
Department of Pharmaceutical Chemistry, Faculty of Pharmacy, University of Aleppo Aleppo University Street, Aleppo, Syria
Email: ghaliaaa@hotmail.com
Received: 30 Jun 2015 Revised and Accepted: 18 Nov 2015
ABSTRACT
Objective: Fatty acid biosynthesis is essential for bacterial survival. Components of this biosynthetic pathway have been identified as attractive targets for the development of new antibacterial agents. β–Ketoacyl acyl carrier protein synthase (KAS) II is a key catalyst in bacterial fatty acid biosynthesis. It is related to control the temperature dependent regulation of fatty acid composition.
Methods: Structure of KasII (FabF) was retrieved from the Protein Data Bank and the structures of flavonoid compounds have been collected from zinc database. Molecular docking and drug likeness studies were performed for those natural compounds to evaluate and analyze the anti-antimicrobial activity.
Results: Finally one compound, Casticin binds to KAS II with the most favorable binding energy (-112.5 kcal/mol) whereas the reference (-92.76 kcal/mol). The fitness score of the compound suggest that this lead can be formulate as an antimicrobial activities drug against gram-negative Pseudomonas aeruginosa.
Conclusions: The results of this study can be implemented in vitro and in vivo in the drug designing pipeline.
Keywords:Pseudomonas aeruginosa, Fatty acid synthases, KAS II, Docking, Flavonoids, iGEMDOCK.
© 2016 The Authors. Published by Innovare Academic Sciences Pvt Ltd. This is an open access article under the CC BY license (http://creativecommons.org/licenses/by/4.0/)
INTRODUCTION
Pseudomonas aeruginosa is a Gram-negative, aerobic; a non-fermentative bacterium widely distributed in nature and can survive on a wide variety of surfaces and among hospital environment [1]. Pseudomonas aeruginosa is a common nosocomial pathogen that causes a variety of infections and is an opportunistic human pathogen. It is “opportunistic” because it seldom infects healthy individuals. Instead, it often colonizes immunocompromised patients, like those with cystic fibrosis, cancer or AIDS [2, 3]. The most common cause of burn infections is P. aeruginosa. It is such a potent pathogen that it attacks up two thirds of the critically ill-hospitalized patients and this usually portends more invasive diseases and acute diseases caused by P. aeruginosa tend to be chronic and life-threatening [4]. P. aeruginosa develops resistance by various mechanisms like multi-drug resistance efflux pumps, biofilm.
Formation, production of β-lactamases and aminoglycoside modifying enzymes [5,6]. Although several classes of antibacterial agents are presently available, resistance in most of the pathogenic bacteria to these drugs constantly emerges. In order to prevent this serious medical problem, the elaboration of new types of antibacterial agents or the expansion of bioactivity of the previous drugs is a very important task [7]. Therefore, in recent years, the research has been focused toward development of new antibacterial agents, which may act through novel target, overcoming the problem of acquired resistance.
A promising target is the fatty acid synthase (FAS) pathway in bacteria. Fatty acid biosynthesis (FAB) is an essential metabolic process of prokaryotic organisms and is required for cell viability and growth [8]. Large multifunctional proteins termed type I fatty acid synthases (FAS I) catalyze these essential reactions to eukaryotes [9, 10]. In contrast, bacteria use multiple enzymes to accomplish the same goal and are referred to as type II, or dissociated, fatty acid synthases (FAS II) [11]. The type II system has been most extensively studied in Pseudomonas aeruginosa [12, 13]. The β-ketoacyl carrier protein synthases (β-KAS) are key regulators of fatty acid biosynthesis. It is well known that three types of β-ketoacyl acyl carrier protein synthase (KAS) enzymes, KAS I (FabB, β-ketoacyl–ACP synthase I), KAS II (FabF, β-ketoacyl–ACP synthase II), and KAS III (FabH, β-ketoacyl–ACP synthase III).
