
aLaboratory of Applied Biochemistry, Faculty of Nature and Life Sciences, University Setif 1, Setif 19000 Algeria, bDepartment of Applied biology, Faculty of Natural and Life sciences, Mentouri brothers University, Constantine 25000 Algeria
Email: asma.mosbah@yahoo.fr
Received: 06 Jul 2015 Revised and Accepted: 10 Sep 2015
ABSTRACT
Objective: Nigella sativa (NS) oil is usually considered as oxidatively stable, the aim of this study is to evaluate its antioxidant capacity in vitro through four mechanisms.
Methods: NS seed total oil (TO) was extracted with n-hexane and this oil was further fractionated into neutral lipid fraction (NLF) and polar lipid fraction. Total oil and its neutral lipid fraction were investigated for the antioxidant activity using the following spectrophotometric assays; DPPH and ABTS radicals scavenging tests, reducing power test, ß-carotene bleaching test and anti-hemolytic test. All tests were realized by spectrophotometric methods.
Results: Quantitative determination of phenols and flavonoids in TO and NLF showed that TO has the highest phenolic and flavonoid concentrations with 26,44±0,21 µg GAE/g extract and 1.34±0.21 µg QAE/g extract respectively. All antioxidant assays showed that TO has the strongest antioxidant capacity with; IC50 83.023±4.58 µg/ml in DPPH scavenging assay, IC50 80.09±10.51 µg/ml in ABTS scavenging assay, EC50 85.93±20.01 µg/ml in reducing power assay and a percentage of inhibition 60.62 % in ß-carotene bleaching assay, equally, TO has the strongest anti-hemolytic activity with HT50 of 76.96±1.22 µg/ml.
Conclusion: The results obtained in this investigation showed that Nigella sativa has an important antioxidant capacity, which makes it an attractive source of new therapeutic components.
Keywords:Nigella sativa, Total oil, Neutral lipid fraction, Phenolic content, Flavonoid content, Antioxidant activity, Anti-hemolytic activity.
© 2016 The Authors. Published by Innovare Academic Sciences Pvt Ltd. This is an open access article under the CC BY license (http://creativecommons.org/licenses/by/4.0/)
INTRODUCTION
Oxidative stress is origin of most pathologies. It occurs when the generation of free radicals and active intermediates this phrase, known as reactive oxygen species (ROS), in a system exceeds the system’s ability to neutralize and eliminate them [1]. An increase in ROS caused oxidative damage to DNA and other bio-molecules witch, lead to human diseases [2, 3]. At the present time, there is an increased interest in the use of medicinal plant as therapeutic agents; in this respect, Nigella sativa is one of the most studied plants. It has a large therapeutic spectrum. This plant is used in folk medicine for the treatment and the prevention of different diseases, much of its biological activity has been related to its fixed and essential oil [4].
A tendency toward the use of natural molecules in foods as protective and therapeutic agents has been apparent. Up to date, little is known about the antioxidant capacity of Nigella sativa oil and its bioactive constituents. Recent research has focused on the isolation and characterization of effective natural antioxidants present in oil [5]. The constituents of this oil may play a role of pro-oxidative agents (free fatty acids and hydroperoxides) or anti oxidative agents (tocopherols, phenols, and phospholipids PL) [6]. The oil of Nigella sativa is usually considered as oxidatively stable, it prevents the deterioration through the reducing of radical reactions responsible for lipid oxidation, also, the presence of tocopherol, carotenoid, phospholipids and phenolics improves its stability and its anti-oxidant properties [7, 8].
The two major fractions of the oil are neutral and polar fractions. The polar fraction is divided into two parts; glycolipids and phospholipids. In addition, many other constituents were identified; un-saponifiables, Tocopherols, phospholipids (PL), phytosterols and phenols which are the most important natural antioxidants in the oil. The consumption of this oil in our food may protect us against oxidative damages. These natural antioxidants may function (a) as reducing agents, (b) as free radical scavengers, (c) as complexes of pro-oxidant metals, and (d) as inhibitors of the formation of singlet oxygen [9].
