
1Chemistry of Natural Compounds Department, National Research Centre, Dokki, Giza 12311, Egypt, 2Chemistry Department, Faculty of Science, Cairo University, Giza 12613, Egypt, 3Chemistry of Pesticides Department, National Research Centre, Dokki, Giza 12311, Egypt
Email: mabosabt@yahoo.com
Received: 06 Jul 2015 Revised and Accepted: 27 Oct 2015
ABSTRACT
Objective: the present work aimed tosynthesize novel quinoline and pyrroloquinoline derivatives and study their cytotoxic activity.
Methods: Diels–Alder reaction (4+2) was used for the synthesis of new quinolone and pyrrolo quinoline derivatives via the reactions of compound 1 with N-maleimide (4a-d) derivatives, ethyl acrylate (6) methylmethacrylate (8) and acetylene dicarboxylic acid (10). The synthesized compounds were characterized by NMR and Mass spectral data. Some of the synthesized compounds were screened for their antitumor activity against three different cell lines (MCF-7, HepG2 and HCT).
Results: The tested compounds exhibited antiproliferative activity against the three different cell lines, especially against MCF-7.
Conclusion: New quinoline and pyrroloquinoline derivatives were synthesized starting with 6-methyl-4-phenyl-2-thioxo-5-(4-methylphenylthio)-1,2-dihydropyridine-3-carbonitrile. Two new compounds 3 and 5a were tested for their in vitro antiproliferative activity against MCF-7, HepG2 and HCT cancer cell lines. The result showed that compound 3 exhibited more potent antiproliferative activity than compound 5a in case of MCF-7 and HCT cell lines.
Keywords: Quinolones, Pyrroloquinolines, Cycloaddition, Anti-tumor cytotoxicity.
© 2016 The Authors. Published by Innovare Academic Sciences Pvt Ltd. This is an open access article under the CC BY license (http://creativecommons.org/licenses/by/4.0/)
INTRODUCTION
It is known that cancer is one of the most dangerous diseases, caused by uncontrolled growth and spread of abnormal cells, initiated by viruses, smoking, chemicals, or diet [1]. Cancer can lead to death if left untreated. Therefore, many of the research efforts aim to develop new anticancer drugs [2].
Quinoline and their derivatives are very important in medicinal chemistry because of their wide occurrence in natural products [3] and drugs[4], numerous quinolone derivatives [5-9] have been reported to have wide biological activities including the anticancer activity depending on various mechanisms like tubulin inhibition [10], free radical regulation and so on [11-13].
And also, some natural, semisynthetic and synthetic bioactive molecules based on a quinoline scaffold had been reported to possess MDR reversal activity when combined with the anticancer drug [14-18], For example, the molecules containing quinolone scaffold improved the cytotoxicity of doxorubicin in multi-drug resistant cancer cell lines at nontoxic concentration [14].
Recently, a growing attention focuses on the synthesis and study of the biological properties of compounds containing various combinations of pyrroloquinoline moieties as remarkable cytotoxic agents [19-21]. Moreover, one class of marine alkaloids containing a pyrrole [3, 2-d] quinoline skeleton has received increasing attention as a source of new anticancer drugs [22, 23].
On the other hand, maleimide is among the best candidates for conjugation chemistry since it undergoes [4+2] cyclo addition reaction with electron rich dienes. The use of dienophile from hetero aromatic N-maleimide, electron-deficient acetylenes and ethylene as 1,2-dipoles has received increasing interest in the synthesis of new condensed heterocyclic structures via 4+2 cyclo addition [24-26].
The aforementioned studies encouraged us to prepare new quinolone and pyrroloquinoline derivatives via one pot Diels-Alder reaction and examine their antiproliferative activity in vitro against three human cancer cell lines.
MATERIALS AND METHODS
General
All melting points were measured on a Gallenkamp melting point apparatus and are uncorrected. The IR spectra were recorded (KBr disk) on a Shimadzu FT IR-8201 PC instrument. 1H NMR spectra (300 MHz) spectra were recorded on a Varian spectrometer using DMSO-d6 or CDCl3 as solvent and TMS as an internal standard. Chemical shifts are 36 reported in ppm. Mass spectra were recorded on a Shimadzu GCMS-QP1000EX using inlet type at 70 ev. Elemental analyses were obtained from The Microanalytical Data Center at Cairo University, Egypt. The progress of the reactions was monitored by thin-layer chromatography (TLC) using aluminum sheets coated with silica gel F254 (Merck), viewing under a short-wavelength UV 41 lamp effected detection. All evaporations were carried out under reduced pressure at 40 oC. 6-Methyl-4-phenyl-2-thioxo-5-(4-methylphenylthio)-1,2-dihydropyridine-3-carbonitrile (1) was prepared according to the literature [27].
