
1Department of Pharmaceutical Sciences and Technology, Birla Institute of Technology, Mesra, Ranchi 835215, Jharkhand
Email: sppattanayak@bitmesra.ac.in
Received: 23 Jul 2015 Revised and Accepted: 10 Sep 2015
ABSTRACT
Objective: To examine the antiangiogenic effect of some flavonoids (taxifolin and phloretin) against various In vivo and In vitro experimental models such as Chick Chorio Allantoic Membrane (CAM) assay, Dorsal Skinfold Chamber (DSFC) and Tube formation assay.
Methods:Three different concentrations of drug solution (40µM, 80 µM, 120 µM) and (50 µM, 100 µM, 150 µM) were applied topically during CAM and DSFC assay. These assays were performed to detect antiangiogenic effect of the selected molecules. In tube formation assay, vascular endothelial growth factor stimulated Human Umbelical Vain Endothelial Cells (HUVECs).
Results:Antiangiogenic results showed that different concentration of taxifolin and phloretin inhibited new blood vessels and vessels branches per area of CAMs. Similarly, there are reduced numbers and diameter of blood vessels when the doses of the drug increased which are observed in different experimental groups in DSFC model. In vitro anti angiogenic effect of our molecules was further confirmed by inhibition of tube formation on matrigel matrix that involved HUVECs. All the test groups were compared with the control group.
Conclusion: The data reported here provide evidence that flavonoids taxifolin and phloretin revealed prominent anti angiogenic activities.
Keywords:Angiogenesis, Flavonoids, Chick Chorio Allantoic Membrane (CAM), Dorsal Skinfold Chamber (DSFC), Vascular Endothelial Growth Factor (VEGF).
© 2016 The Authors. Published by Innovare Academic Sciences Pvt Ltd. This is an open access article under the CC BY license (http://creativecommons.org/licenses/by/4.0/)
INTRODUCTION
The formation of newer blood capillaries from the pre-existing micro-vascular network is angiogenesis and it plays a vital role in the pathological and physiological processes such as wound healing, inflammation, embryonic development, tumor growth and metastasis [1, 2]. Vasculogenesis occurs during the embryonic development whereas angiogenesis occurs in the adult organisms. Various human diseases like tumor growth are closely related to excessive angiogenesis. The growth of blood vessels that penetrates cancerous growth is also regulated by tumor angiogenesis.
The major molecules concerned with the angiogenesis, are the vascular endothelial growth factor (VEGF) and related receptors. For the treatment of certain types of cancer, anti-angiogenic therapeutic approaches have been shown to be very effective. Anti-angiogenesis is the best targeted therapy. To assess the proangiogenic and anti angiogenic potentials of the molecules, different methods are available [3]. Endothelial cells proliferation assay, endothelial cells migration assay, tube formation assay and aortic ring assay are In vitro method whereas corneal angiogenesis assay and CAM assay are In vivo methods. In our study we mainly work on In vivo CAM assay, DSFC assay and In vitro Tube Formation Assay.
The CAM model is a powerful tool to study early events of tumor progression of some cancer. Several advantages of the CAM model over other In vivo models include its clinical relevance, cost effectiveness and the broad ease of use of chicken eggs. These proceeds make the CAM model of cancer progression an attractive In vivo option for global cancer researchers. The embryonic chicken is among the most well-characterized and valuable In vivo model [4]. This assay is an emerging model for tumor progression using the embryonic chicken. A small opening is made in the shell of a fertilized egg, allowing a tumor graft to be seeded directly on the chorionic epithelium [5]. This assay is used to study a broad range of cancers, including breast and prostate cancers including tumor growth, invasion, metastasis and angiogenesis [5, 6]. One more benefit of the CAM model is the short duration of and large 1 w required to assess late events in tumor progression, such as metastasis. [7].
DSFC is an apparent device and is very useful for prolonged study of the subcutaneous microcirculation. The chambers used in the study are of metals alloy. Various classes of DSFC have been published for investigating tumor-growth and tumor-microcirculation by authors [8, 9]. Authors described the design and surgical methods by an aluminium chamber using rat dorsal skin and found the tumor-growth [10]. One of the most widely used In vitro assay model to reorganization stage of angiogenesis is the tube formation assay. This is a powerful tool for selecting the substances to find out their antiangiogenic effect on cultured cells. It was compared with the control cell cultures in term of length of the tubes or the number of tubes developing on the gel surface [3].
