea
![]() |
![]() |
a |
b |
![]() |
![]() |
c |
d |
![]() |
![]() |
e |
f |
Fig.6: Correlation between Phenol content and antioxidant activity in Bacopa monnieri (a), Lagenaria siceraria (b), Spinacia oleracea (c), and between flavonoid content and antioxidant activity in Bacopa monnieri (d), Lagenaria siceraria (e) and Spinacia oleracea (f)
DISCUSSION
All the studied three vegetables Bacopa monnieri (Brahmisak), Lagenaria siceraria (Lausak) and Spinacia oleracea (palanksak) has the high amount of water content ranging from 92 % in Spinacia to 86.25 % in Lagenaria.This data corresponds to the report that water is the most abundant component in all leafy vegetables [24].Phytochemical screening of these three plants indicates that plant extracts are rich in polyphenol, flavonoids andother secondary metabolites which may be responsible for the antioxidative efficacy.DPPH scavenging antioxidant assay have gained wide acceptance for rapid evaluation of antioxidative potentialof samples of interest [25]. Our results suggests that, Spinacia is more active as a free radical scavenger asshown by the lower optimal concentration compared to Bacopa and Lagenaria (fig: 1).Due to redox properties, antioxidative compounds play an important role in adsorbing and neutralizing freeradicals, quenching singlet and triplet oxygen or decomposing peroxides [26]. In plants, phenols play a vitalrole in scavenging free-radicals because of its hydroxyl groups [27]. Tanaka et al. [28], suggested thatpolyphenolic compounds have inhibitory effects on mutagenesis and carcinogenesis in humans, when consumedup to 1g per day through diet rich in fruits and vegetables. In our study leaves contain higher amount of phenolthan stem (fig. 2). High amount of phenol content was also reported by Ciz et al. [3] in leafy vegetables likecelery and parsley leaves. In our study, the boiled leaf and stem samples of all the three vegetables showadequately more phenol content than in raw samples indicating the fact that the samples retain their antioxidantproperties even after domestic processing. In contrast to the present findings Porter [29] reported that boiling for5 min led to a 59.77 % and 27.68 % reduction in total phenols in purple-sprouting broccoli and greenbroccoli.Naturally occurring flavonoids shows antioxidant property and can prevent lipid peroxidation, low densitylipoprotein oxidation, and the development of atherosclerosis and heart disease [30]. In our observationflavonoid content is higher in leaf than stem. Along with that, high amount of flavonoid is found in rawcondition than in the boiled condition of the three vegetables under consideration. The presence of high amountof flavonoid is also reported in red lettuce, Swiss chard, and red-onion by several workers [31-33]. In our study,spinach shows notable flavonoid content than other two vegetables (fig. 3) in both raw boiled conditions. Similar to the present finding, reduction in the flavonoid content after boiling is documented by Porter [29] in purple-sprouting broccoliafter boiling for 5 min.Correlation between antioxidant activity and phenol content shows, an increase in total antioxidant value corresponds to an increase in phenolic content. The total antioxidant capacity and total phenolic content arepositively correlated, R² = 0.977, R² = 0.988 and R² = 0.907, for Bacopa, Lagenaria and Spinacia leaf respectively (fig. 6).
Similar positive correlation are also found between antioxidant activity and flavonoid content, R² = 0.973, R² = 0.948 and R² = 0.964, for Bacopa, Lagenaria and Spinacia leaf respectively (fig. 6). Vitamin C is a naturally occurring antioxidant found in different plant products. Vitamin C can donate a hydrogen atom to a free radical molecule thereby neutralizing it, while becoming an ascorbate radical itself. In our study, high amount of vitamin C are noted in the leaves of studied vegetables both in raw and boiled condition. According to our observation, the amount of vitamin C is high in Bacopa in both raw and cooked form than Lagenaria and Spinacia (fig. 4). Our finding is in agreement with the previous report by Meena et al. [34]. Porter [29], reported that boiling for 5 min led to a considerable loss of vitamin C in green and purple broccoli. Same trend of results is also observed in our study. Vitamin C is highly water-soluble, so cooking in water may cause leaching of this vitamin into surrounding water. But no significant effect of steaming on the vitamin C content is reported by Yuan et al. [35]. Vitamin E is the important hydrophobic chain breaking antioxidant that protects membrane and plasma lipoprotein from free radicals [36]. A considerable good amount of vitamin E was reported by Chun et al. [37] in several vegetables. In our study the presence of high amount of tocopherol in Bacopa leaf makes it a good source of natural antioxidants (fig. 5).
Considering raw and boiled condition, raw samples contain higher amount of flavonoid, vitamin C, vitamin E, from their boiled counterpart whereas boiled samples contain higher amount of phenols. Cooking reduces free radical scavenging activities with certainty to varying extent. This is expected to have resulted from an array of effects, including damage, release and transformation of food components. This can be explained by longer cooking times, larger volumes of water and higher temperatures during boiling. Cooking in water seems to cause a leaching effect of antioxidants, and this increases with cooking time [38]. Alternative cooking methods through steaming should be considered for the optimal intake of antioxidants from cooked vegetables.
CONCLUSION
Among the three leafy vegetables under consideration, Spinacia have high concentration of phenol, flavonoid and vitamin E content and is more active as a free radical scavenger with low IC50 radical scavenging activities, indicating very high antioxidant activity compared to others. Lagenaria siceraria with low total phenol content and low flavonoid content and high IC50 values indicates low scavenging activity among the three vegetables of the present experiment. All the three vegetables studied could be a potential source of natural antioxidant that could have great importance as therapeutic agents in preventing or slowing the progress of ageing and age associated oxidative stress related degenerative diseases.
ACKNOWLEDGEMENT
Authors would like to thank Dr. Kamala Gupta and Dr. Gourab Gangopadhyay for their commendable support. Authors would like to thank the Principal, Taki Government College for sincere cooperation for the research work. This study was supported by a research grant from the University Grant Commission, Ministry of Science and Technology, India awarded to the corresponding author (grant no: PSW-102/11-12).
CONFLICT OF INTERESTS
Authors have declared no conflict of interest.
REFERENCES