
1Chemistry Department, Faculty of Science, University of Jeddah, Osfan, P. O. Box: 80203, Jeddah 21589, Saudi Arabia, 2Polymer Materials Research Department, Advanced Technology and New Materials Research Institute, City for Scientific Research and Technological Applications, Alexandria, Egypt, 3Department of Chemistry, Faculty of Science, AL-Azhar University, Cairo, Egypt, 4National Organizations for Drug Control and Research, Cairo, Egypt
Email: Ahmedomer_81@yahoo.com
Received: 03 Aug 2015 Revised and Accepted: 26 Aug 2015
ABSTRACT
Objective: The main objective of this study is to evaluate the swelling behavior of pH sensitive chitosan (CS) grafted alginate (ALG) hydrogel microcapsules and compared with a simple alginate-chitosan mixed polyelectrolyte complex (PEC) to show the benefits of the used covalently grafting technique. In addition, the behavior of the swelling process under physiological conditions to stimulate gastric, colonic and intestinal medium for grafted PEC microcapsules will be investigated as well.
Methods: The new pH sensitive hydrogel microcapsules were prepared using “grafting to” technique. Swelling studies were conducted in buffer saline solutions with different pHs using wet beads. In addition; the sensitivity of the grafted microcapsules to the change of pH in the simulated gastric fluid (SGF; pH 1.2), (SIF; pH 6.8) and (SCF; pH 7.4) was investigated.
Results: It was observed from the swelling studies that sharp phase transition was recognized between pH 3–4. While this transition became broader and recognized between pH 3.0-7.4, where the maximum value of the equilibrium swelling degree was varied depending on the variation of CS concentration from 0.1% to 0.5%, both grafted and mixed microcapsules exhibit higher swelling degree at high pH 6.8 (120%, 100%) respectively.
Conclusion: It was clear from all swelling studies that the grafting technique may be a suitable way for large-scale production of pH sensitive alginate–chitosan microcapsules as a potential system for site-specific oral delivery of protein drugs to different regions of the intestinal tract.
Keywords: Alginate, Chitosan, Hydrogel, Grafting, pH Sensitive, Swelling.
© 2016 The Authors. Published by Innovare Academic Sciences Pvt Ltd. This is an open access article under the CC BY license (http://creativecommons.org/licenses/by/4.0/)
INTRODUCTION
Smart hydrogels are polymers that can change their properties in response to the changes in the outside swelling/release medium such as temperature and pH values [1-5]. Polysaccharide based pH sensitive hydrogels have been conducted for the potential use in site-specific delivery of drugs especially low molecular weight protein drugs to specific sites of the gastrointestinal (GI tract) [6]. Therefore, hydrogels that exhibit pH dependent can be swollen from ionic networks which contain acidic or basic pendant groups [7, 8]. These pendant groups can undergo ionization process, producing fixed charges on the gel matrix. So, the hydrophilicity of the polymer chains increased as a result of the electrostatic repulsions and the penetration of the solvent molecules into the network increased consequently leading to the swelling of the polymer network [9]. Alginate (AlG) is a linear anionic water-soluble polysaccharide extracted from brown seaweed and is composed of alternating blocks of 1–4linked α-L-guluronic and β-D-mannuronic acid residues [10]. Due to the unique properties of ALG such as biodegradability, mucoadhesive and biocompatibility, it can be used in the biomedical and pharmaceutical applications especially in the drug delivery system [11]. The sensitivity of alginate to pH can be exploited to customize swelling/release profiles. Therefore, theoretically alginate shrinks at low pH, once passed into the higher pH the alginate is converted to a soluble viscous layer (i.e. deprotonation of COO-). Some physico-chemical modifications can be used to improve the alginate properties such as grafting with hydrophilic monomers and combination with other natural polymers. It has been reported that the grafting process of alginate enhances the swelling behavior and reduces dosage form manufacture complexity with reference to coating or mixing processes [12]. Chitosan (CS) is an abundant polysaccharide, present in crustacean shells and is a de acetylated form of chitin, linear polysaccharide composed of-1, 4-linked 2-amino-2-deoxy--D-glucose (N-acetyl glucosamine). Chitosan is a biodegradable, biocompatible and nontoxic natural polymer [13]. According to these excellent properties, chitosan has been widely used in many applications including pharmaceutical, drug delivery tissue engineering applications [14-16]. It is well known that chitosan suffers from a poor solubility in water, which is a major drawback for drug formulations. However, chitosan contains high amino groups (pK 6.2–7.0) and is water soluble in aqueous acids but it is insoluble at high pH conditions. Chitosan exhibits a pH-sensitive behavior due to the large quantities of amino groups on its chain [17]. This property has helped it to be used in the delivery of chemical drugs to the stomach and has been widely investigated as a delivery matrix. The pH sensitive swelling behavior of chitosan involves the protonation of amino groups of chitosan under low pH conditions leading to chain repulsion. The physicochemical modification of chitosan by reactions at the amino groups has helped scientists to improve its chemical and mechanical properties for oral protein delivery applications [10]. Grafting teqnique of chitosan is one of the most chemical modification methods for allowing the formation of functional derivatives [18]. Ionic interactions between the anionic carboxyl residues of alginate and the cationic amino groups of chitosan lead to polyelectrolyte complex (PEC) formation, fig. 1. In the last decade, different PEC forms based on alginate and chitosan have been studied as carriers for proteins and drugs [19-21]. The pH sensitivity of alginate/chitosan PEC has been studied for the development of oral delivery of protein or peptide drugs [21]. One of the most important characteristics of alginate/chitosan polyelectrolyte complex is the swelling behavior. Therefore, swelling behavior for polymeric microcapsules applied in different drug delivery systems always affects the release of drugs from drug loaded microcapsules [22].