Most of the chronic diseases are prevented by flavonoids and this may influence some steps in cancer angiogenesis. In the present study, we have selected Taxifolin and Phloretin as our molecules for this study. Taxifolin is usually found in onions, a potent antioxidant [11] as therapeutic agent in the majority of diseases. It is toxicity free to the animals when used for the long period of time. It also inhibits the ovary cancer growth (OVCAR-3) with a dose dependent manner with VEGF [12] and has inhibition properties in MDA MB-231 breast tumor [13], tumor cell arrest [14] and high ER agonist [15]. Phloretin is another flavonoid, classified as chalcone derivative. Some studies reported that chalcones have broad biological activities. It may be angiogenesis inhibitors due to the formation of new blood-vessels from endothelial cells. Most of the chalcone exhibits cytotoxic in tumor cell lines as well as normal endothelial cell line (HUVEC) in an In vitro tube formation model at low micromolar range [16]. Lee et al., (2006) confirmed anti angiogenic effects of chalcones In vitro as well as in vivo [17].
MATERIALS AND METHODS
Taxifolin and Phloretin were purchased from Sigma-Aldrich (Mumbai). HUVEC cell, Distilled water was used as a solvent for making buffers as well as drug solutions throughout the designed experiment. Digital Microscope (Lieca DME) with Canon Utilities Zoom Browser Ex Version 5.0,Olympus Trinocular Microscope, Digital Camera (Canon Cybershot 10 Megapixel with 10 X Zoom), pH meter (µ pH SYSTEM 361, SYSTRONICS), Nuts and Clamps, Symmetrical Stainless steel frame, Electronic Balance (AB265-S, METTLER TOLEDO), Surgical instruments, micropipette, CO2 incubator, microscope (Olympus, Tokyo, Japan).
Preparation of drug solution
Three different concentrations of taxifolin (40µM, 80µM, 120 µM) and phloretin (50 µM, 100 µM, 150µM) were prepared by using of Phosphate Buffer Saline (PBS). These desired concentrations of taxifolin and phloretin were applied topically during CAM assay with the help of phosphate buffer saline (PBS) as the control.
Experimental protocol
The eggs were divided into following four groups and each group containing ten eggs. Group I served as control and all the eggs were treated with Phosphate Buffer Saline (PBS), Group II treated with 40µM (taxifolin) and 50 µM (phloretin), Group III treated with 80 µM (taxifolin) and 100 µM (phloretin) and group IV were treated with 120 µM (taxifolin) and 150 µM (phloretin) respectively.
CAM assay
With the minor modifications we were performed the CAM assay [18, 19]. Initially the fertilized chicken eggs were incubated at 37°C for nine days in humidified incubator for proper angiogenesis. These eggs were kept in the vertical position and it’s rotated a number of times at the time interval of 6-12 h. On the 9th day of incubation, the eggs were gently cleaned and open on the snub side 1 cm*×1 cm* window was made into the egg shell peeled away without damaging the embryonic structures. The windows were then sealed using a transparent tape and the eggs were placed back in the incubator. Then, the individual concentrations (40–120 µM, 50-150 µM) of selected flavonoids (taxifolin, phloretin) prepared in the Phosphate Buffer Saline (PBS) were applied to sterile sponges(which carries the drug solution) separately and its allow to dry. The discs loaded with samples were overturned and it is applied through the windows to the CAM surface of 10-day-old embryos. Throughout the experiment, Phosphate buffer saline (PBS) was used as a control. After this all the windows were sealed with tape. The eggs were again kept in the humidified incubator at 37°C and re-incubated. The CAMs were harvested after two days of re incubation and the blood vessels and vessels branches were counted under Lieca DME microscope, images of the CAMs were also taken from canon cyber shot.
Calculation for estimation of anti angiogenic activity
From the following equation, the antiangiogenic effect was expressed in terms of percentage of antiangiogenesis,
Antiangiogenic activity (%) = (1–T/C) × 100
T= Number of blood vessels observed in CAM treated with the sample.
C= Number of blood vessels found into CAM treated with control (PBS).
By using of Lieca DME Microscope with Canon Utilities Zoom Browser Ex version 5.0. The CAMs were digitized [20].
Dorsal skin fold chamber assay
Experimental animals
Either sex of Sprague-Dawley rats of approximately 250-300g body weight was used in this study. All these animals were issued from our Institutional Animal House (621/02/ac/CPCSEA) of Birla Institute of Technology, Mesra. These animals were kept in polyacrylic cages and maintained a room temperature of approx 24-27°C with humidity 60-65 % with 12:12 light and dark cycles. The animals were allowed to drink water and foods were provided in the form of dry pellets. One month before the start of the experiment all the animals were allowed to adopt the laboratory conditions. All experiments involving animals handling are approved by the Institutional Animal Ethics Committee (Protocol No BIT/ PH/IAEC/13/2013 dated 13.10.2013).
