
Department of Pharmacognosy, School of Pharmaceutical Sciences, Siksha ‘O’ Anusandhan University, Khandagiri Square, Bhubaneswar 751003, Odisha, India
Email: priyanka.dash8@gmail.com
Received: 01 Aug 2015 Revised and Accepted: 10 Sep 2015
ABSTRACT
Objective:The objective of the present investigation was to evaluate milk clotting activity as well as proteolytic activity of protein fractions of seeds of Citrullus lanatus.
Methods:Storage proteins were extracted by differential solubility, and their contents were estimated using the Bradford method. The effect of pH and temperature on the milk-clotting activity and proteolytic activity was also evaluated.
Results:Citrullus lanatus showedhighest milk clotting activity over a broad temperature range of 30-80 ºC and pH range of 3-9.
Conclusion:These findings showed that Citrullus lanatus have proteolytic activity which might be a potentially suitable substitute for commercial animal rennet for cheese-ripening.
Keywords: Citrullus lanatus, Milk clotting, Casein.
© 2016 The Authors. Published by Innovare Academic Sciences Pvt Ltd. This is an open access article under the CC BY license (http://creativecommons.org/licenses/by/4.0/)
Plant proteases are the enzymes, which participate in mobilisation of various storage proteins, as well as degradation of light-damaged chloroplast proteins. They can also provide defence against phytopathogenic attack, tissue differentiation and floral senescence [1]. The proteases like papain, bromelain and ficin are now widely utilised by different industrial processes [2]. The commercially available calf rennet, which contains chymosin, has now been used for the manufacturing of cheese. Milk clotting can be achieved by a number of proteolytic enzymes from animal sources such as pig, cow and chicken pepsins. These animal rennets are also being substituted by microbial rennet, which is derived from genetically engineered bacteria (Rhizomucor miehei, Rhizomucor pusillus and Cryphonectria parasitica) [3, 4]. Plant coagulants are of growing interest as the use of animal rennet may be limited for religious reasons (Judaism and Islam), diet (vegetarianism) or consumer concern regarding genetically engineered foods. The Germany, Netherlands and France forbid the use of recombinant calf rennet. More recently, the incidence of bovine spongiform encephalopathy has reduced both supply and demand for bovine rennet. In view of its high cost, religious reasons and ethical considerations associated with the use of animal rennet have directed research interest for discovering some natural milk clotting enzymes from plant sources [5, 6]. The natural rennet extracted from plants such as Ananas comosus, Carica papaya, Cynara cardunculus, Cynara scolymus, Benincasa cerifera, Zingiber officinale, Asparagus officinalis, Ficus carica and Actinidia chinensis was reported previously [7]. Cheese is a dairy product that has played a key role in human nutrition for centuries. The main objective is to convert milk which is perishable into a product with a longer shelf life. The patients with poor gastrointestinal absorption and food allergy are currently treated with casein hydrolysate. The casein hydrolysate is biologically active peptide, which plays an important role in various physiological disorders [5].
The Citrullus lanatus (C. lanatus) is a long-season crop belonging to the family cucurbitaceae. The seeds are highly nutritive and potential source of proteins, vitamins, minerals and lipids. The composition of amino acids in watermelon seeds generally indicates good quality of protein with predominant amounts of arginine, glumatic acid, aspartic acid and leucine. The seed extracts are reported to have anti-cancer, cardiotonic and anti-hypertensive activity. They are also used for the treatment of acute eczema and urinary tract infections [8]. The fractionated seed proteins of this plant have not yet been carried out as a source of milk clotting and proteolytic enzyme. So, the objective of this research work is to find an alternative source of milk clotting enzyme from C. lanatus.