In our previous work, we have reported synthes is and characterization of a new smart pH sensitive chitosan grafted alginate hydrogel microcapsules, also; evidences of grafting process have been obtained. In the current study we have described a detailed investigation of swelling behavior of the chitosan grafted alginate wet beads, the obtained results were compared with the obtained results in case of mixed polyelectrolyte complex beads. Several factors affecting the swelling behavior of the grafted and mixed beads were explored, the swelling behavior at acidic and basic conditions to stimulate gastrointestinal tract conditions has been studied.
Fig. 1: Schematic representation of the ionic interactions between alginate and chitosan
MATERIALS AND METHODS
Materials
Sodium alginate (Low viscosity) was obtained from Sigma-Aldrich Chemicals Ltd. (Germany). Chitosan (M. wt. 100000-300000) was obtained from Across Organics. (New Jersey, USA). Р-Benzoquinone (PBQ) (99 %) was obtained from Sigma-Aldrich Chemicals Ltd. (Germany). Calcium chloride (anhydrous fine GRG 90%) was purchased from Fisher Scientific (Fairlawn, NJ, USA). Methyl alcohol (99%) was obtained from El-Nasr Pharmaceutical Co. for Chemicals. (Egypt). Other chemicals were of analytical grade and doubly distilled water was used throughout the experiments.
Methods
Preparation of chitosan grafted alginate (CS-g-ALG) PEC
The polyelectrolyte complex of chitosan grafted alginate hydrogel was prepared as following: Firstly alginate was activated using р-benzoquinone (PBQ) [23], by dissolving sodium alginate (low viscosity) in distilled water under mechanical stirring with continuous heating the solution until become completely clear to acquire finally 4% (w/v) concentration. The alginate solution was then mixed with (PBQ) solution (0.08M pH 10) and kept for 2h at 45oC to have the final concentration 2% (w/v) alginate and 0.04 M (PBQ). The mixture was precipitated, washed many times using methyl alcohol to remove the excess of PBQ and left to dry at room temperature. The alginate-PBQ was dissolved again with the same concentration (2%w/v). Chitosan solution (prepared by dissolving chitosan in 0.5% acetic acid) was added to the alginate-PBQ solution with final concentration (0.1-0.5%w/v) and mixed homogeneously. pH was adjusted to 5.0 by NaOH with continuous stirring at 40oC for a definite time intervals. Homogeneous graft copolymer solution was formed. Lastly the mixture was added drop wise using electrostatic pump through 10 cm3 plastic syringe to calcium chloride solution (3% w/v) and left to harden for 1 h at 25oC. The distance between the edge of the needle and the surface of calcium chloride solution was 10 cm. Smooth and spherical beads were formed. The wet beads were separated from the solution, washed using distilled water to remove the excess PBQ and free chitosan, and then left at room temperature for 10 min before used for swelling experiment. Schematic diagram describes the proposed mechanistic pathway for synthesis of chitosan grafted alginate (CS-g-ALG) polyelectrolyte complex hydrogels is presented; fig. 2.
Preparation of alginate-chitosan (ALG–CS) mixed hydrogel
The polyelectrolyte complex of Alginate-Chitosan mixed hydrogel was prepared by the same method described above, with replacing the alginate-PBQ by only alginate (low viscosity).