Dorsal skin fold chamber assay
DSFC assay was carried out as per procedure reported by Papenfuss et al. Rats were anesthetized carefully and there, backs were shaved. The shaved backs were washed with warmed water and complete removal was ensured with cream. To avoid inflammatory irritations, disinfectant was applied. Intraperitoneal injections of ketamine (100 mg/kg) and diazepam (5 mg/kg) were used for induction and maintenance of anaesthesia. Subsequently, on the dorsal skin folds of the rats two stainless steel frames were implanted so that the intention of to make a sandwiched between the double layer of skin with the help of micro surgical instruments. Because of this two layers of the retractor muscle and one layer of skin as well as the subcutis with panniculus carnosus muscle was completely removed. Striated skin muscle, subcutaneous tissue and skin were incorporated into stainless steel frames with the help of non-absorbable sutures, needles, steel nuts and bolts. To avoid drying of the tissue, the operation area was kept moist with warmed physiological saline during the entire chamber implantation procedure. After the preparation the rats were allowed to recover from anaesthesia and surgery for at least 2-4 h. when the rats were recovered from anaesthesia the exposed part of the skin folds of control group treated with physiological saline (PBS) and specific concentration of taxifolin (40 µM, 80 µM, 120 µM) and phloretin (50µM, 100 µM, 150 µM) were given to test groups. The test solution was applied topically on the window twice a day. After this, the treated rats were allowed to go through digital microscopy for evaluation and assessment of angiogenic parameters like number of blood vessels, length of vessels and vessels diameter. For microscopy evaluation, the rats were again immobilized by anaesthesia and the dorsal skin fold preparation was attached to the microscopic stage of Lieca DME microscope. The microscopic images were recorded.
Endothelial tube formation assay
To investigate the effect of taxifolin and phloretin on angiogenesis In vitro, tube formation assay was conducted [22]. HUVECs have the ability of forming network like structures were tested by the tube formation assay. It was previously described by Yeh et al., (2011) [23]. In this assay, 96-well plates were plated with 50 μL matrigel and it was allowed to polymerize at 37°C for 30 min. with the addition of different concentrations of taxifolin (40, 80 and 120 μM) and phloretin (50, 100 and 150 μM). HUVECs were consequently harvested on the matrigel and then it was incubated for 9 h at 37 °C. The tube-like structures are observed. Each wall of the tube was photographed using a phase-contrast microscope (Olympus, Tokyo, Japan). To enumerate the results, we counted the number of branching points, containing at least three tubes joined.
Analysis of data
One-way analysis of variance followed by Dunnett’s t test with equal sample size, pharmacological data was analyzed. The difference was considered significant when p value<0.05. All the values were expressed as the mean±SD. All calculations were carried out using Graphpad prism 5 (trial version).
Fig. 1: The effects of taxifolin on the angiogenesis of CAM. The chick chorioallantoic membrane of 7-day-old chick embryos was treated with various concentrations of taxifolin and incubated for 48 h. (A) blank control group I, (B) 40 μM taxifolin group II, (C) 80 μM taxifolin group III, (D) 120 μM taxifolin group IV. The images of the CAMs were captured using Lieca DME Microscope
Fig. 2: Effect of Taxifolin on (A) Number of Blood Vessels (NBV) (C) Number of Blood Vessels Branches (NBVB), (B) and (D) anti-angiogenic activity per area of CAMs of different experimental groups. Data is represented as mean±SD.* represents significance (p<0.05);**represents significance (p<0.01); *** represents significance (p<0.001), compared (one way ANOVA followed by Dunnett’s t test) with respect to control group
Fig. 3: The effects of phloretin on the angiogenesis of CAM. The chick chorioallantoic membrane of 7-day-old chick embryos was treated with various concentrations of phloretin and incubated for 48 h. (A1) blank control group I, (B1) 50 μM phloretin group II, (C1) 100 μM phloretin group III, (D1) 150 μM phloretin group IV. The images of the CAMs were captured using Lieca DME Microscope
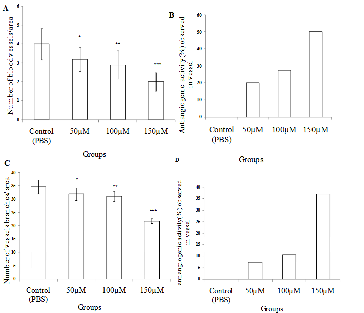
Fig. 4: Effect of Phloretin on (A) NBV (C) NBVB (B) and (D) anti-angiogenic activity per area of CAMs of different experimental groups. Data is represented as mean±SD.*represents significance (p<0.05);**represents significance (p<0.01);***represents significance (p<0.001), compared (one way ANOVA followed by Dunnett’s t test) with respect to control group
