
a,bDepartment of Chemistry, University College of Science, Osmania University, Hyderabad 500007, India
Email: venkateshwarlugoud@yahoo.com
Received: 07 Jul 2015 Revised and Accepted: 18 Nov 2015
ABSTRACT
Objective: The object of this research was to develop simple, sensitive and selective methods for the quantitative determination of five drugs, viz., (RAM) Ramipril, (VOR) Voriconazole, (SDC) Sildenafil Citrate, (ITM) Imatinib mesylate and (CFH) Ciprofloxacin hydrochloride.
Methods: The method for each drug depends upon oxidation of drugs by Cerium [Ce (IV)] (Excess) and estimating the amount of unreacted Ce (IV) by Rhodamine-B dye at 557 nm. These methods have been applied to the determination of drugs in their pure form as well as in tablet formulations.
Results: Beer’s law is obeyed in the concentration of 16-112, 15-105, 12-84, 8-56 and 2-14 μg ml-1 for (RAM) Ramipril, (VOR) Voriconazole, (SDC) Sildenafil Citrate, (ITM) Imatinib mesylate and (CFH) Ciprofloxacin hydrochloride respectively. The results of analyses were validated statistically. Statistical comparison of the results with the reference method shows excellent agreement and indicates no significant difference in accuracy and precision. The effect of excipients has also been studied and found to have no effect. These methods have been validated in terms of guidelines of ICH.
Conclusion: The proposed methods have good selectivity and a correct sensibility; they rely on the use of simple and cheap chemicals, but provide similar sensitivity to that obtained with the HPLC; sophisticated and more expensive technique.
Keywords: Spectrophotometry, Drugs, Cerium, Rhodamine-B, Quantification and Validation.
© 2016 The Authors. Published by Innovare Academic Sciences Pvt Ltd. This is an open access article under the CC BY license (http://creativecommons.org/licenses/by/4.0/)
INTRODUCTION
(RAM) Ramipril, 2-[N-[(S)-1-ethoxy carbonyl-3-phenyl propyl]-L-alanyl]-(1S, 3S, 5S)-2-azabicyclo [3, 3, 0]-octane-3-carboxylic acid, (Fig.1) is an angiotensin converting enzyme inhibitor (ACE). It is used for the treatment of hypertension, heart failure and following myocardial infarction. It is also used to help reduce the risk of cardiovascular events in patients with certain risk factors. Ramipril acts as a prodrug of diacid ramipril at. Ramipril owes its activity to ramipril at to which it is converted after oral administration [1, 2]. Its quantification method is reported [3] in which earlier methods of determination are given.
(VOR) Voriconazole is a triazole antifungal that is a derivative of fluconazole. It is chemically (2R, 3S)-2-(2, 4-difluorophenyl)-3-(5-fluoro pyrimidin-4-yl)-1-(1, 2, 4-triazol-1-yl) butan-2-ol (fig. 2) [4]. Like all azole antifungals, its mechanism of action is the inhibition of a cytochrome P-450-dependent enzyme, 14-á-sterol demethylase that is essential to the synthesis of ergosterol for the fungal cell membrane. This inhibition is more selective for fungal than for mammalian enzyme systems. The accumulation of 14-alphamethyl sterols results in a decrease in ergosterol, which is an important component of fungal cell wall formation. The resulting cell wall abnormalities are regarded as responsible for VOR's antifungal activity. Determination of Voriconazole [5] reported in which past methods are discussed.
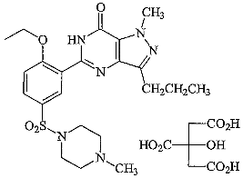
(SDC) Sildenafil citrate is designated chemically as 1-h [3-(6,7-dihydro-1-methyl-7-oxo-3-propyl-1-Hpyrazolo [4,3-d] pyrimidin-5-yl)-4-ethoxyphenyl] sulfonyl-4-methylpiperazine citrate and has the structural formula shown in (fig. 3) It is used in oral therapy for erectile dysfunction, is a selective inhibitor of cyclic guanosine monophosphate (cGMP) specific phosphodiesterase type 5 (PDE5) [6]. Recent determination method [7] is preceded by various methods cited therein.
