
aDepartment of Pharmaceutical Chemistry, Faculty of Pharmacy, Health Sciences Center, Kuwait University, Safat 13110, Kuwait, bThe General Administration of Criminal Evidences, Ministry of Interior, Kuwait
Email: kyorabi@hsc.edu.kw
Received: 05 Jul 2015 Revised and Accepted: 08 Aug 2015
ABSTRACT
Objective: The objective of this research was to isolate and identify any potential synthetic cannabinoids disguised in the commercially available claimed-to-be herbal scent, known as “Funky Green Stuff™”.
Methods: Potential synthetic cannabinoids were extracted via percolating the content of the commercial herbal scent bag “Funky Green StuffTM” in methanol. Column chromatographic isolation afforded one main pure compound. Different spectral analyses established the identity of the isolated compound.
Results: Chromatographic purification afforded 372 mg (5.2% w/w enrichment ratio) of pure needle crystals. Spectral analyses revealed the identity of the isolated compound as the synthetic cannabinoid AB-FUBINACA, confirming the assumption that a synthetic cannabinoid was disguised as an herbal scent product.
Conclusion: Several scent herbal products, also known as “spice”, are used to disguise synthetic cannabinoids. Their detection proved to be troublesome since authentic standards are not yet available. The synthetic cannabinoid, AB-FUBINACA, was isolated from one of these products, and its identity was established based on its spectral data.
Keywords: AB-FUBINACA, Synthetic cannabinoids, Spice, Funky Green Stuff, Herbal scent, Spectral analyses.
© 2016 The Authors. Published by Innovare Academic Sciences Pvt Ltd. This is an open access article under the CC BY license (http://creativecommons.org/licenses/by/4.0/)
INTRODUCTION
The term designer drug refers to those drugs synthesized from substances that have been subjected to legal controls. However, designer drugs are not subject to the same legal restrictions as their precursors [1]. Moreover, designer drugs are legal to use, possess, and distribute with the condition that they must be marketed for purposes other than human consumption. As a result, users often provide little information regarding potential adverse side effects and drug interactions if ingested [2].
While designer drugs comprise a huge number of products, herbal products containing synthetic cannabinoids, more commonly called spice products, have recently become the subject of intense media attention and coverage. Herbal products containing synthetic cannabinoids are often advertised as an “incense blend” and are generally labeled “not for human consumption” by their manufactures [3].
Synthetic cannabinoids, also called cannabimimetics, are compounds that affect the endo cannabinoid system mainly through binding with the CB1 and CB2 receptors [4, 5]. Synthetic cannabinoids are chemically unrelated compounds that function similarly to Δ9-THC [6]. They produce a number of psychoactive effects including euphoria, sensory perception enhancements, severe memory impairments, and hallucinations [7].
The names of these compounds reflect mainly their academic or pharmaceutical origin and, sometimes, their chemistry. For example, JWH-compounds, such as JWH-018 and JWH-073 are the initials of the chemistry professor John W. Huffman who first synthesized these compounds. AM compounds, such as AM-630, refer to Professor Alexandros Makriyannis, while HU, in HU-210, refers to the Hebrew University [8].
Products of these compounds first appeared in 2004 in Europe mixed with herbal products and were advertised as natural herbal incense. Examples of these products are “Spice Diamond”, “Spike”, and “Funky Green Stuff” among others. However, it was found that these products are produced by mixing synthetic cannabinoids with dried herbs or by spraying them dissolved in organic solvents [9].
These products are so popular because they offer an alternative to natural cannabis, in addition to the fact that there are currently no accurate, reliable screening tools to detect them in the human body [6]. Also, these products are consumed by those who want a legal alternative to illegal drugs and experimental drug users, especially teenagers and young people between the ages of 25 and 40 [6].
These compounds typical doses are usually less than 1 mg due to their much higher potency than Δ9-THC [6]. Packages of synthetic cannabinoids products were initially sold via internet shops but are now being sold in head shops, local tobacco shops, and gas stations [10].
In December 2008, forensic chemical analysis done in Germany and Austria revealed that the psychoactive properties of herbal mixtures, such as ‘Spice’, were the direct result of added synthetic cannabinoids [3].