Synthesis
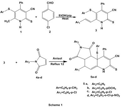
6-[2-(4-chlorophenyl) viny]-4-phenyl-5(4-methylphenylthio)-2-thioxo-1, 2-dihydro pyridine-3-carbonitrile (3)
A solution of compound 1 (0.01 mole, 3.48 gm) and 4-chlorobenzaldhyde (0.01 mole, 1.405 gm) in absolute ethanol (30 ml) was heated under reflux for 8 h, then cooled and the solid was collected by filtration and crystallized from dioxane.
Yellow crystals (70%); m. p. 230-2 oC; 1H NMR(DMSO-d6) δ=2.28 (s, 3H, tolyl-CH3), 4.14 (br, 1H, NH), 6.74-7.49 ppm (m, 15H, Ar-H and CH=CH); MS (70 eV): m/z = 471 (M++1, 8.55), 470(M+,100) 348 (17.8), 301 (9.6), 285 (8.28), 269 (12.8), 226 (67.29), 154 (57), 77 (64), 140 (52), 113 (56.6); Anal. Calcd. for C27H19ClN2S2 (470): C, 68.85; H, 4.07; N, 5.95; S, 13.61. Found: C, 68.87; H, 4.08; N, 5.94; S, 13.62 %.
Synthesis of compounds (5a-d, 7, 9 and 11)
General method
A solution of reactant A (0.01 mole, 4.7 gm) and each of reactant B (0.01 mole) in anisole (30 ml) was heated under reflux for 12 h, the excess solvent was evaporated in vacuum to the 1/3 of its original volume and cooled then petroleum ether(15 ml) was added. The solid product formed was collected by filtration, dried and crystallized from the proper solvent, see the following table:
4-(4-chlorophenyl)-1,3-dioxo-2,9-diphenyl-7-thioxo-9a-(4-methyl-phenylthio) 2, 3, 3a, 4, 6, 7, 9a, 9b-octaahydro-1H-pyrrolo [3,4-f] quinoline-8-carbnitrle (5a)
Crystallized from ethanol as yellowish crystals (70%); m. p. 233-5oC; 1H NMR (DMSO-d6) δ=2.22 (s, 3H, tolyl-CH3), 5.3 (d, 1H, CH= cyclohexene), 3.6 (br, 1H, NH), 3.5 (t, 1H, cyclo hexene), 3.23(d,1H, succinimide), 3.33(t, 1H, succinimide), 6.91-7.56 ppm (m, 18H, Ar-H); MS (70 eV): m/z = 643 (M+, 16.87), 639(26.8), 576(21.3), 520(38.5), 470(58), 379(100), 370(50.6), 345(70.56.7), 315(39.4), 209(17.95), 124(64.55), 89(91.73): Anal. Calcd. for C37H26ClN3O2S2 (643): C, 68.98; H, 4.07; N, 6.52; S, 9.95. Found: C, 68.99; H, 4.05; N, 6.55; S, 9.97 %.
4-(4-chlorophenyl)-2-(4-methoxyphenyl)-1,3-dioxo-9-phenyl-7-thioxo-9a-(4-methyl phenyl thio)-2,3,3a4,6,7,9a,9b-octahydro-1H-pyrrolo[3,4-f] quinoline-8-carbnitrle(5b)
Crystallized from methanol as brown crystals (50%); m. p. 222-4oC; 1H NMR (DMSO-d6) δ =2.22 (s, 3H, tolyl-CH3), 3.7(S,3H, OCH3), 5.3 (d, 1H, CH= cyclohexene), 3.6 (br, 1H, NH), 3.5 (t, 1H, cyclohexene), 3.25(d,1H, succinimide), 3.31(t, 1H, succinimide), 7.14-7.56 ppm (m, 17H, Ar-H); MS (70 eV): m/z = 674 (M++1, 7.4), 546(4.4), 470(73.5), 379(82.4), 289 (38.2), 235(22), 203(100), 133(61.8), 90(35.3), 51(75); Anal. Calcd. for C38H28ClN3O3S2 (673): C, 67.69; H, 3.71; N, 6.19; S, 9.45. Found: C, 67.70; H, 3.73; N, 6.21; S, 9.47 %.
