
Department of Chemical Technology, Dr. Babasaheb Ambedkar Marathwada University, Aurangabad 431004, MS, India
Email: dbsaniket09@gmail.com
Received: 08 Jul 2015 Revised and Accepted: 08 Aug 2015
ABSTRACT
Objective: The objective of the reported study was to develop new chemical entities as potential anti-inflammatory agents with analgesic and nitric oxide releasing properties.
Methods: The compounds were designed with the help of docking studies. In the synthetic study the target compounds were obtained by reacting 2-(substituted-2,5-diphenyl-oxazole)-acetic acid (2a-2v) with nitro-oxy ethyl bromide in the presence of dimethyl formamide and potassium carbonate to give 2-(nitrooxy) ethyl 2-(substituted-2,5-diphenyl-oxazole) acetate derivatives (3a-3v). The synthesized derivatives were characterized with the help of different analytical techniques and further evaluated for anti-inflammatory, analgesic and nitric oxide releasing activity.
Results: With the help of docking study it was proven that compounds 3a, 3c, 3g, 3l and 3r showed significant G-score. In the anti-inflammatory and analgesic study also, compounds 3a, 3c, 3g, 3l and 3r exhibited promising activity. All the synthesized compounds exhibited significant nitric oxide releasing properties both in-vitro and in-vivo.
Conclusion: Compounds 3a, 3c, 3g, 3l and 3r exhibited prominent anti-inflammatory and analgesic activity.
Keywords: Oxazole, Docking, Anti-inflammatory, Analgesic, Nitric oxide.
© 2016 The Authors. Published by Innovare Academic Sciences Pvt Ltd. This is an open access article under the CC BY license (http://creativecommons.org/licenses/by/4.0/)
INTRODUCTION
Nonsteroidal Anti-Inflammatory Drugs (NSAIDs) are mainly used for reduction in the inflammation and fever. Selective Cyclo-oxygenase-2 (COX-2) inhibitors show less or no GI damage and bleeding compared with conventional NSAIDs [1]. As per reports, the selective COX-2 inhibitors cause significant adverse effects on the renal and cardiovascular systems. To minimize the side effects of NSAIDs, recent strategies adopted the use of the dual LOX/COX inhibitors, COX inhibitors with a nitric oxide-releasing functional group and other approaches [2-4].
Oxazole derivatives have raised considerable attention to medicinal research. Among the numerous heterocyclic moieties of biological and pharmacological interest, the oxazole ring is endowed with various activities, such as analgesic, anti-inflammatory [5], hypoglycemic [6] and antibacterial [7] activities. Oxazoles are also one of the key building elements of the natural products.
In the present work, synthetic approaches based on chemical modification of NSAIDs have been taken with the aim of improving safety profile and in turn therapeutic window of the resultant NSAIDs. Our previous studies had described the synthesis of hybrid molecules with nitric oxide-releasing group that resulted in an increased anti-inflammatory activity with reduced GI-ulcerogenicity [1]. In our attempt to continue to discover new, safer, and potent agents for the treatment of inflammatory diseases, we have synthesized compounds containing pharmacophore of 2, 5 diaryl oxazole ring with nitric oxide-releasing group to accentuate potency and reduce toxicities associated with the traditional NSAIDs. The compounds designed so were found to possess much significant anti-inflammatory activity with analgesic and nitric oxide releasing properties.
MATERIALS AND METHODS
Synthetic studies
All the compounds were synthesized using the reported literature procedures. Synthetic procedures were set and optimized as and were required. All the chemicals and solvents were purchased from avra chemicals and sigma-aldrich. Melting points were uncorrected and recorded on optimelt digital melting point apparatus. IR spectra were recorded on bruker alpha E FTIR spectrophotometer.1H NMR were recorded on varian 400MHz spectrometer by using TMS as internal standard and DMSO as a solvent. Mass spectra were recorded on scinpor Q-TOF.
General procedure for the synthesis of substituted benzoyl propionic acid (1a-1v)
In a 250 ml RBF, 0.68 mol of succinic anhydride and 4.5 mol of benzene were placed. In the reaction mixture 1. 5 mol of powdered, anhydrous aluminum chloride were added all at once. The reaction mixture was refluxed, with continued stirring, for half an hour. After heating, cold water was added drop wise to the reaction mixture. The excess benzene was removed by steam distillation and the hot solution was at once poured into a beaker. After the mixture was cold the liquid was decanted from the precipitated solid and acidified with concentrated hydrochloric acid. Desired product was separated and filtered.
Synthesis of nitrooxy ethyl bromide
2-bromoethanol (10 mmol) was added drop wise to a solution of 70% HNO3 (1.1 ml) and 95% H2SO4 (2.4 ml) at 0 °C, and the reaction was allowed to proceed at the same temperature for 1 h with stirring. The resulting suspension was poured into water (50 ml), extracted with CH2Cl2 (3 × 200 ml), and dried over MgSO4, and the solvent was removed to give the nitrooxy alkyl bromide [8].
General procedure for the synthesis of 2-(substituted-2,5-diphenyl-oxazole)-acetic acid (2a-2v)
To a solution of benzylamine (1.5 mmol) in DMF (3 ml) was successively added iodine (1.2 mmol), benzoyl propionic acid (1 mmol), Cu (OAc)2. H2O (0.1 mmol), TBHP (2 mmol). After the reaction mixture was stirred for 5 h at room temperature, other portion of benzylamine (0.5 mmol) were added to the reaction system again. Upon completion, the reaction mixture was extracted with EtOAc, dried over Na2SO4. Then the organic phase was concentrated in vacuum and purified by silica gel column chromatography to afford the desired product [9].