MATERIALS AND METHODS
Plant material
Nigella sativa seeds were obtained from Bechar, Algerian sahara in Much 2013, and botanically identified by Prof. H. Laouar, botanist, laboratory of plant biology (University of Sétif 1, Algeria). Seeds were washed, dried and powdered with an electric micronizer.
Extraction and fractionation of the total lipid
Seed powder was extracted in a Soxhlet-extractor with methanol solvent to get the methanol extracts, to which we added n-hexane for obtaining the total oil. During the extraction, the extracted lipids required the addition of 0.75 % aqueous sodium chloride solution. The solvent was removed on a rotary evaporator at 40 °C. Total oil was collected in a flask and stored at 4 °C for further analyses [10].
To get the neutral lipid fraction, we used a silica gel 60 G (70-230 mesh) in column (30 cm x 2 cm) where neutral lipids are eluated by chloroform (3 times, 100 ml), whereas polar lipids were eluated by acetone to get glycolipids (GL), then we used methanol to get phospholipids (PL) following the protocol of Ramadan and Mörsel [10]. Solvents were evaporated using a rotary evaporator at 40 °C.
Determination of total phenolics and flavonoids contents
Total phenolics content was determined using the Folin-Ciocalteu product, which based on spectrophotometric method [11]. The reaction mixture was prepared by mixing 0.5 ml of extract solution, 2.5 ml of 10% Folin-Ciocalteu’s reagent dissolved in water and 2.5 ml of NaHCO3 (7.5%) solution then; samples were incubated at 45 °C for 45 min.
The absorbance was determined using spectrophotometer at 765 nm. Samples were prepared in triplicate for each analysis and the mean value of absorbance was obtained. Phenolic content was measured using garlic acid equivalent per gram of dried extract (µg GAE/g extract) by means of the garlic acid calibration curve.
Total flavonoids content has been measured by a spectro-photometric method using aluminum chloride as chromophore reagent [12]. The sample contained 1 ml of extract solution and 1 ml of 2 % AlCl3 solution dissolved in methanol and then, they were incubated for an hour at room temperature. The absorbance was determined using spectrophotometer at 415 nm. All samples were prepared in triplicate for each analysis and the mean value of absorbance was obtained. Flavonoids content was measured using quercetin equivalent per gram of dried extract (µg QAE/g extract).
ABTS radical scavenging assay
The ABTS (2, 2’-azino-bis 3-ethylbenzthiazoline-6-sulfonic acid) radical scavenging activity is based on the estimation of ABTS radical cation formation, the color of this ABTS radical compound is suppressed in the presence of antioxidant molecules, which have the ability of scavenging this radical. ABTS*+is generated by mixing 7 mM of ABTS solution with 2.45 mM of potassium sulfate then, the mixture is stored at room temperature for 16 h. The solution is diluted to get an absorbance of 0.7±0.05 at 734 nm. To assess the antiradical activity of TO and NLF, we added 2 ml of ABTS solution to 0.3 ml of test samples with different concentrations, measurements were taking after 30 min at 734 nm [13]. The antioxidant activity was estimated by calculating the percentage of the decrease in absorbance of different samples concentrations, using the following equation:
Inhibition (%) = [(Abs Control–Abs Sample)/Abs Control] X 100
Where; A Control is the absorbance of the control reaction and A Sample is the absorbance of the sample. IC50 value indicated the concentration of sample required to scavenge 50 % of DPPH radicals, low IC50 is equivalent of high scavenging capacity, it calculated by plotting percentage inhibition against different concentrations of oil [14].