Reactants A |
Reactants B |
Products |
3 |
4a (N-phenylmaleimide) |
5a |
3 |
4b (N-4-methoxyphenylmaleimide) |
5b |
3 |
4c (N-4-chlorophenylmaleimide) |
5c |
3 |
4d (2-chloro-5-nitrophenylmaleimide) |
5d |
3 |
6 (Ethyl acrylate) |
7 |
3 |
8 (Methyl methacrylate) |
9 |
3 |
10 (Acetylene dicarboxylic acid) |
11 |
2,4-Bis-(4-chlorophenyl)-1,3-dioxo-9-phenyl-7-thioxo-9a-(4-methylphenythio)-2,3,3a,4,6,7,9a,9b-octahydro-1H-pyrrolo[3,4-f] quinoline-8-carbnitrle (5c)
Crystallized from petroleum ether and methanol as yellow crystals (60%); m. p. 122-5oC; 1H NMR (DMSO-d6) δ =2.23 (s, 3H, tolyl-CH3), 5.3 (d, 1H, CH= cyclohexane), 3.2 (br, 1H, NH), 3.46 (t, 1H, cyclohexane), 3.23(d,1H, succinimide), 3.33(t, 1H, succinimide), 7.00-7.63 ppm (m, 17H, Ar-H); MS (70 eV): m/z = 677 (M+, 29), 601(16), 522(16), 488(22.6), 379 (38.7), 289(80.6), 246(48), 163(32), 127 (67.7), 55(100): Anal. Calcd. for C37H25Cl2N3O2S2 (677): C, 65.48; H, 3.71; N, 6.19; S, 9.45. Found: C, 65.49; H, 3.73; N, 6.22; S, 9.46 %.
2-(2-chloro-4-nitrophenyl)-1,3-dioxo-9-phenyl-7-thioxo-9a-(4-methylpheny thio)-2,3,3a,4,6,7,9a,9b-octahydro-1H-pyrrolo [3, 4-f] quinoline-8-carbnitrle (5d)
Crystallized from petroleum ether and methanol as pale yellow crystals (55%); m. p. 162-4C; 1H NMR (DMSO-d6) δ =2.3 (s, 3H, tolyl-CH3), 5.3 (d, 1H, CH= cyclohexane), 3.7 (br, 1H, NH), 3.5 (t, 1H, cyclohexane), 3.29(d,1H, succinimide), 3.33(t, 1H, succinimide), 6.89-7.79 ppm (m, 16H, Ar-H); MS (70 eV): m/z = 723 (M++1, 0.02), 662(1.42), 601(1.76), 574(20.69), 568(9), 470(23.56), 379 (23.67), 347(100), 348(90), 314(39), 279(22), 156(38.45), 91(6.24): Anal. Calcd. for C37H22Cl2N4O4S2 (722): C, 61.41; H, 3.41; N, 7.74; S, 8.86. Found: C, 61.43; H, 3.44; N, 7.77; S, 8.88 %.
7-(4-chlorophenyl)-3-cyano-4-phenyl-2-thioxo-4a-(4-methyl-phenylthio)-1,2,4a,5,6,7-hexahydro quinoline-6-caboxylic acid ethyl ester (7)
Crystallized from benzene and methanol as yellow crystals (65%); m. p. 294-6oC; 1H NMR (DMSO-d6) δ =2.25 (s, 3H, tolyl-CH3), 5.6 (d, 1H, CH= cyclohexane), 12.7 (br, 1H, NH), 1.56-1.64 (t, 3H, OCH2CH3), 3.3(t,1H, cyclohexane), 2.67(q, 1H, cyclohexane), 2.34(d, 2H, cyclohexane) 4.16-4.25(q, 2H, OCH2CH3) 6.88-7.43 ppm (m, 13H, Ar-H); MS (70 eV): m/z = 571 (M++1, 8.32), 376(4.5), 339(29.29), 276(10.5), 259(7), 207(7.6), 177(17.77), 135(16.24), 124(16.93), 84(100), 78(55), 55(88.6): Anal. Calcd. for C32H27ClN2O2S2 (570): C, 67.29; H, 4.76; N, 4.90; S, 11.23. Found: C, 67.30; H, 4.77; N, 4.91; S, 11.25 %.