Fig. 5: The effects of taxifolin on the angiogenesis of DSFC. Photographs of magnified images in a non-metallic chamber: (A) Blank control group, (B1, B5) 80 μM taxifolin group, (C1, C5) 120 μM taxifolin group. (B1, C1 represents the Day1 and B5, C5 represents Day5 treatment after the surgery)
Fig. 6: The effects of phloretin on the angiogenesis of DSFC. (A) Blank control group, (B1, B5) 100 μM phloretin group, (C1, C5) 150 μM group. (B1, C1 represents the Day1 and B5, C5 represents Day 5 treatment after the surgery)
Fig. 7: Number and diameter of vessels observed in skin fold chamber windows of control and test groups after Day5 treatment (Day 1 and Day 5 reading only)
Fig. 8: The effects of Taxifolin on HUVEC tube formation. HUVECs were seeded on Matrigel-coated 96-well plates and incubated in the diluted medium containing two different concentrations of Taxifolin for 9 h at 37 °C. (A) Blank control group, (B) 80 μΜ taxifolin group, (C) 120 μΜ taxifolin group
Fig. 9: The effects of phloretin on HUVEC tube formation. HUVECs were seeded on Matrigel-coated 96-well plates and incubated in the diluted medium containing two different concentrations of phloretin for 9 h at 37 °C. (A’) blank control group, (B’) 100 μM phloretin group, (C’) 150 μM phloretin group
Fig. 10: Number of tube like structure formed in two different concentrations of taxifolin and phloretin. Data is represented as mean±SD. **p<0.01, ***p<0.001 compared with the control group
RESULTS
Number of blood vessels and vessels branches per area of CAMs and the antiangiogenic effect of Taxifolin, Phloretin treatment observed over them in different Experimental Groups (Effect of Taxifolin, phloretin on angiogenesis In vivo)
There was a decrease in the number of blood vessels and vessels branches among control (group I), group II taxifolin (40µM) and Phloretin (50 µM), the group III taxifolin (80µM) and Phloretin (100 µM) and the group IV taxifolin (120µM) and Phloretin (150 µM). Similarly when the antiangiogenic activity of group II, III and IV was compared with the control group, there was a significant increase in angiogenesis inhibition activity, but the activity was more in group IV as compared to group III. These variations in the number of vessels, number of branches and antiangiogenic activity were graphically represented in the fig. 2 and fig. 4.
Number and diameter of vessels observed in skin fold chamber window of control and test groups after Day 1 and Day 5 of treatment
There was no difference in Number of vessels and Diameter of vessels between the control group (Physiological Salt Solution) and test groups (taxifolin and phloretin) at first day of treatment. But on the 5thday number of vessels between the control group and test groups were compared, a decreased in the number of vessels and diameter was observed. Similarly on the 5thday when the diameter of vessels between the control group and test groups was compared a significant reduction was noticed. These variations in number and diameter of vessels were graphically represented in the fig. 7.
Number of tubes observed in tube formation assay of control and test groups
The tube structures were found in the control group I after HUVECs were placed in the wells. In case of taxifolin and phloretin treatment, it considerably reduced the formation of tube-like structures. When group II, III, IV and group V were compared with the control group there was noticeable increase in inhibitory angiogenesis activity but the activity was more in group III and V as compared to group II and IV. These variations in the number of tubes, and anti-angiogenic activity were graphically represented in the fig. 10.
DISCUSSION
In an effort to identify the efficacy of flavones derivative for preventive effect on angiogenesis, our results showed the effectiveness of taxifolin and phloretin as a hopeful lead anti-angiogenic agent. While describing the possible mechanism of anti-angiogenesis it has been reported that the flavones exert the anti-angiogenic effects by inhibition, proliferation and migration of endothelial cells. These are important cells which are necessary for gathering of new blood vessels as well as by down regulation of VEGF mRNA expression [20]. For the advancement of new anticancer therapy, it requires the use of pre-clinical models to evaluate their effect on angiogenesis. The most simple is In vivo CAM assay model. Though, CAM model do not replicate the complexity of the real tumor environment, and probably overestimates the anti-tumor efficiency of oncolytic agents. CAM assay is fast, easy to handle and less expensive than the rodent model, tube formation. The CAM model can only reduce the use of animal experiments, but will not replace it in the full pre-clinical assessment of anticancer agents[24].