The kernels of the seed of C. lanatus are separated and dried at 50 ºC. The kernels were powdered using grinder and then subjected for extraction using n-hexane. The residue was air dried at room temperature for 24 h, weighed and extraction of proteins was carried out. The residue (10 mg) was mixed with 1 ml of distilled water at 4 °C for 1 h and centrifuged at 10000 g for 20 min. The supernatant containing albumins was collected, while the sediment was used for further extractions. It was rinsed with 0.5 ml of distilled water before homogenization, followed by centrifugation in the same condition as in the previous step to remove albumins (Calb) completely. The pellet obtained passed through the similar series of steps using a mixture of Tris HCl, 100 mmol in 0.5 NaCl at pH 8.1 to extract globulins (Cglo). The pellet was then treated with 55 % isopropyl alcohol to separate prolamin (Cpro), and glutelin (Cglu) was separated by using 0.2 N acetic acid. Protein fractions were purified using acetone. The four protein fractions obtained were lyophilized and stored at −20 °C until further study [9].
The protein content was determined using a Bio-Rad protein assay reagent (Bio-Rad, USA) and bovine serum albumin (BSA) as described by Bradford [10]. Absorbance was measured at 595 nm after the mixture was allowed to stand for 5 min at room temperature.
The proteolytic activity was determined at pH 6 using casein digestion method described previously by Shieh et al. [11]. The 5 ml of 1.2 % of casein solution in 0.05 mol phosphate buffer (pH 6) was added to 1 ml of sample solution and incubated at 35 °C for 10 min. After incubation, 5 ml (0.44 mol) of tri-chloroacetic acid (TCA) was added to complete the reaction and filtered. 2 ml of the filtrate was then added to 5 ml of NaOH (0.28 N) solution and 1.5 ml phenol reagent. The optical density (OD) of the mixture was measured at 660 nm after incubation at 35 °C for 15 min. All the observations are carried out in triplicate.
Proteolytic activity (Units/ml) = (µm tyrosine equivalents released) ×11 = 1 ×10 ×2
Where,
11= total volume (ml) of assay
10= time of assay (min) as per unit definition
1= volume of enzyme (ml) of enzyme used
2= volume (ml) used in colorimetric determination
The milk clotting activity of C. lanatus protein fraction was determined according to the method of Corrons et al. [12]. The substrate containing 10 % skimmed milk in 0.01 mol CaCl2 was prepared and its pH was adjusted to 6.5. The substrate (2.0 ml) was pre incubated at 37 ºC for 5 min and then 0.2 ml of the test sample was added. The curd formation was observed at 37 °C while test tube was rotated manually in different time intervals. The end point was recorded when discrete particles were fully separated. One milk clotting unit is defined as the amount of enzyme that clots 10 ml of the substrate within 40 min. All the observations are carried out in triplicate.
MCA (U/ml) =2400/clotting time (s)/dilution factor
Proteolytic and milk clotting activities were determined at 30, 40, 50, 60, 70, 80 and 90 °C. To determine the effect of pH on the enzyme activities, protein was previously incubated in 50 mmol citrate-sodium phosphate buffer (pH 3.0 to 6.0, 24 h, 37 °C), 50 mmol tris–HCl (pH 6.0-8.0), 50 mmol glycine (pH 8.0 to 11.0, 24 h, 37 °C). The assays were performed as above.
In this preliminary experiment, four protein fractions were tested for their milk clotting activity. In milk clotting activity, obtained clots registered stable consistency over the time period of 40 min and the exudates were clear and slightly yellow. Milk clotting activity (MCA) of albumin, globulin, prolamin and glutelin showed 27.9±2.76, 12.5±1.92, 2.4±1.17 and 1.6±2.59 respectively. In the present study, the seed proteins such as albumin, globulin, prolamin and glutelin exhibited specific activity 3.2, 1.4, 1.6 and 0.34 U/mg respectively. The results showed that albumin has the highest milk clotting and specific activity. As shown in fig. 5, the enzyme greatly coagulated the skimmed milk compared to the control sample. The milk clotting activity of C. lanatus was much higher than some tested plant extracts such as S. aculeastrum (0.56±0.01 U/ml), S. aethiopicum (2.62±0.1 U/ml), S. terminale (1.33±0.02) [13].