General procedure for the synthesis of 2-(nitrooxy) ethyl 2-(substituted-2,5-diphenyl-oxazole) acetate derivatives (3a-3v)
A solution of the nitrooxy ethyl bromide (0.22 mmol), 2a (0.20 mmol), and K2CO3 (0.24 mmol) in dry DMF (10 ml) was stirred at 25 °C for 24 h. Water (20 ml) was added, the mixture was extracted with EtOAc (3 × 30 ml), the extract was washed with water (2 × 20 ml) and then brine (20 ml), the organic phase was dried over Na2SO4, and the solvent was removed under vacuum. The residue was purified by column chromatography (hexane/ethyl acetate) to afford the desired product [8].
Analytical data
2-(nitrooxy) ethyl-2-(5-(4-chlorophenyl)-2-(4-fluorophenyl) oxazol-4-yl) acetate (3a)
White solid; IR: 3028, 2847, 1745, 1525, 1626, 1610 cm-1;1HNMR (400 MHz, DMSO): δ= 4.25 (s,2H,CH), 4.6(t,2H,CH2), 4.8 (t,2H,CH2), 7.01 (d,2H,CH), 7.25 (d,2H,CH), 7.40 (d,2H, CH), 7.5 (d,2H,CH). MS: m/z 421[M+H]+. Elemental analysis: Found C(54.25), H(3.36), N (6.67) Calculated C(54.23), H(3.35), N(6.66).
2-(nitrooxy) ethyl-2-(5-(4-chlorophenyl)-2-(4-methoxy phenyl) oxazol-4-yl) acetate (3b)
Reddish orange solid; IR: 3055, 2810, 1721, 1539, 1595, 1210, 1629 cm-1;1HNMR (400 M Hz, DMSO): δ= 3.6 (t, 2H, CH2), 4.6 (t, 2H, CH2), 4.78 (t, 3H, CH3), 4.25 (s, 2H, CH), 7.25 (t, 2H, CH), 7.41 (d, 2H, CH), 7.6 (t, 2H, CH), 7.65 (d, 2H, CH) MS: m/z 433[M+H]+. Elemental analysis: Found C(55.49), H(3.98), N(6.49) Calculated C(55.50), H(3.96), N(6.47).
2-(nitrooxy) ethyl-2-(5-(4-chlorophenyl)-2-(3-methoxy phenyl) oxazol-4-yl)acetate (3c)
White solid; IR: 3045, 2829, 1726, 1510, 1623, 1225, 1639 cm-1;1HNMR (400 MHz, DMSO):): δ= 3.7 (t, 2H, CH2), 4.5 (t, 2H, CH2), 4.82 (s, 3H, CH3), 4.2 (s, 2H, CH), 7.22 (t, 2H, CH), 7.3 (d, 2H, CH), 7.5 (t, 2H, CH), 7.6 (d, 2H, CH). MS: m/z 433 [M+H]+. Elemental analysis: Found C (55.52), H(3.98), N(6.49) Calculated C(55.50), H(3.96), N(6.47).
2-(nitrooxy) ethyl-2-(5-(4-chlorophenyl)-2-(3-methoxybenzyl) oxazol-4-yl) acetate (3d)
Off white solid; IR: 3022,2856,1710,1539,1580,1235,1659 cm-1;1HNMR (400MHz, DMSO): δ= 3.82(t,2H,CH2), 4.55(t,2H,CH2), 4.64(s,3H,CH3), 4.25(s,2H,CH2), 4.1(s,2H,CH2), 7.0 (d,2H,CH),7.0(s,1H,CH),7.44(d,2H,CH),7.64(s,1H,CH), 7.68(d,2H,CH). MS: m/z 447[M+H]+. Elemental analysis: Found C(56.46), H(4.27), N(6.29) Calculated C(56.45), H(4.29), N(6.27).
2-(nitrooxy) ethyl-2-(5-(4-chlorophenyl)-2-(furan-2-yl)oxazol-4-yl)acetate (3e)
Yellow solid; IR: 3068, 2830, 1723, 1546, 1565, 1599 cm-1;1H NMR (400 MHz, DMSO): δ= 4.1 (t, 2H, CH2), 4.3 (t, 2H, CH2), 4.45 (t, 2H, CH2), 7.0 (s, 1H, CH), 7.1 (s, 1H, CH), 7.5 (d, 2H, CH), 7.6 (d, 2H, CH), 7.8 (s, 1H, CH). MS: m/z 393 [M+H]+. Elemental analysis: Found C(51.95), H (3.34), N (7.11) Calculated C(51.99), H(3.34), N(7.13).
2-(nitrooxy) ethyl-2-(5-(4-chlorophenyl)-2-(pyridin-2-yl) oxazol-4-yl) acetate (3f)
White solid; IR: 3102, 2813, 1739, 1535, 1549, 1629 cm-1;1HNMR (400 MHz, DMSO): δ= 3.8 (t, 2H, CH2), 4.5 (t, 2H, CH2), 5.0 (t, 2H, CH2), 7.5 (d, 2H, CH), 7.6 (d, 2H, CH), 7.7 (s, 1H, CH), 7.75 (s, 1H, CH), 7.8 (s, 1H, CH), 7.9 (s, 1H, CH). MS: m/z 404[M+H]+. Elemental analysis: Found C(53.56), H(3.47), N(10.43) Calculated C(53.54), H(3.49), N(10.41).