7-(4-chlorophenyl)-3-cyano-6-methyl-4-phenyl-2-thioxo-4a-(4-methylphenylthio)-1, 2, 4a, 5, 6, 7-hexahydro quinoline-6-caboxylic acid methyl ester (9)
Crystallized from petroleum ether and methanol as yellow crystals (50%); m. p. 172-4oC; 1H NMR (DMSO-d6) δ =2.25 (s, 3H, tolyl-CH3), 5.55 (d, 1H, CH= cyclohexene), 12.7 (br, 1H, NH), 2.33(s, 3H, ester-CH3), 1.3 (S, 3H, cyclohexene-CH3), 3.3(d,1H,cyclohexene), 2.34(d, 2H, cyclohexene) 6.91-7.44 ppm (m, 13H, Ar-H); MS (70 eV): m/z = 570 (M+, 0.01), 568(8.3), 540(62.5), 443(100), 348(62.5), 418(70), 251(87.5), 193 (41.7), 151(8.3), 91(79), 77(12.5); Anal. Calcd. for C32H27ClN2O2S2 (570): C, 67.29; H, 4.76; N, 4.90; S, 11.27. Found: C, 67.30; H, 4.74; N, 4.92; S, 11.27 %.
7-(4-chlorophenyl)-3-cyano-4-phenyl-2-thioxo-4a-(4-methyl-phenylthio)-1, 2, 4a, 7,-tetrahydro quinoline-5, 6-dicaboxylic acid (11)
Crystallized from petroleum ether and methanol as brown crystals (55%); m. p. 274-6oC; 1H NMR (DMSO-d6) δ =2.22 (s, 3H, tolyl-CH3), 5.7 (s, 1H, CH-cyclohexene), 12.7 (br, 1H, NH), 13.1 (S, 2H, acid), 6.93-7.50 ppm (m, 13H, Ar-H); MS (70 eV): m/z = 584 (M+, 0.4), 573(0.67), 417(1.12), 238(6.38), 227(20), 226(100), 210(22), 181 (22.37.7), 182(16.79), 140(23.74), 113(5.38), 77(13.26). Anal. Calcd. for C31H21ClN2O4S2 (584): C, 63.64; H, 3.62; N, 4.79; S, 10.96. Found: C, 63.65; H, 3.61; N, 4.80; S, 10.99 %.
Biological assays
Anti-tumor cytotoxicity bioassay in vitro
HepG2 (liver carcinoma cell line), MCF7 (breast carcinoma cell line) and HCT (colon carcinoma cell line) were obtained from the Pharmacology Unit, Cancer Biology Department, National Cancer Institute, Cairo University, Egypt. Cells were maintained in DMEM medium with 10% foetal calf serum, sodium pyruvate, 100 U/ml penicillin and 100 µg/ml streptomycin at 37 oC and 5% CO2. Potential cytotoxicity of 3and 5a were tested using the method of Skehan et al. [28]. Briefly, 104 cells/well were plated onto 96-well dishes overnight before the treatment with the tested compounds to allow the attachment of cells to the wall of the plate.
Different concentrations of each tested compound (0.1, 2.5, 5, 10 µg/ml) were added to the cell monolayer; triplicate wells were used for each individual dose. Monolayer cells were incubated with the tested agent(s) for 48h at 37 oC and 5% CO2. At the end of the incubation period, the cells were fixed and stained with sulforhodamine B dissolved in acetic acid. Unbound stain was removed by washing four times with 1% acetic acid and the protein-bound dye was extracted with tris-EDTA buffer. Absorbance was measured in an ELISA reader.
The relation between surviving fraction and compound concentration was plotted to get the survival curve of each tumor cell line and IC50. The concentration of an agent that causes a 50% growth inhibition for each tested agent using each cell line was obtained from the survival curve.
RESULTS AND DISCUSSION
Chemistry
The activity of the methyl group attached to the pyridine ring in 6-methyl-4-phenyl-2-thioxo-5-(4-methylphenylthio)-1,2-dihydro-pyri-dine-3-carbonitrile (1), which was prepared according to the previously reported procedure [28] was tested via its reaction with 4-chlorobenzaldehyde in ethanol in presence of piperidine to give the corresponding ylidene derivative 6-[2-(4-chlorophenyl) viny]-4-phenyl-5(4-methylphenylthio)-2-thioxo-1,2-di hydro pyridine-3-carbonitrile (3). A solid evidence for the structure was achieved via study of the 1H NMR (DMSO-d6) δ=2.28 (s, 3H, tolyl-CH3), 4.14 (br, 1H, NH), 6.74-7.49 ppm (m, 15H, Ar-H and CH=CH) and MS (70 eV): m/z = 471 (M++1, 8.55), 470(M+, 100).