The CAMs study was performed as per method reported earlier with some modification [18, 19]. In this current study, we reported the results obtained after treatment with taxifolin solution (in PBS) in varied concentrations (40, 80 and 120 µM). The results were compared and reported using the control group. The results based on the number of blood vessels and numbers of vessel branches per unit area of CAM. We have found a significant number of basic blood vessels (3.5±0.67) and its branches (29.6±2.6) in the control group. In contrast, the treated group-II, group-III and group-IV showed the number of vessels as 2.8±0.74, 2.5±0.5 and 1.6±0.48 followed with number of its branches as 27±2.26, 25.9±2.13 and 18.±1.41 respectively. It is clearly exhibited that there was reduced the number of blood vessels and its branches when the dose is increased. It is good to correlate with its anti-angiogenic potential results as shown in (fig. 2B-2D). The percent anti-angiogenic activity on blood vessels of the treated group-II, group-III and group-IV are 20, 28.5 and 54.28 respectively. Similar observations have been found to be in the similar pattern on the number of its branches. These are 8.78, 12.5 and 39.1 for treated group-II, group-III and group-IV respectively. The images of anti-angiogenic activities in term of reduced number of blood vessels, its branches and percent anti-angiogenic potential have been presented in the fig. 1.
Similarly, we performed the study using another flavonoid derivative of chalcone (phloretin). A study was performed and the method is same which we are discussed earlier in taxifolin molecule. In the present study, we reveal that phloretin also notably inhibited neovascularization ex vivo in CAM assay. In this study, we reported the results obtained after treatment with phloretin solution in varied concentrations (50, 100 and 150 µM). The results were compared with respect to control group, and this result is based on the number of blood vessels and number of vessel branches per unit area of CAM. We found that there is an increase number of blood vessels (4.0±0.81) and its branches (34.6±2.63) in control group. As compared with control group there is significantly reduced the number of blood vessels and its branches in the treated group-II, group-III and group-IV. Results showed the number of vessels as 3.2±0.63, 2.9±0.73 and 2.0±0.48 followed with number of its branches as 31.9±2.37, 31.0±1.94 and 21.8±0.91 respectively. It is clearly shown that there were reduced number of blood vessels and its branches when the dose is increased. Coming to its anti-angiogenic potential, our results also showed that there is significantly increased its anti-angiogenic potential when the dose of phloretin increases. The percent anti-angiogenic activity on blood vessels of the treated group-II, group-III and group-IV are 20, 27.5 and 50.28 respectively. These results suggested us the strong confirmed and supporting finding of the earlier results. Similar observations have been found in the similar pattern on the number of its branches. These are 7.5, 10.5 and 37.0 for treated group-II, group-III and group-IV respectively. The images of anti-angiogenic activities in term of reduced number of blood vessels, its branches and percent anti-angiogenic potential have been presented in the fig. 3.
Both results confirmed that taxofolin and phloretin as flovonoid could be employed as anti-angiogenic agent. This type of report has been published by Rajesh et al., (2011) [20]. The authors reported the evaluation of selected flavanoid to be anti-angiogenic, anticancer and radical scavenging agent on dose dependent basis. Among them, the isoflavanoid was demonstrated to exhibit the most effective anti-angoigenic compound (87.1%). There are very little reports about anti-angiogenic activity of taxifolin and phloretin. The current study evaluated the anti-angiogenic effect of taxifolin and phloretin using in-vivoCAM model. To report the exact mechanism of this activity is uncertain. However, some authors reported various probable mechanisms of these flavanoids such as (a) act as chemopreventive agent, (b) prevention by inhibiting proliferation of tumor cells and endothelial cells, (c) inhibition several proteins involved in angiogenesis (d) inhibiting proangiogenic protein factors and (e) inhibiting several enzymes directly involved in angiogenesis process [25, 26, 27, 28]. It may be due to the inhibition growth factors which ultimately prevents growth of new vessels. It was also observed that branches were the first to be disappeared than the main vessels. From above results, we observed that exposure of CAMs to taxifolin and phloretin led to a concentration dependent reduction in vascularisation. This may be indicative of the inhibition of proliferation and migration of endothelial cells through suppression of EGFs, VGFs, IL-1, and cyclin D [29]. In this report taxifolin and phloretin showed inhibition by the formation of newly synthesized blood vessels in CAM of and possibly by down-regulating the expression of VEGF-A gene in CAM of developing embryonated chicken eggs [30].