2-(nitrooxy) ethyl-2-(5-(4-chlorophenyl)-2-phenyloxazol-4-yl) acetate (3g)
Off white solid; IR: 3056, 2840, 1750, 1520, 1559, 1656 cm-1;1H NMR (400 MHz, DMSO): δ= 3.7 (t, 2H, CH2), 4.3 (t, 2H, CH2), 4.9 (t, 2H, CH2), 7.4 (d, 2H, CH), 7.42 (s, 1H, CH), 7.5 (d, 2H, CH), 7.7 (d, 2H, CH), 7.9 (d, 2H, CH). MS: m/z 403[M+H]+. Elemental analysis: Found C (56.68), H(3.77), N(6.93) Calculated C(56.66), H(3.75), N(6.95).
2-(nitrooxy) ethyl-2-(5-(4-chlorophenyl)-2-(4-ethoxyphenyl) oxazol-4-yl) acetate (3h)
Pale yellow solid; IR: 3041, 2829, 1740, 1514, 1559, 1244, 1636 cm-1;1H NMR (400 MHz, DMSO): δ= 1.4 (t,3H,CH3), 3.7 (s,2H,CH2), 3.84 (t,2H,CH2), (3.9 (t,2H,CH2), 4.1 (q,2H, CH2), 7.1 (d,2H,CH), 7.4 (d,2H,CH), 7.7 (d, 2H, CH), 7.9 (d, 2H, CH). MS: m/z 447 [M+H]+. Elemental analysis: Found C (56.47), H(4.27), N(6.29) Calculated C(56.45), H(4.29), N(6.27).
2-(nitrooxy) ethyl-2-(5-(4-chlorophenyl)-2-(4-(trifluoro -methoxy) phenyl) oxazol-4-yl) acetate (3i)
Buff solid; IR: 3031, 2822, 1729, 1522, 1542, 1219, 1650 cm-1;1HNMR(400 MHz, DMSO): δ= 3.7 (s, 2H, CH2), 4.1 (t, 2H, CH2), 4.3 (t, 2H, CH2), 7.1 (d, 2H, CH), 7.42 (d, 2H, CH), 7.7 (d, 2H, CH), 7.9 (d, 2H, CH). MS: m/z 487[M+H]+. Elemental analysis: Found C(49.37), H(2.88), N (5.79) Calculated C(49.35), H(2.90), N(5.75).
2-(nitrooxy) ethyl-2-(5-(4-chlorophenyl)-2-(4-((trifluoro-methyl) thio) phenyl) oxazol-4-yl) acetate (3j)
White solid; IR: 3021, 2835, 1729, 1525, 1549, 1661 cm-1;1HNMR(400 MHz, DMSO): δ= 3.6 (s, 2H, CH2), 4.2 (t, 2H, CH2), 4.4 (t, 2H, CH2), 7.2 (d, 2H, CH), 7.5 (d, 2H, CH), 7.6 (d, 2H, CH), 7.8 (d, 2H, CH). MS: m/z 503 [M+H]+. Elemental analysis: Found C(47.79), H(2.83), N(5.60) Calculated C(47.77), H(2.81), N(5.57).
2-(nitrooxy) ethyl-2-(5-(4-chlorophenyl)-2-(4-(difluoro-methoxy) phenyl) oxazol-4-yl) acetate (3k)
Off buff solid; IR: 3052, 2830, 1721, 1532, 1553, 1229, 1631 cm-1;1H NMR (400 MHz, DMSO): δ= 3.6 (s, 2H, CH2), 4.1 (t, 2H, CH2), 4.3 (t, 2H, CH2), 7.1 (s, 1H, CH), 7.2 (d, 2H, CH), 7.5 (d, 2H, CH), 7.6 (d, 2H, CH), 7.9 (d, 2H, CH). MS: m/z 469 [M+H]+. Elemental analysis: Found C (51.25), H (3.24), N (5.97) Calculated C (51.24), H (3.23), N (5.98).
2-(nitrooxy) ethyl-2-(2-(4-fluorophenyl)-5-(p-tolyl) oxazol-4-yl) acetate (3l)
Off white solid; IR: 3011, 2830, 1736, 1520, 1541, 1644 cm-1;1H NMR (400 MHz, DMSO): δ= 1.9 (s, 3H, CH3), 3.6 (s, 2H, CH2), 4.12 (t, 2H, CH2), 4.2 (t, 2H, CH2), 7.2 (d, 2H, CH), 7.3 (d, 2H, CH), 7.6 (d, 2H, CH), 7.9 (d, 2H, CH). MS: m/z 401 [M+H]+. Elemental analysis: Found C (60.01), H (4.29), N (7.02) Calculated C (60.00), H (4.28), N (7.00).
2-(nitrooxy) ethyl-2-(2-(4-methoxyphenyl)-5-(p-tolyl) oxazol-4-yl) acetate (3m)
Yellow solid; IR: 3063, 2810, 1739, 1519, 1544, 1209, 1649 cm-1;1HNMR (400 MHz, DMSO): δ= 2.1 (s, 3H, CH3), 3.7(s,3H,CH3), 3.6(s,2H,CH2), 4.2(t,2H,CH2), 4.6(t,2H, CH2), 7.1(d,2H,CH), 7.2(d,2H, CH), 7.5 (d, 2H,CH), 7.7 (d,2H,CH). MS: m/z 413[M+H]+. Elemental analysis: Found C(61.15), H(4.88), N(6.81) Calculated C(61.16), H (4.89), N (6.79).
2-(nitrooxy) ethyl-2-(2-(3-methoxyphenyl)-5-(p-tolyl) oxazol-4-yl) acetate (3n)
Off white solid; IR: 3029,2821,1726,1550,1565,1222,1665 cm-1;1HNMR (400 MHz, DMSO): δ= 2.1(s,3H,CH3), 3.6(s,2H,CH2),3.7(s,3H,CH3),4.1(t,2H,CH2), 4.2(t,2H,CH2), 7.0 (s,1H,CH), 7.2(d,2H,CH),7.4(d,2H,CH), 7.5(d,2H,CH),7.52(s,1H,CH). MS: m/z 413 [M+H]+. Elemental analysis: Found C(61.16), H(4.90), N(6.80) Calculated C(61.16), H (4.89), N(6.79).