Swelling experiments
a-Swelling studies were conducted using wet beads; the term wet refers to the state of the beads immediately after the preparation. In a typical swelling experiment, a pre weighed amount of grafted and mixed hydrogel wet beads (1g) were immersed in an aqueous reservoir (swelling medium temperature 37 oC) using buffer saline with pH range from (1.0-10) and allowed to swell for a definite time period (0.5-6h). Buffer salines, which readily provide different pH values, were prepared freshly from solutions of citric acid, disodium hydrogen phosphate, sodium di hydrogen phosphate, hydrochloric acid and potassium chloride, the strength of ion was adjusted by NaCl. The swollen beads were taken out at predetermined time pressed gently in between two filter papers to remove moisture adhering to the surface, immediately followed by weighing on an electronic balance.
b-To study the swelling behavior in gastrointestinal tract conditions, another sample of beads were immersed in a solution with pH value of 1.2 (refer to simulated gastric fluid [SGF]) for 2h and subsequently in a solution of pH 6.8 (refer to simulated intestinal fluid [SIF]) for 3h, lastly in a solution of pH 7.4 (refer to simulated colonic fluid [SCF]) for 3h at 37oC. Then the other processes were the same as the section (a).
At least three swelling measurements were performed for each sample and the mean values are reported.
The percentage of swelling degree can be determined as a function of time as following;
Swelling degree (%) = [(Mt-M0)/M0] ×100
Where Mt is the weight of the swollen hydrogel sample after 6h of swelling, and M0 is the initial weight of the sample [24].
Fig. 2: Schematic representation for synthesis of chitosan grafted alginate hydrogel
RESULTS AND DISCUSSION
Swelling studies
In fact; the swelling behavior of hydrogel microcapsules can be well justified due to the fact that wet beads tend to absorb water in order to fill the void regions of the polymer network within the beads that remain dehydrated, until they reach the equilibrium state [25]. In the present study, several factors affecting the swelling behavior of CS-g-ALG and ALG–CS mixed polyelectrolyte complex hydrogels were explored. The obtained results are discussed in the following.
Effect of chitosan concentration (CS)
The effect of variation chitosan concentration on the swelling degree of CS-g-ALG and ALG–CS mixed beads was studied by varying CS concentration in the range of (0.1-0.5%) in the feed mixture as shown in Fig.3 (a, b). It’s clear from results that the swelling degree was increased with increasing of chitosan concentration up to 0.3%, in which higher equilibrium of swelling degree was observed at 0.3% CS (84%, 72%) for grafted and mixed beads respectively, then tend to decrease with increasing CS concentration beyond 0.3%. Increasing of swelling degree can be explained by the fact that CS is a natural hydrophilic polymer, (i.e. water soluble polymer), where its contain NH2 groups which impart hydrophilicity to the molecule, and so increase affinity of water molecules to penetrate in to the beads and swells the macromolecular chains, thus resulting in a greater swelling of hydrogel. However, at much higher concentration of CS (beyond 0.3%) the density of network chains increases so much that both the diffusion rate of water molecules and relaxation rate of macromolecular chains are reduced. This explains the fall in the swelling degree of hydrogel. Also the use of higher concentrations of CS lead to increase the viscosity of mixture, which may create some other complications such as inhomogeneous cross-linking of beads because highly viscous mixture could retard the penetration of water molecules in to the beads. On the other hand; minimum concentrations less than 0.3% lead to decreasing in the swelling degree, which can be explained as the amount of CS will be not enough to form the gel network with activated alginate backbone due to that the number of hydrophilic CS chains will be decrease and more shorter, leading to that the swelling degree will decrease. Also it was observed from results that the swelling degree of grafted beads (fig. 3a) was higher more than mixed beads (fig. 3b), this indicate that the grafting process was enhanced the swelling process of hydrogel. Finally from the results it was clear that the equilibrium swelling degree of mixed hydrogel was obtained after 6h of swelling (72%), while in case of grafted beads, the beads need more than 6hr to reach its equilibrium swelling degree. These observations may be attributed to that in chemically cross linked hydrogels (CS-g-ALG), polymer chains are connected by covalent bonds through PBQ molecules which working as spacer increases the pores volume in the network structure, thus it need more time to reach the equilibrium swelling. Polymer chains of physical gels (ALG–CS mixed hydrogel) are connected through non covalent bonds such as van der Waals interactions, ionic interactions, hydrogen bonding, or hydrophobic interactions [26]. The absence of spacers between COO-groups of alginate and NH3+groups of chitosan make the formed polyelectrolyte network more compact with less pores volume. This leads directly to absorb less amount of water. Physical forms represent secondary valence networks while the covalent form indicates primary valence networks [27].