DPPH radical scavenging activity
The second antioxidant activity is the DPPH (2, 2’-diphenyl-1-picrylhydrazyl) radical scavenging activity, that is based on the reduction of a methanol solution of DPPH* by an antioxidant molecule, which play a role of a hydrogen donating and lead to the formation of the non-radical form of DPPH [15]. The sample solutions were prepared by dissolving TO and NLF in DMSO solvent with different concentrations. The reaction mixture prepared by blending samples with DPPH solution, then we kept the mixture in the dark for 30 min before measuring the absorbance at 715 nm. The antioxidant capacity was estimated by changing in the reaction color from purple to yellow and it calculated using the following formula:
Inhibition (%) = [(Abs Control–Abs Sample)/Abs Control] X 100
Where, Abs Control is the absorbance of the control and Abs Sample is the absorbance of the sample at 517 nm. IC50 values indicated the concentration of sample required for scavenging 50 % of DPPH radicals.
Reducing power assay
Reducing power of TO and its NLF was estimated following the method described by Barros et al. [16] which based on the capacity of antioxidant molecules to convert the oxidation form of iron (Fe+3) to its reduced state (Fe+2).
To realize this technique, a series of extract dilution was prepared in 0.2 M phosphate buffer pH, 6.6 containing 1% ferrocyanide then we incubated the mixture at 50 ºC for 20 min. 10% trichloroacetic acid (TCA, 2.5 ml) was added to this mixture (5 ml) and centrifuged at 3000g for 10 min. The supernatant was separated and mixed with distilled water (2.5 ml) containing 1% ferric chloride (0.5 ml). The absorbance of this mixture was measured at 700 nm. The intensity in absorbance could be the measurement of antioxidant activity of the extract. The extract concentration providing 50% antioxidant activity (EC50) was calculated from the graph of extracts absorbance against extract concentrations.
Bleaching ß-carotene assay
This assay based on the capacity of antioxidant molecules to inhibit ß-carotene oxidative degradation, that is caused by oxidative compounds of linoleic acid following the method of Kartal et al. [17].
ß-carotene/linoleic acid emulsion was prepared by mixing 0.5 mg of ß-carotene in 1 ml of chloroform, 25 µl of linoleic acid and 200 mg of Tween 40, then the chloroform was removed by evaporation at 40 °C under vacuum, 100 ml of oxygenated distilled water were added to the flask with vigorous shaking. The test reaction was initiated by the addition of 350 µl of TO, NLF and standard molecules to 2.5 ml of an emulsion prepared. The absorbance was recorded at different time intervals; within 48 h at 490 nm until the changing of emulsion color. The antioxidant capacity was calculated using the following equation:
Antioxidant activity = Abs Sample/Abs BHT*100.
Where; Sample is the absorbance of the sample and Abs BHT is the absorbance of positive control (BHT) at 517 nm. Assays were carried out in triplicate and the results expressed as mean values±standard deviations.
Anti-hemolytic assay
Resistance to free radical damage was tested and measured as the capacity of red blood cells (RBCs) to reduce free radical induced haemolysis, as described by Albertini et al. [18] with slight modifications. Briefly, the mice’s blood solution was diluted to 1/50 in physiological buffer in isotonic condition (300 mOsm; pH 7.4). Whole blood solution is coated with a 0,5 mM of tert-Butyl hydroperoxide (t-BHP) solution as a free radical generator. The reaction was followed by measuring the rate of decrease in optical density at 630 nm using a 96-well microplate reader.
The time to reach 50% of total hemolysis (HT50) was retained and haemolysis inhibition (HI) is calculated as the following formula: (HT50 (Sample)–HT50 (Control)/HT50 Control. The results are expressed as delayed time of haemolysis (ΔT), which is calculated as follows:
ΔT = HT50 (Sample)–HT50 (Control)
Statistical analysis
The results were expressed as mean±SD. The data were subjected to one-way analysis of variance (ANOVA), where the differences between groups and standards were determined by Tukey’s test, using Graph Pad program. p value ≤ 0.05 was regarded as significant.