2-(nitrooxy) ethyl-2-(2-(3-methoxybenzyl)-5-(p-tolyl) oxazol-4-yl) acetate (3o)
Yellow solid; IR: 3041, 2809, 1739, 1521, 1544, 1250, 1639 cm-1;1HNMR (400 MHz, DMSO): δ= 2.1 (s, 3H, CH3), 3.7 (s, 2H, CH2), 3.72 (s, 3H, CH3), 3.8 (s, 2H, CH2), 3.9 (t, 2H, CH2), 4.1 (t, 2H, CH2), 6.9 (d, 2H, CH), 7.0 (s, 1H, CH), 7.2 (d, 2H, CH), 7.4 (s, 1H, CH), 7.5 (d, 2H, CH). MS: m/z 427 [M+H]+. Elemental analysis: Found C (61.99), H (5.18), N (6.59) Calculated C (61.97), H (5.20), N (6.57).
2-(nitrooxy) ethyl-2-(2-(furan-2-yl)-5-(p-tolyl) oxazol-4-yl) acetate (3p)
White solid; IR: 3059, 2833, 1759, 1519, 1550, 1640 cm-1;1HNMR (400 MHz, DMSO): δ= 2.2 (s, 3H, CH3), 3.6 (s, 2H, CH2), 4.1 (t, 2H, CH2), 4.5 (t, 2H, CH2), 6.9 (s, 1H, CH), 7.0 (s, 1H, CH), 7.2 (d, 2H, CH), 7.5 (d, 2H, CH), 7.7 (s, 1H, CH). MS: m/z 373 [M+H]+. Elemental analysis: Found C (58.05), H (4.29), N (7.55) Calculated C (58.06), H (4.33), N (7.52).
2-(nitrooxy) ethyl-2-(2-(pyridin-2-yl)-5-(p-tolyl) oxazol-4-yl)acetate (3q)
Grey solid; IR: 3029, 2810, 1749, 1530, 1559, 1655 cm-1;1HNMR (400 MHz, DMSO): δ= 2.2 (s, 3H, CH3), 3.6 (s, 2H, CH2), 4.2 (t, 2H, CH2), 4.6 (t, 2H, CH2), 7.1 (d, 2H, CH), 7.4 (s, 1H, CH), 7.5 (d, 2H, CH), 7.9 (s, 1H, CH), 8.0 (d, 2H, CH). MS: m/z 384 [M+H]+. Elemental analysis: Found C (59.55), H (4.49), N (10.97) Calculated C (59.53), H (4.47), N (10.96).
2-(nitrooxy) ethyl-2-(2-phenyl-5-(p-tolyl) oxazol-4-yl) acetate (3r)
Off white solid; IR: 3041, 2822, 1730, 1529, 1560, 1660 cm-1;1HNMR (400 MHz, DMSO) δ= 2.2 (s, 3H, CH3), 3.6 (s, 2H, CH2), 4.2 (t, 2H, CH2), 4.7 (t, 2H, CH2), 7.2 (d, 2H, CH), 7.4 (s, 1H, CH), 7.5 (d, 2H, CH), 7.6 (d, 2H, CH), 8.1 (d, 2H, CH). MS: m/z 383 [M+H]+. Elemental analysis: Found C (62.80), H (4.72), N (7.31) Calculated C (62.82), H (4.74), N (7.33).
2-(nitrooxy) ethyl-2-(2-(4-ethoxyphenyl)-5-(p-tolyl)oxazol-4-yl)acetate (3s)
White solid; IR: 3051, 2819, 1720, 1530, 1566, 1228, 1645 cm-1;1HNMR(400MHz, DMSO): δ= 1.4 (t,3H,CH3), 2.25 (s,3H,CH3), 3.6 (s,2H,CH2), 3.9 (t,2H,CH2), 4.2 (t,2H,CH2), 4.4 (q, 2H,CH2), 7.1 (d,2H,CH), 7.3 (d,2H,CH), 7.5 (d,2H,CH), 8.0 (d,2H, CH). MS: m/z427[M+H]+. Elemental analysis: Found C(61.99), H(5.17),N(6.59) Calculated C(61.97), H(5.20), N (6.57).
2-(nitrooxy) ethyl-2-(5-(p-tolyl)-2-(4-(trifluoromethoxy) phenyl) oxazol-4-yl) acetate (3t)
White solid; IR: 3070, 2823, 1719, 1509, 1535, 1229, 1605 cm-1;1HNMR(400 MHz,DMSO): δ= 2.3 (s, 3H, CH3), 3.6 (s, 2H, CH2), 4.2 (t, 2H, CH2), 4.9 (t, 2H, CH2), 7.0 (d, 2H, CH), 7.2 (d, 2H, CH), 7.5 (d, 2H, CH), 8.0 (d, 2H, CH). MS: m/z 467[M+H]+. Elemental analysis: Found C(54.10), H(3.69), N(6.03) Calculated C(54.08), H(3.67), N(6.01).
2-(nitrooxy) ethyl-2-(5-(p-tolyl)-2-(4-((trifluoromethyl) thio) phenyl) oxazol-4-yl) acetate (3u)
Yellow solid; IR: 3029, 2844, 1730, 1530, 1565, 1625 cm-1;1HNMR(400MHz,DMSO): δ= 2.25 (s, 3H, CH3), 3.6 (s, 2H, CH2), 4.1 (t, 2H, CH2), 4.3 (t, 2H, CH2), 7.2 (d, 2H, CH), 7.5 (d, 2H, CH), 7.6 (m, 4H, CH). MS: m/z 483[M+H]+. Elemental analysis: Found C(52.30), H(3.57), N(5.83) Calculated C(52.28), H(3.55), N(5.81).