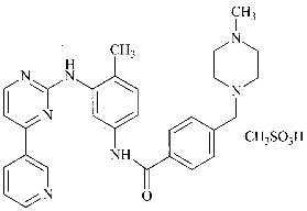
(ITM) Imatinib mesylate is chemically known as 4-4 [(4-methyl-1-piperazinyl) methyl]-N-[4-methyl-3-[[4-(3-pyridinyl)-2-pyrimidinyl] amino] phenyl]–benzamide mono methane sulfonate (Fig.4). Imatinib mesylate is a most frequently prescribed cancer medication drug to treat leukemia and gastrointestinal tumors. It operates by inhibiting proteins associated with cancer cell growth in order to relieve symptoms, prevent the spread of cancer cells and aid other treatments. The drug is designed to inhibit tyrosine kinases such as Bcr-Abl and is used in the treatment of chronic myeloid leukemia (CML) and gastrointestinal stromal tumor. [8] Imatinib mesylate was endorsed by the US Food and Drug Administration (FDA) to treat a rare cancer called chronic myeloid leukemia (CML). It is recently quantified by UV spectrophotometric method [9] that includes past quantification references on the drug.
(CFH) Ciprofloxacin hydrochloride is a second generation fluoroquinolone, broad spectrum antibiotic employed in various bacterial infections [10]. It is chemically 1-cyclopropyl-6-fluro-1, 4-dihydro-4-oxo-7-(piperazin-1-yl) quinoline-3-carboxylic acid hydrochloride monohydrate (fig. 5). Its spectrum of activity includes most strains of bacterial pathogens responsible for respiratory, urinary tract, gastrointestinal, and abdominal infections, including Gram-negative and Gram-positive A recent quantitative method [11]in which various earlier methods of quantification are covered.
Thorough survey of literature on the above-mentioned drugs revealed that quantification using Cerium as an oxidizing reagent has not been reported yet, although the reagent is common, known and recognized for offering simple, sensitive method of quantification of drugs [12-15]. This prompted the authors to develop quantification methods for the above-cited drugs using Cerium as an oxidizing agent and Rhodamine-B as an analytical reagent.
Fig. 1: Ramipril
Table 1: comparison of various existing methods used for quantification of drugs
S. No. |
Drugs |
Method |
Linear range |
%RSD |
LOQ |
1 |
Ramipril |
HPLC |
250-650 (µg ml–1) |
0.48 |
1 (µg ml–1) |
HPLC |
0.25-7.5 (µg ml–1) |
2.92 |
0.25 (µg ml–1) |
||
2 |
Voriconazole |
RP-HPLC |
7-12 ppm |
0.07 |
- |
RP-HPLC |
25-75 (µg ml–1) |
0.348 |
1.98 (µg ml–1) |
||
3 |
Sildenafil Citrate |
HPLC |
10-70 (µg ml–1) |
0.942 |
180 (ng ml–1) |
HPLC |
0.01-60 (µg ml–1) |
1.30 |
11.57 (ng ml–1) |
||
4 |
Imatinib mesylate |
RP-HPLC |
10-50 (µg ml–1) |
1.422 |
- |
RP-HPLC |
20-120 (µg ml–1) |
0.33 |
- |
||
5 |
Ciprofloxacin hydrochloride |
HPLC |
10-50 (µg ml–1) |
0.12 |
- |
RP-HPLC |
0.052-0.21 (µg ml–1) |
0.152 |
0.105 (µg ml–1) |
Fig. 2: Voriconazole
Fig. 3: Sildenafil citrate
Fig. 4: Imatinib mesylate
Fig. 5: Ciprofloxacin hydrochloride
MATERIALS AND METHODS
Instrument
All absorbance measurements were recorded on Shimadzu 140 double beam spectrophotometer as well as on Thermo Nicolet 100 & Elico 159 UV-visible single beam spectrophotometers using matched pair of quartz cells of 10 mm path length.
Materials
Cerium (IV) sulphate (Ce(SO4)2.2H2O, 99.9 % pure) was prepared by dissolving 250 mg of chemical (Merck, Mumbai, India) in 2N H2SO4 with the aid of heat and filtered using glass wool, and diluted to 100 ml with distilled water and cerium is standardized by ferrous ammonium sulphate and ferroin indicator. The solution was then diluted appropriately with distilled water to get working concentrations of 1375µg ml–1.A stock solution of Rhodamine-B (500µg ml–1) was prepared by dissolving the dye (s. d. Fine Chem. Ltd., Mumbai, India) in distilled water and filtered using glass wool. The dye solution was diluted to get 50µg ml–1.