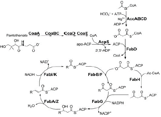
The β-Ketoacyl-Acyl Carrier Protein Synthase I (KAS I) play a very important role in the elongation of fatty acids. Studies have shown that mutants lacking the KAS I enzymes face serious problems in growth and require exogenous unsaturated fatty acids. The function of KAS II is to mainly control the thermal regulation of fatty acid composition. Lack of KAS II will result in failure of the elongation of palmitoleate to cis vaccinate. However, under standard culture conditions, growth is not suppressed. Finally, KAS III is responsible for controlling the rate of fatty acid syntheses, by catalyzing the first step in the pathway, fig. 1.
Fig. 1: The bacterial type II fatty acid biosynthetic pathway [72]
These enzymes catalyze the Claisen condensation reaction, transferring an acyl primer to malonyl-ACP (Acyl Carrier Protein) and thereby creating a β-ketoacyl–ACP that has been lengthened by two carbon units [14].
Flavonoids are becoming the subject of medical research and they have been reported to possess many useful properties, including anti-inflammatory, oestrogenic, enzyme inhibition, antimicrobial [15, 16], antiallergic, antioxidant [17], vascular and cytotoxic antitumour activities. The basic structural feature of flavonoid compounds is the 2-phenyl-benzo pyrane or flavane nucleus, which consists of two benzene rings (A and B) linked through a heterocyclic pyrane ring (C) [18], fig. 2.
Fig. 2: The skeleton structure of the flavones (a class of flavonoids), with rings named and positions numbered
They can be further classified by their chemical structures that are flavones, flavonols, flavanols, flavanones, isoflavones, and anthocyanins. The in silico method is used to analyze the target of structures of expecting to bind sites, to generate candidate molecules, to check for their drug likeness, to dock them with the target, to rank them according to their binding energies, and further to optimize the molecules for improving binding the features.
In this work, we computationally predict that flavonoid casticincan be used as potential drug candidates against Gram-negative Pseudomonas aeruginosa based on that good binding energy toward KAS II active sites.
MATERIALS AND METHODS
Protein preparation
The protein, required for the docking studies, has been retrieved from the Protein Data Bank (PDB) [19]. The protein has (4JPF) a resolution factor of 1.67 Å [19].
We defined the active site of KAS II based on the x-ray complex structure of KAS II protein and 3-benzamido-2-hydroxybenzoic acid ligand. The binding sites, which are more flexible, were selected for this study.
Chemical structures were retrieved from ZINC database [20]. The MOL2 structural formats of all the 50 components were generated from the database ZINC. The set of ligand molecules selected for this study was 50 flavonoids compounds from different plant sources and which have been selected after an extensive literature survey that was performed to hunt for flavonoids that have antimicrobial activities via pubmed site [21-26].
The literature on flavonoids and antimicrobial activities has been collected from this database. The flavonoids have aroused considerable interest recently because of their potentially beneficial effects on human health. They have been reported to have anti-microbial, anti-allergic, anti-platelet, anti-inflammatory, anti-tumor and anti-oxidant activities [27-61] and many flavonoids display low toxicity [62] in mammals. In fact, we have selected 50 flavonoids without sugars (only the aglycones), as the anti-bacteria effectiveness increased when the sugar is separated [62]. Table1 is shown the chemical structure of 50 flavonoids with the reference. They were also selected in accordance with the Lipinski’s rules of five.