Days before, the presence of an aminoalkylindole called JWH-018 was identified in several samples of spice products [11]. Subsequent analyses of spice products in laboratories across Europe, including Finland, France, Hungary, Poland, and the United Kingdom, also confirmed the presence of synthetic cannabinoids [6].
Little is known about the metabolism and toxicity of synthetic cannabinoids, as these products were only tested in the laboratory [3]. However, there are reasons for concerns that these products may cause more harm than natural cannabis. One reason is their high affinity and potency, as some synthetic cannabinoids, e. g., HU-210, are reported to have 4-5 times the binding affinity for CB1 receptor of Δ9-THC [12, 13]. Even more worrying, based on its structure, it is presumed that the synthetic cannabinoid JWH-18 may possess carcinogenic properties [12].
Synthetic cannabinoids are classified according to their chemical structures (fig. 1). According to the United Nations Office on Drugs and Crime (UNDOC) [14], these compounds are classified into: classical cannabinoids, non-classical cannabinoids (e. g., cyclohexylphenols, 3-arylcyclohexanols), hybrid cannabinoids, aminoalkylindoles (e. g., naphthoylindoles, phenylacetylindoles, benzoyl indoles, and napthylmethylindoles), and others (e. g., endocannabinoids and their synthetic analogues, diarylpyrazoles, derivatives of naphthalene-1-yl, and methanone).
1) Classical Cannabinoids |
2) Non-classical cannabinoids, e. g., cyclohexylphenols |
3) Aminoalkylindoles, e. g., naphthoylindoles, phenylacetylindoles and benzoylindoles: |
|
Fig. 1: Some synthetic cannabinoids
The information on the pharmacokinetics and pharmacodynamics of synthetic cannabinoids is scarce compared to natural cannabis. A study done by Teske, et al. showed that the maximum concentrations of JWH-018 were found 5 min after smoking the incense ‘smoke’. These maximum concentrations lasted for 3 h, while the parent compound was still detectable until 48 h after administration [15]. In chronic users, large quantities of these lipophilic compounds are likely to accumulate in fat-containing compartments after absorption.
Metabolism studies on these compounds are not easily conducted, due to the ethical concerns regarding administering such products in humans [8]. Thus, studies available on the metabolism of synthetic cannabinoids are either based on human liver microsomes experiments or human urine samples analysis from caught users or conducted self-experiments, with aminoalkylindoles being the most studied [16–18].
What makes the control of spice products so difficult, according to UNODC, is that despite the proactive approach lawmakers worldwide are employing, the producers of these substances seem to be aware of these efforts and, thus, respond so quickly to changes in legislation by making small modifications to the new product launched without affecting its cannabis-like effects [14]. For example, after the prohibition of the use and distribution of JWH-018-containing products in Germany, a second generation of herbal products containing the synthetic cannabinoid JWH-073 as an alternative began to fill the market just a month later [19]. In addition, none of the synthetic cannabinoids are internationally controlled under the United Nations drug control convention. Each country has its own regulations and develops their own schedules in order to control these products.
The most important barrier affecting the control of the distribution of these products is the role that the internet plays. The internet has already become an unregulated source of drugs, both controlled and uncontrolled, which has immense legal and public health implications. Online vendors of designer drugs can easily evade the laws of other countries, rendering efforts to regulate such substances ineffective [20]. In Kuwait, a joint committee was formed between the Ministries of Health, Interior, Justice, and Commerce and Industry and the General Administration of Customs and a resolution came out on March 15, 2015 stating that the importation of any of the products marketed under the name “Spice” or Bath Salt” is banned. However, more work should be done to construct the needed tables and more legal work is required as well to schedule these compounds.
The abuse of cannabimimetics, including synthetic cannabinoids, cannot be detected using methods that are used for detecting cannabis abuse. Reference material for most synthetic cannabinoids is currently unavailable due to the immense variety of these products in the market. Without reference material, reliable identification and quantification of synthetic cannabinoids in herbal products would be difficult.