The rodent dorsal window chamber is an In vivo model that has been a valuable method in studying the microvasculature over the last thirty years. This model is a unique technique which enables us the analysis of various aspects of biological process involved in tumor formation and its therapeutic response. In this model, we implanted a dorsal skin folded chamber in rat to observe microscopic changes in blood vessels and related tissues at different time points. This tool would be considered as the most effective one to observe the dynamic variation taking place in tumor progress at microscopic level over period of total experimental time (up to 5 d). In this study, the control group was given with phosphate buffer solution (PBS Ph 7.4) on day 1 and day 5. Similarly, treated group was given with taxifolin at dose of 80µM and 120µM units at different days (day 1 and day 5). In the same way, similar protocol and procedure were followed with the nest flavanoid phloretin in different dose and at different days. Here, we observed that on increasing the dose of both flavanoids, the number of blood vessels and its diameter get reduced as shown in the fig. 7. Thus, both flavanoid would be considered as the most potent and therapeutically effective adjuvant for the management of tumor prevention. The number and diameter of vessels between controls group (Physiological Solution) and test group (taxifolin and phloretin) observed after 5 d flavone treatment. Decrease in number and diameter of vessels reflects the anti-angiogenic efficacy of these flavonoids, these are shown in the images and are represented in the fig. 5 and fig. 6. However, the mechanism behind this activity is not clear but it may be because of increased extracellular matrix production due to augmented TGF-β, and endoglin activity [31].
The process of angiogenesis in the tumor development involves several steps and the tube formation (an out growth in initial stage of tumor formation) is the most primary step among them. This process includes matrix degradation, re-arrangement and apoptosis of the endothelial cells of blood vessels [32]. In this tube formation model, two flavanoids taxifolin and Phloretin were studies using different concentrations. The taxifolin was administered in 80µM and 120µM, whereas phloretin was given in 100 µM and 150 µM unit dose. The numbers of tubes were found to be 87.7±0.5 and 74.5±1.29 respectively after treatment with taxifolin as compared to control group (91.0±0.81), which is represented in images are shown in the fig. 8. Similarly, phloretin was used and observed as 88.2±0.95 and 76.7±1.25 respectively as compared to control group. These images are shown in the fig. 9. Both are represented graphically in the fig. 10. [33] Author reported that this type of results using flavonoids (TF-SB which includes baicalein, apigenin, luteolin etc) with same anti-tube formation activities which was reported to inhibit angiogenesis process by preventing the associated mechanisms such as migration, proliferation and tube formation of endothelial cells. By the interference of Matrix Metalloproteinases (MMPs), Plasminogen Activators (PAs), Growth Factors and cell adhesion molecules, these may be the mediators which inhibit the tube formation [34-35]. In the solid tumor formation, Vascular Endothelial Growth Factor (VEGF) is key growth factors which are over expressed.
For the iniatiation of angiogenesis process, VEGF is required for metastasis and tumor growth by inducing sprouting, proliferation, migration, and tube formation of endothelial cells [36-39]. Thus, in the treatment of angiogenesis dependent diseases suppression of VEGF expression is considered as a good target. So that our results showed significant reduction in tube formation, this may confirm that both the molecules could inhibit the migration and proliferation when the dose is increased. Thus, both the molecules might significantly suppress the development of angiogenesis in HUVECs. Thus, our findings suggest that taxifolin and phloretin could be an attractive antiangiogenic componds that may target the VEGF signaling pathway and they will be applicable in certain cancer treatment and other angiogenesis related disorders. Our flavonoids taxifolin and phloretin have similar potent activity which can be correlated with earlier results of CAM assay and DSFC assay model.
CONCLUSION
From the above findings it can be concluded that both of our molecules Taxifolin and Phloretin have a potential to be used as antiangiogenic agent that may be effective in the treatment of various types of cancers (as angiogenesis is the essential step for tumor growth) and it may be combined with other anticancer drugs to produce synergistic activity.
ACKNOWLEDGEMENT
We are grateful to the University Grant Commission (Basic Scientific Research), Government of India for giving financial support of this work [UGC Grant number: No. F.7-36/2007(BSR)].
CONFLICT OF INTERESTS
We declare that we have no conflict of interest
REFERENCES