2-(nitrooxy) ethyl 2-(2-(4-(difluoromethoxy) phenyl)-5-(p-tolyl) oxazol-4-yl)acetate (3v)
Buff solid; IR: 3023, 2822, 1729, 1525, 1540, 1252, 1657 cm-1;1HNMR(400 MHz, DMSO): δ= 2.3 (s, 3H, CH3), 3.6 (s, 2H, CH2), 4.3 (t, 2H, CH2), 4.7 (t, 2H, CH2), 7.05 (s, 1H, CH), 7.0 (d, 2H, CH), 7.2 (d, 2H, CH), 7.6 (d, 2H, CH), 7.9 (d, 2H, CH). MS: m/z 449 [M+H]+. Elemental analysis: Found C(56.26), H(4.07), N(6.27) Calculated C(56.25), H(4.05), N(6.25).
Pharmacology
All the method for pharmacological work has been performed as per our previously published work [1].
Docking methodology
Molecular docking studies were performed using Glide v6.2 (Schrödinger, LLC). The coordinates for COX-2 enzyme were taken from RCSB Protein Data Bank (PDB Id. 1CX2) and prepared for docking using protein preparation wizard. Water molecules in the structure were removed and termini were capped by adding ACE and NMA residue. The bond orders and formal charges were added for hetero groups and hydrogens were added to all atoms in the structure. Side chains that were not close to the binding cavity and do not participate in salt bridges were neutralized. After preparation, the structures were refined to optimize the hydrogen bond network using OPLS_2005 force field. This helps in reorientation of the side chain hydroxyl group. The minimization was terminated when the energy converged or the RMSD reached a maximum cut off of 0.30 Å. Grids were then defined around refined structure by centering on ligand using default box size. The extra precision (XP) docking mode for compounds, optimized by Ligprep, was performed on the generated grid of protein structure [10].
RESULTS AND DISCUSSION
Chemistry
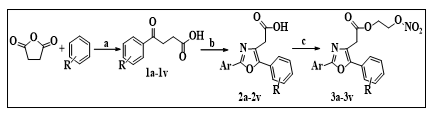
The synthesis of target compounds 3a-3v is shown in scheme 1-2.Succinic anhydride was reacted with substituted benzene in the presence of aluminium chloride to afford substituted benzoyl propionic acid (1a-1v). Nitro-oxy ethyl bromide was prepared from bromoethanol in the presence of nitric acid and sulfuric acid. Substituted benzoyl propionic acid was reacted with substituted benzyl amines in the presence of TBHP, copper acetate, iodine and dimethyl formamide to give 2-(substituted-2,5-diphenyl-oxazole)-acetic acid (2a-2v). The target compounds were obtained by reacting 2-(substituted-2,5-diphenyl-oxazole)-acetic acid with nitro-oxy ethyl bromide in the presence of dimethyl formamide and potassium carbonate to give2-(nitrooxy)-ethyl-2-(substituted-2,5-diphenyl-oxazole)acetate derivatives (3a-3v, table 1). The structures of various synthesized compounds were assigned on the basis of results of different chromatographic and spectral studies. The physical data, FTIR, 1H-NMR, mass spectral data and elemental analysis data for all the synthesized compounds are given in experimental protocols.
Scheme 1: Synthesis of intermediate nitro-oxy ethyl bromide. Reagents and conditions (a) 70% HNO3, 95% H2SO4, 0 °C, 1 h
Scheme 2: Synthesis of compounds 3a-3v. Reagents and conditions (a) AlCl3 (b) Substituted benzyl amines, TBHP, Cu(OAC)2, I2, DMF, rt for 6 h (c) O2NO-CH2-CH2-Br, DMF, K2CO3, 25 °C, 24 h
Pharmacology
The synthesized compounds were subjected to the evaluation of anti-inflammatory, analgesic and nitric oxide-releasing properties. Celecoxib was used as reference standard.
Anti-inflammatory activity
Anti-inflammatory activity of the synthesized compounds was evaluated by carrageenan-induced rat paw edema model (table 2). Out of the synthesized compounds 3a, 3c, 3g, 3l and 3r (66.82–69.26%) exhibited very significant anti-inflammatory activity compared to standard drug celecoxib (69.26 % at 3 h). Thus, the compounds having a substitution of fluoro and methoxy group on aryl ring and substitution of chloro and a methyl group at R position (3a, 3c and 3l) show equipotent activity with celecoxib. Compound 3g and 3r also shows equipotent activity in which aryl ring is un susbstituted and chloro and a methyl group at R position. Compound 3d and 3e shows decreased anti-inflammatory activity (In compound 3d, aryl ring is separated from the oxazole ring with one carbon atom with methoxy substitution and R position is substituted by chloro group. In compound 3e aryl ring is replaced by a furan ring, whereas R position is substituted by chloro group). As compared to our previously reported work [1], there is significant rise in the anti-inflammatory activity of the current work.