RESULTS
Determination of phenolics and flavonoids contents
Polyphenols are the most important compounds that are responsible of the antioxidant activity. To determine its levels in Nigella sativa TO and NLF we used garlic acid as a standard compound. Result expressed as µg of GAE/g of extract, using the standard curve equation y = 0.006 x+0.033, R2= 0.990.
For quantification flavonoides, we used quercetin as a standard and the result was expressed as µg Quercetin equivalent per gramme of the extract following the standard curve equation y = 0.026 x+0.022, R2 = 0.990.
Our results indicated that Nigella sativa TO showed the highest amount of polyphenols with 26.44±0.21 µg GAE/g extract and NLF with 16.66±0.48 µg GAE/g extract. Moreover, total flavonoid content was found to be highest in TO with 1.34±0.21µg QAE/g extract than that of NLF with 0.59±0.06 µg QAE/g extract (table 1).
Antioxidant capacity
The antioxidant potency of fractions was carried out using four mechanisms; (1) assays for radical scavenging ability, (2) assay for reducing the Fe+3 To Fe+2, (3) assay that test the ability to inhibit lipid oxidation and (4) assay of the ability to preserve the blood cell from hemolysis under accelerated conditions.
Table 1: Total phenolics and total flavonoids contents in Nigella sativa TO and NLF
Fractions |
Total phenolics (µg GAE/g extract) |
Total flavonoids (µg QAE/g extract) |
TO |
26.44±0.21 |
1.34±0.21 |
NLF |
16.66±0.48 |
0.59±0.06 |
Each value is represented as means±SD (n=3)
DPPH and ABTS radical scavenging assays
The model of scavenging stable free radicals by hydrogen ‐donating antioxidants is widely used to evaluate the antioxidant properties in a relatively short time. To estimate this capacity, we used two assays; DPPH free radical scavenging assay and ABTS free radical scavenging assay.
Fig. 1: DPPH radical scavenging effect of TO, NLF and standard. Values were expressed as the mean±SD of triplicate. Comparisons are made with α-Tocopherol ***: p ≤ 0.001
The results showed a similar tendency in the ability of the two fractions to reduce these stable radicals. TO showed the most important capacity followed by the NLF. as shown in figures 1 and 2. In the DPPH radical assay, the concentrations for 50% inhibition were found to be 83.03±4.58 µg/ml and 140.95±3.63 µg/ml for TO and NLF respectively. In the ABTS radical assay, IC50 were found to be 80.09±10.51 µg/ml and 110.94±9.85 µg/ml for TO and NLF respectively (table 2).
Fig. 2: ABTS radical scavenging effect of TO, NLF and standard. Values were expressed as the mean±SD of triplicate. Comparisons are made with α-Tocopherol ***: p ≤ 0.001
Table 2: DPPH radical scavenging activity, ABTS radical scavenging activity of Nigella sativa TO, NLF and standard
Fractions |
IC50 for DPPH radical (µg/ml) |
IC50 for ABTS radical(µg/ml) |
TO |
83.03±4.58 |
80.09±10.51 |
NLF |
140.95±3.63 |
110.94±9.85 |
α-Tocopherol |
9.18±0.11 |
9.82±3.00 |
Each value is represented as means±SD (n=3), It has been reported that the lower IC50 indicated the higher activity in this assay, the difference between radical scavenging capacities were statically significant according to Tukey’s test at p<0.05.
Reducing power assay
In this assay, we tested the capacity of TO and NLF to reduce Fe+3 to Fe+2, that is not dangerous for the body. We used EC50 to estimate this capacity, which is corresponds of the effective concentration that has an absorbance of 0.5 at 700 nm. The result indicated that TO was more active in reducing Fe+3 with an EC50 85.93±0.007 followed by NLF 141.15±0.013 (fig. 3, table 3).