The new diene system found in compound 3 stimulated the interest to its involvement in a series of dipolar cycloaddition reaction leading to an additional number, otherwise difficult obtainable, new heterocyclic derivatives from quinolone and pyrrole quinoline which are required for biological activity studies.
A series of N-arylmaleimides 4a-dwasrefluxed in anisol with 3to yieldsome new adducts from pyrroloquinole bearing the biologically active moiety (-CONArCO-) in addition to other latent functional substituent which make then excellent candidates for both biological studies as well as further chemical transformation.
Thus, compound 3 reacted with N-phenyl maleimide (4a) to yield pyroloquinoline with molecular formula C37H22ClN3O2S2 which represent the total summation of molecular formula of both 3 and 4a. The mass spectrum gave m/z = 643 (M+, 16.87) which is exactly the mass required for the assigned formula and 1H NMR showed the following signals: δ=2.22 (s, 3H, tolyl-CH3), 5.3 (d, 1H, CH= cyclohexene), 3.6 (br, 1H, NH), 3.5 (t, 1H, cyclohexene), 3.23(d,1H, succinimide), 3.33(t, 1H, succinimide),. This compound could be formulated as 4-(4-chlorophenyl)-1,3-dioxo-2,9-diphenyl-7-thioxo-9a-(4-methyl phenyl thio)-2,3,3a,4,6,7,9a,9b-octaahydro-1H-pyrrolo [3,4-f]quinoline-8-carbnitrle (5a) (c. f. Experimental Part).
In the same manner, compound 3 reacted with N-4-methoxyphenylmaleimide (4b) to give the corresponding adduct 4-(4-chlorophenyl)-2-(4-methoxyphenyl)-1,3-dioxo-9-phenyl-7-thioxo -9a-(4-methylphenylthio)-2,3,3a4,6,7,9a,9b-octahydro-1H-pyrrolo [3,4-f] quinoline-8-carbnitrle (5b) with molecular formula C38H28ClN3O3S2. The structure was confirmed via 1H NMR that showed methoxy group at δ = 3.7 (S, 3H, OCH3), and mass spectrum m/z = 674 (M++1, 7.4). and also, compound 3 reacted with N-4-chlorophenylmaleimide (4c) to obtain 2,4-bis-(4-chlorophenyl)-1,3-dioxo-9-phenyl-7-thioxo-9a-(4-methylphenylthio)-2,3,3a, 4,6,7, 9a, 9b-octahydro-1H-pyrrolo [3,4-f] quinoline-8-carbnitrle (5c).
The structure of the compound was confirmed via mass spectrum m/z = 677 (M+, 29). Reaction of compound 3 with 2-chloro-5-nitro phenyl maleimide (4d) gave 2-(2-chloro-4-nitrophenyl)-1,3-dioxo-9-phenyl-7-thioxo-9a-(4-methyl-phenylthio)-2,3,3a,4,6,7,9a,9b- octa -hydro-1H-pyrrolo[3,4-f] quinoline-8 -carbnitrile (5d). The structure was established based on 1H NMR as follows: (DMSO-d6) δ =2.23 (s, 3H, tolyl-CH3), 5.3 (d, 1H, CH= cyclohexane), 3.7 (br, 1H, NH), 3.5 (t, 1H, cyclohexane), 3.29(d,1H, succinimide), 3.33(t, 1H, succinimide), 6.89-7.79 ppm (m, 16H, Ar-H); MS (70 eV): m/z = 723 (M++1, 0.02), 662(1.42), 601(1.76), 574(20.69). (See experimental part).