Table 1: Characterization data for synthesized compounds (3a-3v)
S. No. |
Entry |
Ar |
R |
MF |
MW |
% yield |
MP( °C) |
1 |
3a |
4-FC6H4 |
4-Cl |
C19H14ClFN2O6 |
420 |
85 |
198-199 |
2 |
3b |
4-CH3OC6H4 |
4-Cl |
C20H17ClN2O7 |
432 |
83 |
209-210 |
3 |
3c |
3-CH3OC6H4 |
4-Cl |
C20H17ClN2O7 |
432 |
74 |
222-223 |
4 |
3d |
![]() |
4-Cl |
C21H19ClN2O7 |
446 |
70 |
233-234 |
5 |
3e |
![]() |
4-Cl |
C17H13ClN2O7 |
392 |
65 |
185-186 |
6 |
3f |
![]() |
4-Cl |
C18H14ClN3O6 |
403 |
67 |
205-206 |
7 |
3g |
C6H5 |
4-Cl |
C19H15ClN2O6 |
402 |
90 |
213-215 |
8 |
3h |
4-C2H5OC6H4 |
4-Cl |
C21H19ClN2O7 |
446 |
80 |
228-229 |
9 |
3i |
4-CF3OC6H4 |
4-Cl |
C20H14ClF3N2O7 |
486 |
83 |
246-247 |
10 |
3j |
4-CF3SC6H4 |
4-Cl |
C20H14ClF3N2O6S |
502 |
79 |
240-241 |
11 |
3k |
4-CF2HOC6H4 |
4-Cl |
C20H15ClF2N2O7 |
468 |
86 |
230-231 |
12 |
3l |
4-FC6H4 |
4-CH3 |
C20H17FN2O6 |
400 |
92 |
193-194 |
13 |
3m |
4-CH3OC6H4 |
4-CH3 |
C21H20N2O7 |
412 |
81 |
221-222 |
14 |
3n |
3-CH3OC6H4 |
4-CH3 |
C21H20N2O7 |
412 |
71 |
179-180 |
15 |
3o |
![]() |
4-CH3 |
C22H22N2O7 |
426 |
67 |
185-186 |
16 |
3p |
![]() |
4-CH3 |
C18H16N2O7 |
372 |
65 |
167-168 |
17 |
3q |
![]() |
4-CH3 |
C19H17N3O6 |
383 |
68 |
177-179 |
18 |
3r |
C6H5 |
4-CH3 |
C20H18N2O6 |
382 |
88 |
152-153 |
19 |
3s |
4-C2H5OC6H4 |
4-CH3 |
C22H22N2O7 |
426 |
77 |
199-200 |
20 |
3t |
4-CF3OC6H4 |
4-CH3 |
C21H17F3N2O7 |
466 |
82 |
224-225 |
21 |
3u |
4-CF3SC6H4 |
4-CH3 |
C21H17F3N2O6S |
482 |
84 |
236-237 |
22 |
3v |
4-CF2HOC6H4 |
4-CH3 |
C21H18F2N2O7 |
448 |
86 |
210-211 |
Table 2: Results of anti-inflammatory activity of synthesized compounds (3a-3v) against carrageenan-induced rat paw edema model in rats
Comp Code |
Change in paw volume in (ml) after drug Treatment (±SEM) |
Anti-inflammatory activity (% Inhibition) |
||||
1h |
2h |
3h |
1h |
2h |
3h |
|
Control |
1.70±0.031** |
1.89±0.019** |
2.05±0.023** |
- |
- |
- |
Celecoxib |
0.68±0.060** |
0.66±0.056** |
0.63±0.052** |
60 |
65.07 |
69.26 |
3a |
0.70±0.029** |
0.66±0.088** |
0.63±0.040** |
58.82 |
65.07 |
69.26 |
3b |
0.86±0.018** |
0.83±0.033** |
0.80±0.087** |
49.41 |
56.08 |
60.97 |
3c |
0.79±0.047** |
0.76±0.09** |
0.64±0.050** |
53.52 |
59.78 |
68.78 |
3d |
1.10±0.022** |
1.13±0.082** |
1.15±0.038** |
35.29 |
40.21 |
43.90 |
3e |
1.11±0.085** |
1.14±0.021** |
1.17±0.042** |
34.70 |
39.68 |
42.92 |
3f |
0.77±0.024** |
0.74±0.029** |
0.72±0.013** |
54.70 |
60.84 |
64.87 |
3g |
0.75±0.025** |
0.71±0.028** |
0.68±0.049** |
55.88 |
62.43 |
66.82 |
3h |
0.83±0.031** |
0.80±0.035** |
0.77±0.027** |
51.17 |
57.67 |
62.43 |
3i |
0.87±0.036** |
0.85±0.039** |
0.82±0.033** |
48.82 |
55.02 |
60.00 |
3j |
0.81±0.033** |
0.78±0.069** |
0.76±0.045** |
52.35 |
58.73 |
62.92 |
3k |
0.82±0.041** |
0.79±0.061** |
0.77±0.057** |
51.76 |
58.20 |
62.43 |
3l |
0.69±0.022** |
0.67±0.097** |
0.65±0.044** |
59.41 |
64.55 |
68.29 |
3m |
0.90±0.055** |
0.86±0.039** |
0.82±0.015** |
47.05 |
54.49 |
60.00 |
3n |
0.91±0.063** |
0.89±0.030** |
0.86±0.024** |
46.47 |
52.91 |
58.04 |
3o |
1.01±0.090** |
1.04±0.087** |
1.07±0.022** |
40.58 |
44.97 |
47.80 |
3p |
1.08±0.065** |
1.10±0.095** |
1.12±0.033** |
36.47 |
41.79 |
45.36 |
3q |
1.05±0.023** |
1.08±0.020** |
1.11±0.061** |
38.23 |
42.85 |
45.85 |
3r |
0.73±0.076** |
0.71±0.082** |
0.68±0.055** |
57.05 |
62.43 |
66.82 |
3s |
1.02±0.064** |
1.00±0.064** |
0.98±0.066** |
40.00 |
47.08 |
52.19 |
3t |
0.90±0.079** |
0.87±0.077** |
0.85±0.073** |
47.05 |
53.96 |
58.53 |
3u |
1.11±0.075** |
1.07±0.025** |
1.04±0.090** |
34.70 |
43.38 |
49.26 |
3v |
0.80±0.060** |
0.77±0.057** |
0.73±0.060** |
52.94 |
59.25 |
64.39 |
Data analyzed by one way ANOVA followed by Dunnett’s ‘t’ test, (n = 6), * P<0.05, ** P<0.01 significant from control ns not significant
Analgesic activity
The analgesic activity of the synthesized compounds was studied by using acetic acid-induced writhing test in mice (table 3). The analgesic effect of compounds 3a, 3g, 3l and 3r (63.90-66.71%) were found to be equipotent compared to standard drug celecoxib (66.75%) similar to anti-inflammatory activity. Compound 3d shows least analgesic activity similar to anti-inflammatory activity. As compared to our previously reported work [1], there is significant rise in the analgesic activity of the current work.