MATERIALS AND METHODS
General experimental procedure
Melting points were determined in open capillary tubes using a Mettler 9100 electrothermal melting point apparatus and were uncorrected. IR spectra were recorded using JASCO FTIR-4100 spectrophotometer. UV spectra were measured in methanol using UV-visible dual-beam spectrophotometer. The 1H and 13C NMR spectra were obtained on a Bruker Avance II 600 MHz spectrometer operating at 600 and 150 MHz, respectively. 19F NMR spectra were obtained on a Bruker DPX 400 MHz spectrometer operating at 376.46 MHz. 1H, 13C, and 19F NMR spectra were recorded in CDCl3, and the chemical shift values were expressed in d (ppm) relative to the internal standard tetramethylsilane (1H, 13C) and trifluorotoluene (19F). For the 13C NMR spectra, spectral editing was determined by DEPT. 2D NMR data were obtained using the standard pulse sequence of the Bruker 600 for COSY, HSQC, and HMBC. Low resolution Electron Ionization Mass Spectrometry (EIMS) were obtained using a double-focusing magnetic sector mass spectrometer (GS-MS DFS/Thermo).
NMR and Low Resolution Mass Spectrometry (LRMS) spectral analyses were performed at the Science General Facilities, Faculty of Science, Kuwait University. Additionally, LC-MS analysis was done on a Thermo Scientific LCQ fleet mass spectrometer connected to Thermo Scientific Surveyor Liquid Chromatography Plus system via electro spray ionization interface (ESI) at the Faculty of Pharmacy, Kuwait University. UV and IR analyses were done at the Department of Pharmaceutical Chemistry, Faculty of Pharmacy, Kuwait University. Column chromatography was done using flash silica gel 60 (0.04-0.063 mm/230-400 mesh, ASTM, Merck). Thin Layer Chromatography (TLC) analyses were performed on 5x10 cm, 250 microns, pre-coated glass plates, with UV254 indicator (Anal Tech). The following solvent systems were used for the development of TLC: toluene: methanol: diethyl amine; 8: 1.5: 0.5, and chloroform: methanol; 9.7: 0.3. TLC plates were visualized after development via exposure to short (lmax 254 nm) and long wavelength (lmax 366 nm) UV light (CAMAG), then spraying with p-anisaldehyde/sulfuric acid spray reagent and Dragendorff’s spray reagent. All solvents used were of general purpose grade.
Materials
One pack of “Funky Green Stuff TM” was provided by the General Administration of Criminal Evidences, Ministry of an Interior, Kuwait. 7.16 g of the content were used for analysis. Physical examination of the material inside the pack revealed a ground dried green plant material. Microscopic examination of some of this material revealed tiny colorless crystals adsorbed on the plant material suggesting the presence of a synthetic compound(s).
Extraction
7.16 g of plant material were percolated in 190 ml methanol overnight. The plant material was filtered off and steeped again in fresh methanol (190 ml). The process was repeated for a third time and the combined methanol layers were evaporated in vacuo at 38˚C till dryness to afford 1.68 g greenish residue.
Thin layer chromatographic analysis
Several TLC trials were done on the extract to determine the best solvent system to be used to isolate the main compound(s). Toluene: methanol: diethyl amine; 8: 1.5: 0.5, were found to give a reasonable isolation of the main compound on the TLC plate. This compound contains a nitrogen atom as shown by its intense orange color after spraying with Dragendorff’s spray reagent.
Isolation and purification of the potential synthetic cannabinoid
The obtained residue (1.68 g) was purified on a flash silica gel column (160 g, 4.5 cm x 31 cm) and eluted with toluene: methanol: diethyl amine; 8.8: 0.7: 0.5. 50-ml Fractions were collected. Similar fractions, based on TLC analysis, were pooled together. Fractions 5-7 were pooled together and evaporated to dryness to afford 412 mg semi-pure slightly greenish needle-like crystals.
These crystals were further purified over a flash silica gel column (60 g, 2.5 cm x 19 cm) and eluted with chloroform: methanol; 9.7: 0.3. Fractions 17-24 showed one main UV-active compound. These fractions were pooled together and evaporated to dryness, followed by crystallization from methanol to give 372 mg (5.2% w/w enrichment ratio) of colorless needles, called RA-2.