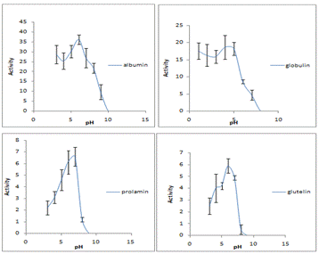
Fig. 1: Proteolytic activity of C. lanatus at different pH. All assays were performed by triplicate; vertical bars correspond to standard deviation

Fig. 2: Proteolytic activity of C. lanatus at different temperature. All assays were performed by triplicate; vertical bars correspond to standard deviation

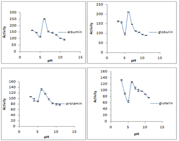
Fig. 3: Milk clotting activity of C. lanatus at different pH. All assays were performed by triplicate; vertical bars correspond to standard deviation

Fig. 4: Milk clotting activity of C. lanatus at different temperature. All assays were performed by triplicate; vertical bars correspond to standard deviation
The resultsofproteolytic activitydepict that albumin, globulin, prolamin and glutelin exhibited caesinolytic activity of 164.9±0.87, 147.6±1.61, 121.8±0.91, 71.2±0.49, and its specific activity of 18.9, 17.1, 81.2, 15.47 respectively (Table-1). It is therefore found that albumin has the highest proteolytic activity than the other protein fractions but the prolamin showed the highest specific activity. The caesinolytic activity of protein from Euphorbia nivulia (4.34 U), Ficus carica (1.34 U), Calotropis procera (1.83 U) and Carica papaya (2.44 U) was reported to have less activity than C. lanatus [14].
Proteolytic activity on casein significantly enhanced after heating of all protein fractions at 50 °C while loss of the activity was observed after 70 °C. But prolamine showed loss of activity after 60 °C. Fig. 2 showed that the enzyme activity increased as the temperature increased from 20 to 70 °C. The activity was rapidly decreased as the temperature raised over 80 °C. Since, the enzyme had a high optimum temperature; its stability was studied at a temperature ranged from 20 to 80 °C. The thermal stability of the enzyme was found up to 70 °C. The temperature profile of the enzyme was agreed with seeds of Solanum dubium, cucumisin from Cucumis melo [7, 15]. As shown in fig. 2, the purified enzyme is stable under a wide range of pH and it retained all of its activity in the pH range from 3 to 11. Caseinolytic activity was higher when protein fractions were previously incubated at pH 6. The pH profile of the enzyme was same with crustaceans [16].

Fig. 5: Milk clotting activity of C. lanatus
Effect of heating, pH on Milk clotting activity was shownin fig. 3, the purified enzyme is stable under a wide range of pH and it retained all of its activity. Protein fractions of C. lanatus showed milk clotting activity after previous incubation of the protein fraction at pH 3 (table 1), and loss of activity was detected when protein was previously incubated at pH values higher than 8. Enzymes from Moringa oleifera flower showed similar activity at pH 7 [2]. The stability of C. lanatus is comparable with C. trigonus [17] and E. milii [18]. High thermal stability and ability to work in a wide pH range are important criterias for the choice of proteases to be used in industrial processes [19]. The results obtained in fig. 4, showed that the enzyme activity increased as the temperature increased from 20 to 70 °C. The activity rapidly decreases as the temperature increases over 80 °C. Milk clotting enzymes from W. coagulans, S. esculentum and S. macrocarpon are stable proteins remaining active after heating to 70 °C [20]. In this sense, the milk clotting enzymes present in different fraction of proteins are promising candidates for application in milk clotting at an industrial large scale. Additionally, use of C. lanatus seed in human diet, being eaten raw or cooked is an indicative of safety for use in cheese production. The optimum temperature for MCA and proteolytic activity of the extracts depends on several factors such as the plant source, tissue, concentration and type of protease.
Table 1: Milk clotting activity and proteolytic activity of protein fractions of C. lanatus
Protein fractions |
Proteolytic activity(units) |
Milk clotting activity(units) |
Total protein (mg) |
Specific activity for proteolytic activity (units/mg) |
Specific activity for MCA (units/mg) |
Albumin |
164.9±0.87 |
27.9±2.76 |
8.7±0.5 |
18.9 |
3.2 |
Globulin |
147.6±1.61 |
12.5±1.92 |
8.6±0.08 |
17.1 |
1.4 |
Prolamin |
121.8±0.91 |
2.4±1.17 |
1.5±0.5 |
81.2 |
1.6 |
Glutelin |
71.2±0.49 |
1.6±2.59 |
4.6±0.09 |
15.47 |
0.34 |
Values are expressed as mean±SD. All assays were performed by triplicate
CONCLUSION
In the present study, it is concluded that among the protein fractions of C. lanatus seed, albumin might be a potentially suitable substitute for commercial animal rennet, being more active than other protein fractions and exhibiting both good milk clotting and caseinolytic activity required for cheese-ripening. As many plant rennets generate bitter peptides, experimental cheese-making needs to be carried out with C. lanatus to ensure that its seed protein can lead to cheese without bitterness.
CONFLICT OF INTERESTS
Declared None
REFERENCES