Nitric oxide-release study
In isolated wistar rat aorta rings, compounds 3a-3v competitively inhibited norepinephrine-induced contraction effects, causing a shift to the right of the norepinephrine concentration response curves. EC50 (µg/ml) values were calculated from the cumulative concentration response curves. In order to prove the involvement of nitric oxide in the relaxation process, nitric oxide-releasing properties of synthesized compounds were assessed in phosphate buffer, pH 7.4, in the presence of L-cysteine, relative to nitric oxide released from standard sodium nitrite solution (table 4). From in vitro nitric oxide releasing data, it is observed that compound 3c shows potent nitric oxide releasing properties, whereas compound 3b shows less nitric oxide releasing properties. From nitric oxide releasing activity of rat aortic muscle, it is observed that compound 3g shows potent EC50 values whereas compound 3e shows less EC50 value. As compared to our previously reported work [1], we got better EC50 and % NO release values of the current work.
Table 3: Results of analgesic activity of synthesized compounds (3a-3v) against acetic acid-induced writhing test in mice
Compound Code |
No of Writhes in 5-15 min after treatment (mean±SE) |
% Inhibition |
Compound Code |
No of Writhes in 5-15 min after treatment (mean±SE) |
% Inhibition |
Control |
27.37±0.47** |
- |
3k |
10.67±0.32** |
61.01 |
Celecoxib |
9.01±0.35** |
66.75 |
3l |
9.11±0.10** |
66.71 |
3a |
9.45±0.84** |
65.47 |
3m |
13.65±0.23** |
50.12 |
3b |
11.20±0.65** |
59.07 |
3n |
11.56±0.39** |
57.76 |
3c |
10.51±0.19** |
61.60 |
3o |
13.88±0.27** |
49.28 |
3d |
14.99±0.11** |
45.23 |
3p |
14.02±0.63** |
48.77 |
3e |
14.35±0.63** |
47.57 |
3q |
14.10±0.29** |
48.48 |
3f |
10.45±0.45** |
61.81 |
3r |
9.23±0.12** |
66.27 |
3g |
9.88±0.80** |
63.90 |
3s |
10.96±0.22** |
59.95 |
3h |
10.25±0.51** |
62.55 |
3t |
11.45±0.07** |
58.16 |
3i |
12.77±0.55** |
53.34 |
3u |
14.15±0.72** |
48.30 |
3j |
10.89±0.46** |
60.21 |
3v |
10.35±0.83** |
62.18 |
Data analyzed by one way ANOVA followed by Dunnett’s ‘t’ test,(n = 6), ** P<0.01 significant from control
Table 4: EC50 values and nitric oxide-releasing properties of the compounds (3a–3v)
S. No. |
Compound Code |
EC50 |
% NO release |
S. No. |
Compound Code |
EC50 |
% NO release |
1 |
3a |
39.59 |
0.55 |
12 |
3l |
35.88 |
0.69 |
2 |
3b |
43.85 |
0.28 |
13 |
3m |
47.51 |
0.36 |
3 |
3c |
42.75 |
0.73 |
14 |
3n |
49.22 |
0.30 |
4 |
3d |
36.56 |
0.29 |
15 |
3o |
31.07 |
0.34 |
5 |
3e |
58.22 |
0.38 |
16 |
3p |
40.44 |
0.56 |
6 |
3f |
49.87 |
0.66 |
17 |
3q |
42.43 |
0.64 |
7 |
3g |
29.65 |
0.59 |
18 |
3r |
50.63 |
0.47 |
8 |
3h |
33.54 |
0.37 |
19 |
3s |
48.48 |
0.50 |
9 |
3i |
41.21 |
0.44 |
20 |
3t |
46.90 |
0.58 |
10 |
3j |
39.57 |
0.51 |
21 |
3u |
55.45 |
0.44 |
11 |
3k |
51.23 |
0.70 |
22 |
3v |
43.22 |
0.70 |
Docking study
In all series, the docking poses of compounds showing higher docking score (G-score) were compared with that of standard celecoxib in the active site of the COX-2 enzyme. The docking study of oxazole derivatives showed that all compounds were successfully docked in the active site of the COX-2 enzyme and acquired the same binding poses (‘V’ shaped) as that by celecoxib (fig 1). Due to having diaryl ring attached to middle hetero ring in oxazole derivatives, they show desired binding pose in the binding pocket of the COX-2 enzyme. Fig. (fig 2 and fig 3) showed that diaryl rings are surrounded by hydrophobic amino acids Val 349, Leu 359, Met 113, Val 116, Leu 513, Ala 527, Trp 387, Leu 384, Met 522, Phe 518, Tyr 385, Phe 318, Leu 117, and Tyr 355 and thus help to stabilize the compounds in the active site of COX-2 enzyme. The long aliphatic side chain in between two diaryl ring at C5 position made the hydrogen bond with Arg 513 and Tyr 355 and thus favors the stability of oxazole derivatives. The substitution patterns at Ar position is mainly responsible for variation in the G-score and binding poses of oxazole derivatives in the active site of the COX-2 enzyme and thus affect the binding affinity of each compound toward COX-2 enzyme. The compounds 3a, 3g, 3l and 3rcontaining F or CH3 substituted phenyl ring at Ar position showed higher G-score and good binding pose.