RA-2: colorless needles (acetone-petroleum ether): mp 163-165 ˚C; UV (MeOH) lmax (log e) 220 (3.71), 301 (3.35) nm; IR (neat) vmax 3372, 3295, 3187, 1664, and 1639 cm-1; 1H NMR (CDCl3, 600 MHz) see table 1; 13C NMR (CDCl3, 150 MHz) see table 1; 19F NMR (CDCl3, 376.46 MHz); EIMS (70 eV) m/z 324.3 [M-CONH2]+.
Table 1: 1H and 13C NMR Data (CDCl3) for RA-2
# |
dc, multiplicity |
dH, multiplicity (J in Hz) |
3 |
137.5, C |
--- |
4 |
123.5, C |
--- |
5 |
123.0, C |
8.34, ddd (7.2, 0.9, 1.2) |
6 |
109.6, CH |
7.28, ddd (7.2, 7.2, 1.2) |
7 |
127.2, CH |
7.38, ddd (7.2, 7.2, 1.2) |
8 |
122.9, C |
7.33, ddd (7.2, 1.2, 0.9) |
9 |
141.1, C |
--- |
10 |
162.9, C |
--- |
11 |
53.1, CH2 |
5.59, s |
1` |
131.7, C |
--- |
2` |
129.1, CH |
7.19, dd (9.0, 3.0)a |
3` |
115.8, CH |
7.0, dd (9.0, 2.4)b |
4` |
161.9, C |
--- |
5` |
116.0, CH |
7.0, dd (7.5, 1.8)b |
6` |
129.2, CH |
7.21, dd (7.5, 3.0)a |
1`` |
173.3, C |
--- |
2`` |
58.1, CH |
4.54, dd (8.4, 6.6) |
3`` |
30.5, CH |
2.37, ds (6.6, 5.4) |
4`` |
18.2, CH3 |
1.08, d (5.4)c |
5`` |
19.5, CH3 |
1.09, d (4.8)c |
10-NH |
--- |
7.52, d (9.0) |
1``-NH |
--- |
5.53, s |
1``-NH |
--- |
6.19, s |
a,b,c Protons within the same column are interchangeable
RESULTS AND DISCUSSION
The content of “Funky Green StuffTM” packet was percolated repeatedly in methanol at room temperature. The combined extracts were evaporated in vacuo till dryness. TLC analysis revealed that the extract contains one main UV-active, N-containing compound, which is separable by a combination of toluene, methanol, and diethyl amine. Flash chromatography over silica gel yielded a semi pure compound. Further chromatographic purification and crystallization afforded 372 mg of RA-2 as colorless long needle crystals.
RA-2 was isolated as colorless needles. Its molecular formula was determined as C20H21O2N4F on the basis of the ion peak at m/z 324.1 [M-CONH2]+and NMR data. ESI mass spectrum showed the molecular ion peak at m/z 368.93. On the other hand, IR spectrum showed absorption bands for an amino group(s) (3372, 3295, and 3187; weak absorption bands) and amide carbonyl group(s) (1664 and 1639; strong absorption bands). 13C NMR showed 20 resonances distributed as two quartets (q, CH3), one triplet (t, CH2), 10 doublets (d, CH), and 7 singlets (s, C). Three carbons resonated in the aliphatic region, and two in the oxygenated/nitrogenated carbon region; C-11 resonated at dC 53.1 as t, while C-2`` resonated at dC 58.1 as d. Other carbons resonated in the olefinic/aromatic region.
The two methyl groups resonated at dC 18.2 and 19.5. From the HSQC, those two carbons showed cross contours with protonsresonated at dH 1.08 and 1.09, respectively. Both resonances appeared as a doublet and integrated for 3 protons each. They were assigned to methyl 4`` and 5``. From the COSY spectrum, those methyl groups coupled to a common proton (dH 2.37, ds (6.6, 5.4), H-3``). This proton, in turn, showed coupling in the COSY spectrum with another proton (dH 4.54, dd (8.4, 6.6), H-2``). H-2`` showed more coupling with an exchangeable proton resonated at dH 7.52 as a d with a coupling constant of 9.0 Hz. This proton was assigned to the NH on C-10. Moreover, H-2`` showed a cross peak in the HSQC spectrum with a doublet carbon resonated at dC 58.1, and hence assigned as C-2``.