Table 1: The structure of 50 screened flavonoid compounds used in this study
S. No. |
Compound ID |
Chemical name |
IUPAC Name |
Compound structure |
References |
1 |
Zinc_6018556 |
Casticin |
5-hydroxy-2-(3-hydroxy-4-methoxyphenyl)- 3,6,7-trimethoxy-4H-chromen-4-one |
![]() |
35 |
2 |
zinc_27646615 |
Tangeritin |
5,6,7,8-tetramethoxy-2-(4-methoxyphenyl) chromen-4-one |
![]() |
60 |
3 |
Zinc_6484604 |
Tamarixetin |
3,5,7-Trihydroxy-2-(3-hydroxy-4-methoxyphenyl)-4-benzopyrone |
![]() |
33 |
4 |
Zinc_897714 |
Malvidin |
3,5,7-trihydroxy-2-(4-hydroxy-3,5-dimethoxyphenyl)chromenium |
![]() |
28 |
5 |
Zinc_517261 |
Isorhamnetin |
3,5,7-trihydroxy-2-(4-hydroxy-3- methoxyphenyl)chromen-4-one |
![]() |
28 |
6 |
Zinc_6483609 |
Syringetin |
3,5,7-trihydroxy-2-(4-hydroxy-3,5-dimethoxy-phenyl)-chromen-4-one |
![]() |
45 |
7 |
Zinc_3954302 |
Petunidin |
2-(3,4-dihydroxy-5-methoxyphenyl)- 3,5,7-trihydroxychromenium |
![]() |
28 |
8 |
Zinc_5998961 |
Tricin |
5,7-dihydroxy-2-(4-hydroxy-3,5- dimethoxyphenyl)chromen-4-one |
![]() |
39 |
9 |
Zinc-39111 |
Fisetin |
2-(3,4-dihydroxyphenyl)-3,7- dihydroxychromen-4-one |
![]() |
27. 28 |
10 |
Zinc_6536276 |
Herbacetin |
3,5,7,8-tetrahydroxy-2-(4-hydroxyphenyl) chromen-4-one |
![]() |
34 |
11 |
Zinc_14728065 |
Cajanin |
3-(2,4-dihydroxyphenyl)-5-hydroxy-7- methoxychromen-4-one |
![]() |
46 |
12 |
Zinc_5733553 |
Pectolinarigenin |
5,7-dihydroxy-6-methoxy-2-(4-methoxyphenyl) chromen-4-one |
![]() |
48 |
13 |
Zinc_4098322 |
Homoeriodictyol |
5,7-dihydroxy-2-(4-hydroxy-3-methoxyphenyl)-2,3-dihydrochromen-4-one |
![]() |
32 |
14 |
Zinc_1081534 |
Sternbin |
2-(3,4-dihydroxyphenyl)-5-hydroxy- 7-methoxy-2,3-dihydrochromen-4-one |
![]() |
36 |
15 |
Zinc_18185774 |
Luteolin |
2-(3,4-dihydroxyphenyl)-5,7- dihydroxychromen-4-one |
![]() |
28 |
16 |
Zinc_5732241 |
Hispidulin |
5,7-dihydroxy-2-(4-hydroxyphenyl)-6- methoxychromen-4-one |
![]() |
37 |
17 |
zinc_1429478 |
Benzoic acid, 3-(benzoylamino)-2-hydroxy |
3-benzamido-2-hydroxybenzoic acid |
![]() |
61 |
18 |
Zinc_14807049 |
Onysilin |
5-hydroxy-6,7-dimethoxy-2-phenyl- 2,3-dihydrochromen-4-one |
![]() |
57 |
19 |
Zinc_39091 |
Hesperetin |
5,7-dihydroxy-2-(3-hydroxy-4-methoxyphenyl)- 2,3-dihydrochromen-4-one |
![]() |
28 |
20 |
Zinc_161951 |
Naringenin trimethyl ether |
5,7-dimethoxy-2-(4-methoxyphenyl)- 2,3-dihydrochromen-4-one |
![]() |
47 |
21 |
Zinc_4098238 |
butin |
2-(3,4-dihydroxyphenyl)-7-hydroxy- 2,3-dihydro-4H-chromen-4-one |
![]() |
28 |
22 |
Zinc_14728050 |
Steppogenin |
2-(2,4-dihydroxyphenyl)-5,7-dihydroxy- 2,3-dihydrochromen-4-one |
![]() |
31 |
23 |
Zinc_57857 |
6,2',4'-Trimethoxyflavanone |
2-(2,4-dimethoxyphenyl)-6-methoxy- 2,3-dihydro-4H-chromen-4-one |
![]() |
54 |
24 |
Zinc_5998641 |
dihydrooroxylin A |
5,7-dihydroxy-6-methoxy-2-phenyl- 2,3-dihydrochromen-4-one |
![]() |
38 |
25 |
Zinc_3869768 |
Kaempferol |
3,5,7-trihydroxy-2-(4-hydroxyphenyl) chromen-4-one |
![]() |