The phenyl ring with F or CH3 groups at Ar position helps the oxazole derivatives to form the hydrophobic contacts with surrounding hydrophobic amino acids. The phenyl ring with F or CH3 groups also supports aliphatic side chain at C5 position or forming an H-bond with surrounding amino acids. Thus, the replacement of these hydrophobic substituents by other aryl ring substituents and hetero ring showed the decreased binding affinity toward COX-2 enzyme and G-score (fig 4 and fig 5). Table 5 also clearly suggests that the replacement of hydrophobic substitution by hetero ring or phenyl ring with an electron withdrawing group at Ar position showed decrease in hydrophobic enclosure reward as well as lipophilic Vander Waal interaction and ultimately affect binding pose of compounds and reduces the G-score. These F or CH3 substituted phenyl ring in an above compound is surrounded by common hydrophobic amino acids Val 523, Phe 381, Leu 352, Ala 527, Phe 518, Leu 384, Tyr 385 and Met 522.
Fig. 1: Docking pose of celecoxib in active site of COX-2 enzyme
Table 5: Docking score of compounds 3a-3v
S. No. |
Compound |
G-score |
H Bond |
Phob En |
Lipophilic EvdW |
S. No. |
Compound |
G-score |
H Bond |
Phob En |
Lipophilic EvdW |
1 |
Celecoxib |
-10.5 |
-1.3 |
-6.1 |
-1.5 |
13 |
3l |
-10.58 |
-1.32 |
-2.7 |
-6.38 |
2 |
3a |
-10.36 |
-0.99 |
-2.7 |
-6.38 |
14 |
m |
-9.68 |
-1 |
-2.64 |
-5.96 |
3 |
3b |
-9.29 |
-0.99 |
-2.19 |
-6.02 |
15 |
3n |
-7.91 |
-0.99 |
-1.51 |
-5.36 |
4 |
3c |
-6.7 |
-1.31 |
-1.2 |
-5.25 |
16 |
3o |
-5.66 |
-1 |
-1.21 |
-3.66 |
5 |
3d |
-7.08 |
-0.66 |
-1.71 |
-5.94 |
17 |
3p |
-5.29 |
0 |
-2.43 |
-6.71 |
6 |
3e |
-7.26 |
-0.65 |
-0.74 |
-5.53 |
18 |
3q |
-9.05 |
-1 |
-2.14 |
-5.72 |
7 |
3f |
-8.78 |
-0.33 |
-2.24 |
-6.01 |
19 |
3r |
-10.18 |
-1 |
-2.46 |
-6.61 |
8 |
3g |
-10.28 |
-1.31 |
-2.61 |
-6.3 |
20 |
3s |
-5.04 |
-1.58 |
-2 |
-5.62 |
9 |
3h |
-4.13 |
-0.99 |
-1.93 |
-4.79 |
21 |
3t |
-4.49 |
-1.58 |
-1.97 |
-4.55 |
10 |
3i |
-2.53 |
0 |
-1.03 |
-4.85 |
22 |
3u |
-2.93 |
0 |
-1.58 |
-4.88 |
11 |
3j |
-2.75 |
0 |
-1.58 |
-4.61 |
23 |
3v |
-2.38 |
0 |
-1.23 |
-4.76 |
12 |
3k |
-2.74 |
0 |
-1.29 |
-5 |
||||||
H Bond: Chem score hydrogen bond pair term. Lipophilic EvdW: Chem score lipophilic pair term and fraction of total protein ligand vanderwall energy. Phob En: Hydrophobic enclosure reward.
Fig. 2: 2D Ligand interaction diagram of compound 3g, pink dotted bond indicate hydrogen bonding of ligand with side chain of amino acids, green bond indicate π-π stacking and dual colour bond indicate salt bridge
Fig. 3: 2D Ligand interaction diagram of compound 3l, pink dotted bond indicate hydrogen bonding of ligand with side chain of amino acids, green bond indicate π-π stacking and dual colour bond indicate salt bridge
CONCLUSION
Twenty two compounds were synthesized and screened for anti-inflammatory with analgesic and nitric oxide-releasing activity. Docking study of these synthesized compounds was also performed. Most of the compounds exhibited significant anti-inflammatory with analgesic and nitric oxide releasing properties. Compounds 3a, 3c, 3g, 3l and 3r exhibited most prominent and constituent anti-inflammatory activity. Compounds 3a, 3g, 3l and 3r showed strong analgesic activity. From the detailed analysis of the results of pharmacological studies, we conclude that the synthesized compounds have not only retained but showed enhanced anti-inflammatory profile. Also, all the synthesized derivatives exhibited significant vaso relaxant activity. Therefore, it can be concluded that the rational, based on which these NCEs were designed, has been proven to be superior compared to the currently used NSAIDs.
Fig. 4: Docking pose of compound 3p in active site of COX-2 enzyme
Fig. 5: Docking pose of compound 3v in active site of COX-2 enzyme
ACKNOWLEDGEMENT
The authors are thankful to The Head, Department of Chemical Technology, Dr. Babasaheb Ambedkar Marathwada University, Aurangabad 431 004 (MS), India, for providing the laboratory facility.
CONFLICT OF INTERESTS
Declared None
REFERENCES