Sulphuric acid is prepared by diluting the concentrated acid (Merck, Mumbai, India, and Sp. gr. 1.84, 98.0%) with distilled water appropriately to get 2N acid. Standard drug solution (200μg ml-1) was prepared by dissolving 20 mg of the drug with distilled water to the mark in100 ml standard flask. The stock solution was diluted appropriately to get the working concentration.
Assay procedure
Aliquots of pure drug solution (1 to 7 ml) were transferred into a series of 10 ml calibrated flasks and to each flask 1 ml of 2N sulphuric acid was added, followed by 1 ml of Cerium (IV) (1375µg ml–1). The contents were mixed and the flasks were set aside for 30 min under occasional shaking. Finally, 1 ml of 50µg ml–1Rhodamine-B solution was added to each flask, diluted to the mark with water and the absorbance of the solution was measured at 557 nm against a reagent blank.
Calibration curves were constructed for all the drugs by plotting the absorbance versus the concentration of drugs. The absorbance data were collected for six replicate experiments and absorbance to the concentration ratio called the relative response was determined. The relative responses from 95% to 105% of the average are only considered for construction of the calibration curves (fig. 6).
Procedure for assay of pure drug
Sample solutions of each drug in the beer’s law limits were chosen and recovery experiments were performed to check the accuracy and precision. The concentration chosen and recovery are tabulated in table 2. Excellent recovery and %RSD are less than 2 speaking about the precision and accuracy of the method.
Procedure for tablets
Ramipril
Twenty tablets (Acepril,5 mg Ultra Chiron, Punjab) were weighed and grounded. A quantity equivalent to 20 mg of Ramipril was dissolved in methanol and sonicated for 30 min. Then filtered using a Whatman No. 42 filter paper. The residue was washed twice with methanol for complete recovery of drug and methanol was evaporated. The residue was dissolved in 100 ml of distilled water, and the assay was completed according to the procedure described above.
Voriconazole
Twenty tablets (Vfend, 50 mg Pfizer, Ireland Pharmaceuticals) were weighed accurately and grounded. A quantity equivalent to 20 mg of Voriconazole was weighed and transferred into a 100 ml calibrated flask and the volume was finally diluted to the mark with water, mixed well and filtered using a Whatman No. 42 filter paper. It was used as a sample stock solution and was further diluted with water to get a working solution.
Sildenafil citrate
Twenty tablets (Viagra, 50 mg Pfizer, Mumbai) weighed and grinding into fine powder quantity equivalent to 20 mg of the drug was dissolved in methanol. The contents were filtered through Whatman filter paper No. 42. The methanol was evaporated and the residue was dissolved in 100 ml of distilled water and it was further diluted to get the required concentration for the analysis of the drug.
Imatinib mesylate
Twenty tablets were (veenat, 100 mg, Natco Pharma, Hyderabad) finely powdered and mixed thoroughly. The powder equivalent to 20 mg was transferred to a 100 ml volumetric flask and dissolved by sonication with sufficient quantity of methanol. The solution was then filtered through Whatman filter paper No.42. The methanol was evaporated and the residue was dissolved in 100 ml of distilled water and it was further diluted to obtain a final concentration of drug.
Ciprofloxacin hydrochloride
Twenty tablets of (Atocip,250 mg, Atoz Pharma, Chennai) were weighed accurately and powdered. The powder equivalent to 20 mg was transferred into a 100 ml volumetric flask containing methanol and sonicated for 30 min. The solution was filtered using Whatman No.42 filter paper and further diluted with water to obtain the working standard solution.
Fig. 6: Calibration curves of drugs
RESULTS AND DISCUSSION
Method development
The proposed spectrophotometric methods are indirect and are based on the determination of the excess of Cerium (IV) after allowing the reaction between a drug and a measured amount of Cerium (IV) to be completed. The excess of Cerium (IV) was determined by reacting it with a fixed amount of Rhodamine-B dye. The methods make use of the bleaching action of Cerium (IV) on the dye. The decolouration being caused by the oxidative destruction of the dyes. Drug when added in increasing concentrations to a fixed concentration of Cerium (IV), consumes the latter proportionally and there occurs a concomitant fall in the concentration of Cerium (IV). When a fixed concentration of dye is added to decreased concentrations of Cerium (IV), a concomitant increase in the concentration of dye is obtained. Consequently, a proportional increase in the absorbance at the respective λmax is observed with increasing concentration of the drug.