27. 28 |
26 |
Zinc_5733652 |
Diosmetin |
5,7-dihydroxy-2-(3-hydroxy-4 methoxyphenyl) chromen-4-one |
![]() |
42 |
27 |
Zinc_2146973 |
Isosakuranetin |
5,7-dihydroxy-2-(4-methoxyphenyl)-2,3- dihydrochromen-4-one |
![]() |
43 |
28 |
Zinc_1561069 |
Naringenin 7,4'-dimethyl ether |
5-hydroxy-7-methoxy-2-(4-methoxyphenyl)- 2,3-dihydrochromen-4-one |
![]() |
57 |
29 |
Zinc_18847037 |
Biochanin A |
5,7-dihydroxy-3-(4-methoxyphenyl) chromen-4-one |
![]() |
56 |
30 |
Zinc_120273 |
Galangin |
3,5,7-trihydroxy-2-phenylchromen- 4-one |
![]() |
27. 28 |
31 |
Zinc_5999205 |
Glycitein |
7-hydroxy-3-(4-hydroxyphenyl)-6- methoxychromen-4-one |
![]() |
28. 49 |
32 |
Zinc_18847044 |
Prunetin |
5-hydroxy-3-(4-hydroxyphenyl)-7- methoxychromen-4-one |
![]() |
38 |
33 |
zinc_3871358 |
Acacetin\ |
5,7-dihydroxy-2-(4-methoxyphenyl) chromen-4-one |
![]() |
28 |
34 |
Zinc_899093 |
Pectolinarigenin |
5,7-dihydroxy-6-methoxy-2-(4-methoxyphenyl) chromen-4-one |
![]() |
53 |
35 |
zinc_3871576 |
Apigenin |
5,7-dihydroxy-2-(4-hydroxyphenyl) chromen-4-one |
![]() |
28 |
36 |
Zinc_899915 |
Tectorigenin |
5,7-dihydroxy-3-(4hydroxyphenyl)-6- methoxychromen-4-one |
![]() |
50 |
37 |
Zinc_58116 |
Eriodictyol |
2-(3,4-dihydroxyphenyl)-5,7-dihydroxy- 2,3-dihydrochromen-4-one |
![]() |
27 |
38 |
Zinc_3872070 |
Chrysin |
5,7-dihydroxy-2-phenylchromen-4-one |
![]() |
27. 28 |
39 |
Zinc_1785 |
Naringenin |
5,7-dihydroxy-2-(4hydroxyphenyl)-2, 3dihydrochromen-4-one |
![]() |
28 |
40 |
Zinc_14806240 |
Dihydroechioidinin |
hydroxy-2-(2-hydroxyphenyl)-7- methoxy-2,3-dihydrochromen-4-one |
![]() |
40 |
41 |
Zinc_5999024 |
Naringenin 5-methyl ether |
7-hydroxy-2-(4-hydroxyphenyl)-5-methoxy- 2,3-dihydro-4H-chromen-4-one |
![]() |
51 |
42 |
Zinc_57648 |
3,6-Dihydroxyflavone |
3,6-dihydroxy-2-phenylchromen- 4-one |
![]() |
31 |
43 |
Zinc-18825330 |
Genistein |
5,7-dihydroxy-3-(4 hydroxyphenyl) chromen-4-one |
![]() |
27 |
44 |
zinc_33980812 |
Quercetin |
2-(3,4-dihydroxyphenyl)-3,5,7- trihydroxychromen-4-one |
![]() |
28 |
45 |
Zinc_73693 |
Pinocembrin |
5,7-dihydroxy-2-phenyl-2,3-dihydro- 4H-chromen-4-one |
![]() |
28 |
46 |
Zinc_985403 |
Liquiritigenin |
7-hydroxy-2-(4-hydroxyphenyl)-2,3- dihydrochromen-4-one |
![]() |
28 |
47 |
Zinc_14806959 |
Baicalein |
5,6,7-trihydroxy-2-phenylchromen-4-one |
![]() |
29 |
48 |
Zinc_2149675 |
5,7-Dihydroxyisoflavone |
5,7-dihydroxy-3-phenylchromen-4-one |
![]() |
55 |
49 |
Zinc_57919 |
7-Hydroxyflavanone |
7-hydroxy-2-phenyl-2,3-dihydrochromen-4-one |
![]() |
53 |
50 |
Zinc_18847034 |
Daidzein |
7-hydroxy-3-(4-hydroxyphenyl)chromen-4-one |
![]() |
28 |
51 |
Zinc_1480711 |
Dihydrowogonin |
5,7-dihydroxy-8-methoxy-2-phenyl- 2,3-dihydrochromen-4-one |
![]() |
44 |
These phytochemicals were screened in silico for their inhibitory activity against the selected enzyme molecules, comparing with 3-benzamido-2-hydroxybenzoic acid [fig. 3] which is known as inhibitor of KAS II.