Table 3: EC50 reducing power capacity of TO, NLF and standard
Fractions |
EC50 (µg/ml) |
TO |
85.93±0.007 |
NLF |
141.15±0.013 |
α-catechine |
5.60±0.0007 |
Each value is represented as means±SD (n=3)
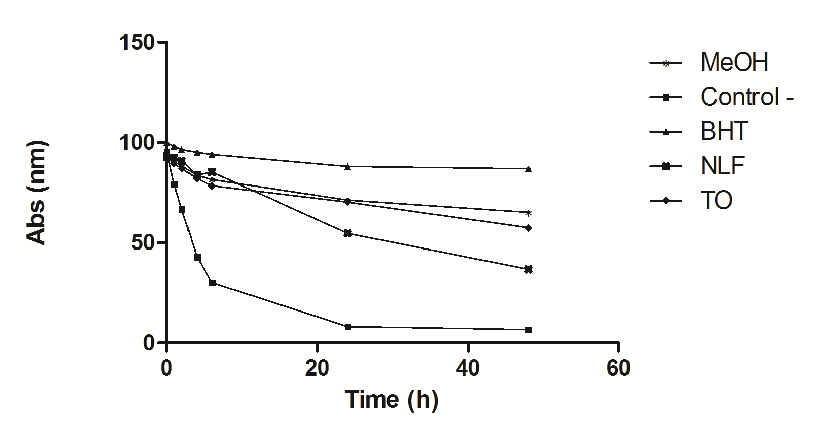
Bleaching β-Carotene assay
The aim of this assay is to estimate the capacity of TO and NLF to decrease lipid peroxide caused by free radicals. We used linoleic acid as a source of hydroxyl-peroxid after its oxidation in the emulsion. In the absence of an antioxidant, the linoleate free radical will affect the color of β-carotene, which is marked with an elevation of the absorbance, but in the presence of antioxidant molecules, the rate of β-carotene-linileate decreased. The result indicated the relative β-carotene bleaching percentages between standard (BHT), control-(H2O and MeOH) and extracts (TO and NLF).
Fig. 3: Reducing power of TO, NLF and standard. Values were expressed as the mean±SD of triplicate. Comparisons are made with α-Catechine **: p ≤ 0.01
Negative controls had a rapid peroxidation of β-carotene and TO show the best inhibition (60.62 %) following by NLF 37.05 %. These levels of inhibition are lower than standard BHT 86.93 %, as shown in figure 4.
Fig. 4: Relative antioxidant activity of TO and in NLF β-Carotene/linoleic acid assay
Antihemolytic assay
In this assay we used t-BHP as an oxidazing agent of cell membrane, it has been reported that t-BHP increase membrane permeability to CI¯, K+and sugars with low molecular weight [19] also, t-BHP caused the degradation of spectrin and ankyrin, the alteration of skeletal network at the horizontal junction sites and thus modification of the cytoskeleton assembly [20].
From the kinetics of hemolysis obtained (fig. 5), the result of this assay indicated that TO and NLF had an inhibitory effect on hemolysis. The parameters that used to evaluate this antioxidant capacity are HT50; concentration of standard or extracts that inhibit 50 % of hemolysis and %HI; percentage of hemolysis inhibition.
Fig. 5: Hemolysis curve of fresh mice blood, in the presence of t-BHP, TO and NLF, diluted in phosphate buffer in isotonic conditions from optical density reading. Data are mean±SD
Results of HT50 showed that TO has the best hemolytic capacity HT50 76.96±1.22 µg/ml in comparison with that of VitC HT50 72.50±2.78 µg/ml and NLF HT50 60.66±0.97µg/ml. The hemolysis percentages of TO, NLF and Vit C are 53.92±2.05%, 21.32±1.07 % and 45±1.8 % respectively (table 4).