Preliminary experiments were conducted to determine the maximum concentrations of Rhodamine-B spectrophotometrically by measuring the absorbance of their acidic solutions at their respective λmax and the upper limits were found to be 5µg ml–1for Rhodamine-B. Cerium (IV) concentration of 137.5µg ml–1was found to bleach the red color due to5µgml1Rhodamine-B. Hence different amounts of drug reacted with 137.5µg ml–1 Cerium (IV) in these methods before determining the residual Cerium (IV) as described under the respective procedure.
Sulphuric acid was considered to be a convenient medium for this method. For a quantitative reaction between the drug and Cerium (IV), a contact time of 30 min was found ample. Constant absorbance readings were obtained when the reaction times were extended up to 35 min and a standing time of 5–10 min was necessary for the bleaching of dye color by the residual Cerium (IV). The measured color was stable for several hours, even in the presence of the reaction product.
Analytical data
A linear correlation was found between absorbance at λmax and concentration of all drugs in the ranges given in table2. Regression analysis of the Beer’s law data using the method of least squares was made to evaluate the slope (b), intercept (a) and correlation coefficient(r) for each system and the values are shown in table2. The optical characteristics such as Beer’s law limits and Sandell sensitivity values for both methods are given in table2. The limits of detection (LOD) and quantitation (LOQ) calculated according to ICH guidelines [16, 17] are also presented in Table2 and reveal the high sensitivity of the methods.
LOD = 3.3Sa/b
LOQ = 10Sa/b.
Where Sa= standard deviation of the intercept (n = 6)
b = slope of Calibration plot.
Precision and accuracy
Intra-day precision was assessed from the results of six replicate analyses on pure drug solution. The mean values and relative standard deviation (RSD) values for replicate analyses at three different levels (amounts/concentrations) were calculated. To evaluate the inter-day precision, analysis was performed over a period of five days, preparing all solutions afresh each day. The accuracy of the methods was established by calculating the percentage deviation observed in the analysis of pure drug solution and expressed as the relative error. Table3 summarizes the intra-day precision and accuracy data for the assay of the pure drug solutions by the proposed methods.
Robustness and ruggedness
To evaluate the robustness of the methods, volume of Sulphuric acid was slightly altered. The reaction time (after adding Cerium (IV), time varied was 30±2 min) and the time after addition of dye is slightly changed. To check the ruggedness, analysis was performed by three different analysts and on three different spectro-photometers by the same analyst.
Application to formulations
The proposed methods are applicable to the determination of drugs in tablets. The results in Table4 showed that the methods are successful for the determination of drugs and that the excipients in the dosage forms do not interfere. The results are compared to available validated [3,5,7,10,12] methods on each drug and the results agree well with the claim and also are in agreement with the results obtained by the literature method.
Statistical analysis of the results using Student’s t-test for accuracy and F-test for precision revealed no significant difference between the proposed methods and the literature method with respect to accuracy and precision.
Table 2: Analytical and regression parameters of spectrophotometric methods *Limit of determination as the weight in μg per ml of solution
Parameter |
RAM |
VOR |
SDC |
ITM |
CFH |
λmax, nm |
557 |
557 |
557 |
557 |
557 |
Beer’s law limitsµg mL-1 |
16-112 |
15-105 |
12-84 |
8-56 |
2-14 |
Molar absorptivity, L mol-1 cm-1 |
5.102×103 |
2.957×103 |
1.100×104 |
1.149×104 |
3.475×104 |
Sandell sensitivity* µg cm-2 |
0.1369 |
0.1369 |
0.0657 |
0.0800 |
0.0117 |
Limit of detectionµg mL-1 |
13.200 |
11.301 |
10.876 |
7.6824 |
1.4614 |
Limit of quantification µg mL-1 |
40.00 |
34.246 |
32.960 |
23.280 |
4.4287 |
Regression equation, Y** |
|||||
Intercept, (a) |
0.0894 |
0.0221 |
-0.0204 |
0.0576 |
0.0227 |
Slope, (b) |
0.0073 |
0.0073 |
0.0152 |
0.0125 |
0.08 49 |
Correlation coefficient, (r) |
0.9997 |
0.9995 |
0.9997 |
0.9997 |
0.9996 |
Standard deviation of intercept (Sa) |
0.0292 |
0.0250 |
0.0501 |
0.0291 |
0.0376 |
Standard deviation of slope (Sb) |
0.0004 |
0.0015 |
0.0023 |
0.0003 |
0.0054 |
which corresponds to an absorbance of A = 0.001 measured in a cuvette of cross-sectional area 1 cm2and path length of 1 cm. Y** = a+bX, where Y is the absorbance and X concentration of drugs in μg per ml.