Fig. 3: 3-benzamido-2-hydroxybenzoic acid which is known as inhibitor of KAS II
Protein-ligand docking
In this research, we use iGemdock (iGeneric Evolutionary Method Docking) program, which was used in various previous researches [63, 64, 65] and it is available for free [66, 67].
iGemdock v2.1
Docking software iGemdock was used to dock the protein of the enzyme (Kas II) with 50 flavonoids. iGemdock is an integrated virtual screening (VS) environment from preparations through post-screening analysis with pharmacological interactions iGemdock provides interactive interfaces to prepare both the binding site of the target enzyme and the screening compound library. Each compound in the library is then docked into the binding site by using the in-house docking tool iGemdock. Subsequently, iGemdock generates protein-compound interaction profiles of electrostatic (E), hydrogen-bonding (H), and Van der Waal’s (V) interactions. Based on these profiles and compound structures, iGemdock infers the pharmacological interactions and clusters the screening compounds for the post-screening analysis. Finally, iGemdock ranks and visualizes the screening compounds by combining the pharmacological interactions and energy-based scoring function of iGemdock
Rapid virtual screenings of the 50 ligand compounds were performed in the docking tooliGemdock. The docking consisted protocol "accurate docking" by setting population size of 800 is set with 80 generations and 10 solutions. After the completion of the docking, the post docking analysis was performed to find the docking pose and its energy values. The empirical scoring function of iGemdock was estimated uesing:
Energy = vdW+Hbond+Elec
Table 2 illustrates the result of the ten compounds based on the most favorable binding energy of flavonoids.
Table 2: The docking binding energy values results using iGEMDOCK
S. No. |
Chemical name |
Total binding energy (kcal/mol) |
Vanderwaals force (kcal/mol) |
H Bond (kcal/mol) |
Electrostatıc |
1 |
Casticin |
-112.5 |
-96.74 |
-15.76 |
0 |
2 |
Tangeritin |
-101.55 |
-95.72 |
-5.83 |
0 |
3 |
Tamarixetin |
-101.03 |
-87.03 |
-14 |
0 |
4 |
Malvidin |
-100.92 |
-90.29 |
-10.63 |
0 |
5 |
Isorhamnetin |
-98.17 |
-80.35 |
-17.81 |
0 |
6 |
Syringetin |
-97.93 |
-88.55 |
-9.38 |
0 |
7 |
Petunidin |
-97.65 |
-85.38 |
-13.37 |
0 |
8 |
Tricin |
-97.32 |
-83.52 |
-14.81 |
0 |
9 |
Fisetin |
-96.05 |
-81.88 |
-14.18 |
0 |
10 |
Herbacetin |
-95.54 |
-81.72 |
-13.82 |
0 |
11 |
Benzoic acid, 3-(benzoylamino)-2-hydroxy |
-92.76 |
-69.06 |
-15.38 |
-3.71 |
RESULTS AND DISCUSSION
In silico, docking studies were carried out using iGemdock v2.1. The results showed that all the selected flavonoids presented more favorable binding energy ranging from-112.5 kcal/mol to-80.9 kcal/mol when compared to that of the reference (-92.76 kcal/mol). Therefore, these molecular docking analyses could lead to further development of potent (Kas II) inhibitors for the prevention and treatment for diseases caused by Pseudomonas aeruginosa.