Compound 3 reacted with ethyl acrylate (6) in anisole to yield the corresponding 1:1 adduct 7-(4-chlorophenyl)-3-cyano-4-phenyl-2-thioxo-4a-(4-methylphenylthio)-1,2,4a,5,6,7-hexa hydroquinoline-6-caboxylic acid ethyl ester (7). The structure of this compound was confirmed by 1H NMR (DMSO-d6) δ =2.25 (s, 3H, tolyl-CH3), 5.6 (d, 1H, CH= cyclohexane), 12.7 (br, 1H, NH), 1.56-1.64 (t, 3H, OCH2CH3), 3.3(t,1H, cyclohexane), 2.67(q, 1H, cyclohexane), 2.34(d, 2H, cyclohexane) 4.16-4.25(q, 2H, OCH2CH3) ppm (m, 13H, Ar-H); in addition to MS (70 eV), m/z = 571 (M++1, 8.32), 376(4.5), 339(29.29),). Analogously, methyl methacrylate (8) reacted with compound 3 and gave 7-(4-chlorophenyl) 3-cyano-6-methyl-4-phenyl-2-thioxo-4a-(4-methylphenylthio)-1, 2, 4a, 5, 6, 7-hexahydro quin oline-6-caboxylic acid methyl ester (9) and structure was confirmed by 1H NMR which showed three methyl groups at δ =2.25 (s, 3H, tolyl-CH3), 2.33(s, 3H, ester-CH3), 1.3 (S, 3H, cyclohexene-CH3) and mass spectrum MS (70 eV): m/z = 570 (M+, 0.01). The reaction of compound 3 with acetylene dicarboxylic acid (10) afforded compound 7-(4-chloro phenyl)-3-cyano-4-phenyl-2-thioxo-4a-(4-methylphenylthio)-1, 2, 4a, 7-tetrahydro quinoline-5, 6-dicaboxylic acid (11). (c. f. Experimental Part). A solid evidence for the structure was achieved via 1H NMR 5.7 (s, 1H, CH-cyclohexene), 12.7 (br, 1H, NH), 13.1 (S, 2H, acid) and study of the mass spectrum of this reaction product which gave m/z = 584 (M+, 0.4). (c. f. Experimental Part).

Biological screening
Cytotoxicity activity
Two new compounds numerically labeled with 3 and 5a were preliminarily screened for their in vitro antiproliferative activity against human liver cancer (HepG2), human colon cancer (HCT) and human breast cancer (MCF-7) cell lines at different concentration. Doxorubicin, which is one of the most effective anticancer agents, was used as a reference drug (fig. 1-3). Results from the fig. indicated that these two compounds displayed moderate to good anticancer activity on the cell lines. Against MCF-7 cell line, two compounds showed good anticancer effect and compounds 3 with chalcone moiety on pyridine 2(1H) thione ring displayed better anticancer activity than compound 5a with pyrroloquinoline. and this agreement with the literature that presence of chalcone moiety in compound give broad spectrum biological activities including anticancer effect [29].
However, these compounds showed the poor anticancer effect on both HepG2 and cell lines. In the case of HCT compound 3 showed more potent activity than compound 5a may also be due to present chalcones that exhibit cytotoxicity against a number of cell lines from a wide range of tumors,mainly colon cancer [30]. on contrast, in the case of HepG2 cell line, the results indicated that compounds 5ashowed more potent activity than compound 3 because of the presence of pyrroloquinoline moiety natural sources with a good effect on hepatocarcinoma [31, 32]

Fig. 1: Percentage viability of MCF-7, HepG2 and HCT cells after treatment with positive control (Doxorubicin) (0.1, 2.5, 5, 10 µg/ml) for 48 h prior to MTT assay to determine the potential anticancer effect. The calculated IC50 values of MCF-7, HepG2 and HCT were 2.97, 3.37 and 3.37 μg/ml, respectively

Fig. 2: Percentage viability of MCF-7, HepG2 and HCT cells after treatment with compound 3 (0.1, 2.5, 5, 10 µg/ml) for 48 h prior to MTT assay to determine potential anticancer effect. The calculated IC50 values of MCF-7, HepG2 and HCT were 9.8, 22.8 and 20.2 μg/ml, respectively

Fig. 3: Percentage viability of MCF-7, HepG2 and HCT cells after treatment with compound 5a (0.1, 2.5, 5, 10 µg/ml) for 48 h prior to MTT assay to determine potential anticancer effect. The calculated IC50 values of MCF-7, HepG2 and HCT were 11.2, 20.1 and 24.6 μg/ml, respectively
CONCLUSION
New quinoline and pyrroloquinoline derivatives were synthesized starting with 6-methyl-4-phenyl-2-thioxo-5-(4-methylphenylthio)-1,2-dihydropyridine-3-carbonitrile. Two new compounds 3 and 5a were tested for their in vitro antiproliferative activity against MCF-7, HepG2 and HCT cancer cell lines. The result showed that compound 3 exhibited more potent antiproliferative activity than compound 5a in the case of MCF-7 and HCT.
AKNOWLDGEMENT
The authors are grateful to micro-analytical centre, Cairo University for carrying out NMR and mass spectra. and also, We are grateful to all members of the department of Cancer Biology, National Cancer Institute, Cairo, Egypt, for carrying out the cytotoxicity testing.
CONFLICT OF INTERESTS
Declared None
REFERENCES