Table 3: Determination of accuracy and precision of pure drug samples
Drug |
Taken (µg/ml) |
Found (µg/ml) |
er (%) |
Recovery (%) |
RSD*(%) |
Proposed method mean ±SD |
RAM |
20.0 |
20.03 |
0.15 |
100.15 |
0.1720 |
100.02 ±0.1721 |
40.0 |
40.04 |
0.10 |
100.10 |
|||
60.0 |
59.90 |
0.16 |
99.83 |
|||
VOR |
25.0 |
25.02 |
0.08 |
100.08 |
0.4148 |
100.24 ±0.4158 |
55.0 |
55.04 |
0.07 |
100.72 |
|||
85.0 |
84.95 |
0.05 |
99.94 |
|||
SDC |
15.0 |
15.00 |
0.00 |
100.00 |
0.0460 |
100.05 ±0.0461 |
45.0 |
45.04 |
0.08 |
100.08 |
|||
75.0 |
75.06 |
0.08 |
100.08 |
|||
ITM |
10.0 |
9.98 |
0.20 |
99.80 |
0.1286 |
99.85 ±0.1285 |
30.0 |
29.93 |
0.23 |
99.76 |
|||
50.0 |
50.00 |
0.00 |
100.00 |
|||
CFH |
4.0 |
4.02 |
0.50 |
100.50 |
0.3811 |
100.16 ±0.3818 |
8.0 |
8.02 |
0.25 |
100.25 |
|||
12.0 |
11.97 |
0.25 |
99.75 |
*n-Average of six replicates
Table 4: Results of assay of tablets by the proposed methods and statistical evaluation method
Tablets |
Taken (µg ml-1) |
Found (µg ml-1) |
Er (%) |
Recovery (%) |
RSD* (%) |
Reference method Mean±SD |
Proposed method mean±SD |
Student’s t-test |
F-test |
RAM |
15.0 |
15.02 |
0.13 |
100.13 |
0.0679 |
101.20 ±0.040 |
100.07 ±0.0680 |
0.8693 (2.447) |
2.890 (4.2838) |
30.0 |
30.03 |
0.10 |
100.10 |
||||||
45.0 |
45.00 |
0.00 |
100.00 |
||||||
VOR |
20.0 |
19.98 |
0.10 |
99.90 |
0.0929 |
99.90 ±0.730 |
100.00 ±0.0929 |
2.1206 (2.447) |
0.0161 (4.2838) |
40.0 |
40.03 |
0.07 |
100.07 |
||||||
60.0 |
60.03 |
0.05 |
100.05 |
||||||
SDC |
25.0 |
25.02 |
0.08 |
100.08 |
0.0702 |
99.74 ±0.462 |
100.00 ±0.0702 |
2.0537 (2.447) |
0.0230 (4.2838) |
50.0 |
50.00 |
0.00 |
100.00 |
||||||
75.0 |
74.96 |
0.05 |
99.94 |
||||||
ITM |
10.0 |
9.99 |
0.10 |
99.90 |
0.1206 |
100.02 ±0.225 |
99.91 ±0.1205 |
0.9075 (2.447) |
0.2868 (4.2838) |
30.0 |
29.94 |
0.20 |
99.80 |
||||||
50.0 |
50.02 |
0.04 |
100.04 |
||||||
CFH |
3.0 |
3.01 |
0.33 |
100.33 |
0.0655 |
100.18 ±0.211 |
100.27 ±0.0655 |
1.4835 (2.571) |
0.0963 (4.9503) |
7.0 |
7.02 |
0.28 |
100.28 |
||||||
10.0 |
10.02 |
0.20 |
100.20 |
*n-Average of six replicates
CONCLUSION
The methods developed in this study have the advantages to be: simple, fast, and cost-effective for the determination of drug concentrations. These proposed methods have good sensitivity and are based on the use of simple and cheap chemicals; their sensitivity is comparable to the sophisticated and expensive reference method such as HPLC. Thus, they can be used as alternatives for rapid and routine determination of bulk sample and tablets.
ACKNOWLEDGEMENT
The authors are thankful to the Head, Department of Chemistry, Osmania University, Hyderabad-500007 for providing facilities. One of the authors B TIRUPATHI is thankful to CSIR for SRF.
CONFLICT OF INTERESTS
Declared None
REFERENCES