Table 4: HT50, hemolysis inhibition (%HI) and ΔT of groups treated with TO, NLF and Vit C
Fractions |
HT50 |
% HI |
∆T(min) |
|||
VIT C |
72.50±2.78 |
45±1.8 |
12±0.87 |
|||
TO |
76.96±1.22 *** |
53.92±2.05 *** |
15±1.57*** |
|||
NLF |
60.66±0.97ns |
21.32±1.07 ns |
10±0.5 ns |
|||
Each value is represented as means±SD (n=3). Comparisons are made with respect to the Vit C ns: p ≥ 0.05, ***: p ≤ 0.001.
DISCUSSION
In the present study, the antioxidant activity of total oil and the neutral lipid fraction of Nigella sativa seeds was investigated and to our knowledge this is the first study that dealt with those extracts.
TO of Nigella sativa contains a small amount of phenolics and traces of flavonoids. This finding is similar to that of Ramadan et al. (2003) [9] where it has been shown that the level of polyphenols in TO was 24±0.11 µg GAE/g extract. Hence, many studies were reported on the different extracts of this plant, and the results pointed out that the chloroform and ethyl acetate extracts showed the highest levels of phenolics and flavonoids following by Aqueous and hexane extracts [21].
The antioxidant activity estimated by DPPH and ABTS radicals scavenging assays indicated that TO is very efficient. This antioxidant capacity does not correlate directly neither with the amounts of phenolics nor with the presence of selected phenols; phenolic acids, p-hydroxy benzoic acid and flavone/flavonol derivatives [22, 23]. Also, we can relate this capacity to other oil characterizes; (i) content and composition of polar lipids and unsaponifiables, (ii) diversity in structural characteristics of potential phenolic antioxidants present in oil fractions, (iii) a synergism of polar lipids with other components present in each fraction, and (iv) different kinetic behaviors of potential antioxidants. At the same time we can explain the weaker antioxidant capacity of NLF by the level of polyunsaturated fatty acid, the initial peroxide value and the very small amount of phenolic [9]. The reducing power ability of our extracts indicated that TO have the best activity. In literature, there is no study that dealt with the reducing power of Nigella sativa lipid extracts stated above. We The considerable reducing power activity of total oil could be explained by the presence of polar lipids which are characterized by the amine group of phosphatidyl ethanolamine and phosphatidyl choline as well as the reducing sugar of phosphatidyl inositol can facilitate hydrogen or electron donation [24, 25].
The effect, of TO and NLF against lipid peroxidation in biological membranes was evaluated by β-carotene/linoleic acid test where TO showed the highest activity. This capacity is related to the peroxide value which provides a clear indication of the oxidation state of vegetable oils [9]. Another study reported that the apolar antioxidant has an important antioxidant activity because, they have the capacity to dispose and concentrate on the center of lipid-water, which permit to prevent the creation of free radicals and β-carotene oxidation. For neutral lipids they are dispersed in an aqueous phase, which decrease its capacity of lipid protection [26].
The anti-hemolytic capacity was evaluated in vitro using mouse erythrocytes which constitute an adequate model for studding oxidative stress, because of the high concentration of oxygen and its poly-unsaturated fatty acid rich membrane [27, 28]. Our results indicated that TO showed the most important anti-hemolytic effect against t-BHP induced protein degradation and loss of deformability; . This is due to its ability to inhibit protein degradation, protect the erythrocytes against loss of deformability and increased osmotic fragility. Also, we can explain this protective effect by the oil’s ability to interfere with erythrocyte antioxidant system either by inhibiting the antioxidant enzymes or by increasing the consumption of anti-oxidant compounds such as VitE and glutathione that are present in the erythrocyte membrane [29, 30].
CONCLUSION
This study showed clearly the antioxidant potential of Nigella sativa total oil and this capacity is explained by its minor components of polar lipids. This finding illustrates the potential of polar fractions of seed oil as a natural antioxidant for use in lipid-containing foods and in therapy. These bioactive substances could have extra nutritional properties and a central role in diet disease relationships. Additional studies are necessary to show this antioxidant activity under physiological conditions.
CONFLICT OF INTERESTS
Declared None
REFERENCES