Table II summarizes results of the docking study based on binding energies. The energy, representing the best binding energy of inhibitors of this enzyme, was identified by the molecular docking procedure. In addition, fig. 4 illustrates the interactions of casticin with protein pocket, which has the most favourable binding energy and clarify the hydrogen bonding and Van der Waal’s interactions with the amino acids.
Fig. 4: Predicted docking pose of Casticin lie within the active site of the target protein (PDB ID-4JPF). Pink color represents the corresponding ligand molecule and green color represents the corresponding reference. Green and grey color represents the amino acids involved in hydrogen bonding and van der Waals interactions respectively
Table 3 shows pharmacological interactions and residues involved in the binding site for casticin. Then the pharmacological interactions are useful for understanding ligand binding mechanisms of a therapeutic target. These interactions are often inferred from a set of active compounds that were acquired by experiments.
Table 3: Pharmacological interactions and residues involved in the binding site
PDB ID |
Predicted pharmacologica interactions |
Casticin |
4JPF |
ARG-87-H-S |
-9.1 |
GLY-84-H-M |
-2.9 |
|
GLY-61-H-M |
-2.5 |
|
GLU-61-V-M |
-4.9 |
|
TYR-62-V-M |
-5.5 |
|
TYR-62-V-S |
-16.4 |
|
PHE-83-V-M |
-8 |
|
PHE-83-V-S |
-13 |
|
GLN-84-V-M |
-11.2 |
|
GLN-84-V-S |
-5.3 |
|
ARG-87-V-S |
-16.3 |
Thegreen and grey color represents the amino acids involved in(H)hydrogen bonding and(V) van der Waals are interaction types M and S are Main chain and Side chain., In addition, the table 4 shows distance of hydrogen bond (Å) of some residues in the KAS II protein’s active site.
Table 4: The distance of hydrogen bond (Å) of some residues in the KAS II protein’s active site
Residues |
Distance (Å) |
ARG-87-H-S |
1.99 |
GLY-84-H-M |
2.17 |
GLY-61-H-M |
2.04 |
Post screening analysis
The performed docking study against the KAS II receptor revealed that all flavonoid compounds identified in this study have a superior binding energy in comparison to the reference compound 3-benzamido-2-hydroxybenzoic acid. The analysis identified casticin (Zinc-6018556) as having the most favorable binding energy of-112.5 kcal/mol kcal/mol. Casticin is a methyoxylated flavonol, meaning the core flavonoid structure has methyl groups attached. Fig. 5 is shown the structure of casticin.
Fig. 5: The structure of casticin
The drug-receptor interactions and the fitness score of the compound suggest that this lead can be formulate as an antimicrobial activities drug against gram-negative Pseudomonas aeruginosa.
Lipinski’s rule of five
Lipinski et al. formulated the ’Rule of Five’ to relate likelihood of oral bioavailability which consists of four important properties (MW, log P, number of H bond donors/acceptors), each related to the number 5. The guidelines are based on data onto the literature for a large number of compounds, including all known drugs that correlate physical properties with oral bioavailability. The compounds are more likely to be membranes permeable and easily absorbed by the body if it matches the following criteria:
1. The molecular weight of less than 500 mg/mol
2. Has a high lipophilicity (log p less than 5)
3. Hydrogen bond donors less than 5
4. Hydrogen bond acceptor is less than 10
The rule describes molecular properties important for a drug's pharmacokinetics in the human body, including their Absorption, Distribution, Metabolism, and Excretion ("ADME").
The rule is important for drug development where a pharmacologically active lead structure is optimized step-wise for increased activity and selectivity, as well as drug-like properties as described by Lipinski's rules [68, 69, 70].
Compound classes that are substrates for biological transporters are exceptions to the rule. The molecular docking studies and Lipinski’s rules facilitate drug development avoiding expensive post clinical experiments.