As mentioned before, the IR spectrum suggested the presence of one or more amide carbonyl groups. NH-10 was assigned to one of those. From the 1Hand HSQC spectra, two more exchangeable protons were assigned to the NH2 on C-1``. These protons resonated as a singlet each at dH 5.53 and 6.19. 13C NMR spectrum suggested the presence of two amide carbonyl carbons resonated at dC 162.9 and 173.3 and was assigned C-10 and C-1``, respectively. The abovementioned NMR data constituted a solid body of evidence that unambiguously supported the presence of a particular side chain (shown below) not frequently seen in the common semisynthetic cannabinoids.
Other NMR data supported the presence of benzylated indazole nucleus. The presence of a sharp signal resonating at dH 5.59 and integrated for two protons indicated the presence of a freely rotating isolated methylene group. From the HSQC, these protons, H2-11, showed a correlation with a triplet carbon resonated at dC 53.1 and were assigned to C-11. Confirming this conclusion, the HMBC spectra showed a correlation between these protons and the aromatic carbons resonating at dC 131.7; C-1`, 129.1; C-2`, and 129.2; C-6`. From the 1H NMR and COSY spectra, this aromatic ring was shown to be para-disubstituted benzene ring, more correctly benzyl ring. Other carbons of this system were assigned at dC 115.8, C-3`, 161.9, C-4`, and 116.0, C-5`. Other substituent of this ring were determined to be 19F from the 19F NMR spectrum, which shows a resonance at dF-113.9. Other aromatic carbons assignments were done unambiguously from the HSQC and HMBC spectra. These carbons were shown to be of an indazole ring system. Complete 1H and 13C NMR assignments are presented in table 1.
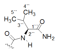
Therefore, the identity of this compound was revealed to be N-(1-amino-3-methyl-1-oxobutan-2-yl)-1-(4-fluorobenzyl)-1H-indazole-3-carboxamide (abbreviated for short AB-FUBINACA). Its structure is shown below.
AB-FUBINACA is a semi-synthetic cannabinoid that is relatively newly introduced to the market. It was first synthesized in 2009 by Pfizer as a potent CB1 receptor modulator for potential therapeutic use as an analgesic, but was never pursued for human use and was identified in 2012 along with a closely related compound, AB-PINACA, in illegal herbal products in Japan [21].
Similar to Δ9-THC and other cannabinoids, AB-FUBINACA exhibits its effects through the full agonism of the CB1 and CB2 receptors, having more selectivity for CB2. It possesses a 10-fold greater affinity for the CB1 receptor than that of JWH-018 [21].
AB-FUBINACA is a relatively new substance and was not formally studied; hence, there is a very little data available about its toxicity or addiction potential. Informal experiments have shown that overdose will cause side effects including heart palpitations, vertigo and sedation at much lower doses than toxic ones, usually causing the user to fall asleep. In January 2014, the United States has placed AB-FUBINACA into Schedule I controlled substances [22]. Recent literature search revealed that there are no previous reports of AB-FUBINACA detection in “Funky Green Stuff™”.
Products of AB-FUBINACA are usually smoked in doses ranging from less than 1 mg to more than 5 mg. The onset of the psychoactive effects of this compound usually begins 20 min after consumption and last 1 to 2 h, with the peak effect at 30 to 60 min after consumption.
ADB-FUBINACA, a similar compound to AB-FUBINACA, contains a tert-butyl group instead of the isopropyl group. AB-PINACA is another closely related compound but contains a pentyl side chain attached to the indazole ring system instead of the 4-fluorobenzene ring.
CONCLUSION
The synthetic cannabinoid, AB-FUBINACA, was isolated from an herbal product sold in the markets as an incense product. The market is flooded with similar products marketed as scents or room odorizers. This clearly necessitates the urgent increase in international co-operation between criminal evidences officials and legislators in order to combat this phenomenon. AB-FUBINCA has not yet been scheduled as a controlled substance in the state of Kuwait.
ACKNOWLEDGMENT
Ms. Samar Faggal and Ms. Hanan Sary of the Faculty of Pharmacy, Kuwait University are acknowledged for their technical help. NMR and mass spectral analyses were done at the General Facility, Faculty of Science, Kuwait University, supported by Grant numbers GS01/01 and GS01/03.
CONFLICTS OF INTERESTS
All authors have none to declare
REFERENCES