Veber rule and Molar Refractivity
1-Veber Rule: In particular, compounds which meet only the two criteria of:
Are predicted to have good oral bioavailability
2-Molar Refractivity: between (40-130) is used as measurement of the real volume of the molecule and it is also related to the forces, which govern the ligand-receptor interactions [70].
The 10 high ranked lead molecules were prioritized to follow Lipinski’s rules of five, veber rule and molar refractivity [71] based on the drug likeliness properties are listed in table 5.
Table 5: The Lipinski’s and Veber properties of the selected 10 ligands
Chemical name |
Molecular Formula1 |
*M W2 g/mol |
logP1 # |
*X logP2 |
*HD 2 |
*HA2 |
*RB2 |
*(PSA)2Aο |
*MR3 |
Value to be |
500 > |
5 > |
5 > |
10 > |
=10 > |
140 => |
40-130 |
||
Casticin |
C 15 H 10 O 5 |
270.24 |
2.37 |
2.27 |
3 |
5 |
1 |
91 |
69.85 |
Tangeritin |
C16H12O7 |
316.26 |
1.70 |
1.99 |
4 |
7 |
2 |
120 |
78.11 |
Tamarixetin |
C16H12O7 |
316.26 |
1.67 |
1.99 |
4 |
7 |
2 |
120 |
78.11 |
Malvidin |
C15H12O6 |
288.25 |
1.84 |
2.03 |
4 |
6 |
1 |
107 |
72.13 |
Isorhamnetin |
C16H12O7 |
316.26 |
1.70 |
1.99 |
4 |
7 |
2 |
120 |
78.11 |
Syringetin |
C 15 H 12 O 6 |
288.25 |
1.45 |
1.63 |
4 |
6 |
1 |
107 |
72.13 |
Petunidin |
C21H22O9 |
254.24 |
2.49 |
2.56 |
2 |
4 |
1 |
71 |
67.97 |
Tricin |
C16H14O6 |
302.28 |
1.93 |
1.94 |
3 |
6 |
2 |
96 |
76.93 |
Fisetin |
C15H10O6 |
286.24 |
1.87 |
1.97 |
4 |
6 |
1 |
111 |
71.43 |
Herbacetin |
C15H10O5 |
272.25 |
2.24 |
2.13 |
3 |
5 |
1 |
87 |
70.25 |
Benzoic acid, 3-(benzoylamino)-2-hydroxy |
C15H10O4 |
254.24 |
2.72 |
2.94 |
2 |
4 |
1 |
70 |
67.67 |
1-calculated by ALOGPS 2.1 program http://www.vcclab.org/lab/alogps/start.html.
2-Calculated by www. zinc. docking. o, https://pubchem.ncbi.nlm.nih.gov/search/search.cgi
3-Calculated by ACD (Available Chemical Directory)
*PSA: Polar Surface Area,*MW: Molecular weight, *HD: H bond donor, *HA: H bond acceptor.
*RB: rotatable bonds. *MR: Molar refractivity
#Octanol/Water partition coefficient
CONCLUSION
The results of the present study clearly demonstrated that the in silico molecular docking studies of selected flavonoids with FabF enzyme exhibited binding interactions and warranted further studies needed for the development of potent FabF inhibitors for the treatment of Pseudomonas aeruginosa. These results clearly indicated that casticinhas similar binding sites and interactions with FabF compared to the reference.
These in silico studies are actually an added advantage to screen the FabF inhibition. Flavonoids may serve as useful leads in the development of clinically useful FabF inhibitors. Further, investigations on the above compound need in vitro and in vivo studies to develop potential chemical entities for the prevention and treatment of Pseudomonas aeruginosa infections.
ACKNOWLEDGMENT
The authors would like to thank all the management of Aleppo University and all the staff of Faculty of Pharmacy for assistance.
There is no known conflict of interest associated with the publication and there has been no significant financial support for this work that could have influenced its outcome.
CONFLICT OF INTERESTS
Declared None
REFERENCES