![]() |
![]() |
3(a) |
3(b) |
Fig. 3: Effect of variation chitosan concentration on the percentage of swelling degree of (a) CS-g-ALG and (b) ALG–CS mixed beads at constant grafting and mixing conditions (3h, 40 °C), formulation conditions(3% CaCL2 for 1h at RT) and swelling medium pH 7.4
Effect of reaction temperature
The influence of variation reaction (grafting and mixing) temperature on the swelling degree of CS-g-ALG and ALG–CS mixed beads was studied in the range (30-50oC) as shown in fig. 4 (a, b). From results, it’s clear that the swelling degree increase with increasing of reaction temperature up to 40oC, the grafted and mixed beads were reached to the maximum equilibrium swelling degree, while beyond 40 oC the swelling degree was decreased. It is worthy to mention here that the variation range of swelling degree is only 15%. These results may be attributed to the formation of more number of ionic interactions between COO-groups of alginate and NH3+groups of chitosan in both polyelectrolyte complex types in addition to covalent interaction through PBQ sites over activated alginate. Over certain number of interactions at reaction temperature over 40oC, the network structure became tighter and as a result the swelling degree has been reduced.
Moreover, the swelling rate of both polyelectrolyte beads is divided into two stages. The first stage up to 3 h where exponential mode was observed with grafted beads and linear mode was observed with mixed beads. The second stage was linear in both beads type. It is interesting to observe that the swelling degree of CS-g-ALG beads is higher than the ALG-CS mixed beads within the studied swelling time. After 6 h the ALG-CS mixed beads reaches to the equilibrium which CS-g-ALG beads were not.
![]() |
![]() |
4(a) |
4(b) |
Fig. 4: Effect of variation the reaction temperature on the percentage of swelling degree of (a) CS-g-ALG and (b) ALG–CS mixed beads at constant grafting and mixing conditions (0.3%CS, 3h), formulation conditions(3% CaCL2 for 1h at RT) and swelling medium pH 7.4
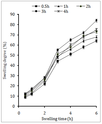
Effect of reaction time
The effect of variation the reaction time on the swelling degree of CS-g-ALG and ALG–CS mixed beads was studied in the range (0.5-4 h) as shown in Fig.5 (a, b). It was clear from results that the swelling degree was increased gradually with increasing reaction time up to 3h, while it slightly decreased beyond that time. These results can be attributed to that with increasing grafting time (in case of grafted beads) up to 3h, the formed network structure also increased. Thus, void volume increased and the swelling degree increased consequently. The same explanation can be used in case of ALG-CS mixed beads. Over 3 h of reaction time, no functional groups, COO-and NH3+, were left free. So, prolongation of reaction time has almost no effect.
![]() |
![]() |
5(a) |
5(b) |
Fig. 5: Effect of variation in the reaction time on the percentage of swelling degree of (a) CS-g-and (b) ALG–CS mixed beads at constant grafting and mixing conditions (0.3%CS, 40 °C), formulation conditions (3% CaCL2 for 1h at RT) and swelling medium pH 7.4
Effect of chitosan molecular weight
The effect of variation the molecular weight of chitosan (low, medium and high) on the swelling degree of grafted and mixed beads was studied as shown in fig. 6 (a, b). From results, it was observed that the swelling degree increased with increasing chitosan molecular weight of from low to medium and then decreased with high molecular weight of chitosan. This may be attributed to that with increasing molecular weight (from medium to high) the viscosity of the mixture will increase rapidly, then the movement of chains will be very slow and the crosslink density also increase. This leads to reducing the penetration of water molecules into the gel network. On the other hand, at low and medium chitosan molecular weights the swelling degree will increase where the viscosity of the solution will decreased and the gel network will be more flexible. This obviously leads to increasing number of hydrophilic groups, thus increases affinity of water molecules to penetrate in to the beads and swells the macromolecular chains resulting an increasing in the swelling degree.
![]() |
![]() |
6(a) |
6(b) |
Fig. 6: Effect of variation the molecular weight of chitosan on the percentage of swelling degree of (a) CS-g-and (b) ALG–CS mixed beads at constant grafting and mixing conditions (0.3%CS, 40 °C,3h), formulation conditions (3% CaCL2 for 1h at RT) and swelling medium pH 7.4
Effect of calcium chloride (CaCl2) concentration
The effect as given in fig. 7 (a, b) of variation CaCl2 concentration on the swelling degree of CS-g-ALG and ALG–CS mixed beads shows that increase in CaCl2 concentration from the concentration of (1-3%) slightly increases the swelling degree of beads. While above 3% CaCl2 the swelling degree decreased. Also it was observed from results that the swelling degree of grafted beads was higher more than mixed beads. Such results could be attributed to that with increasing CaCl2 concentration beyond 3%, more Ca2+ions diffuse into alginate gel beads resulting in increased degree of ionic cross-linking [28]. Also with increasing CaCl2 concentration beyond 3%, the wall beads thickness increases, and consequently this leads to hindering the penetration of water molecules into the beads. Thus, the swelling degree decreased consequently.
Effect of cross-linking time
The effect of variation the cross-linking time in CaCl2 solution on the swelling degree of both grafted and mixed beads was studied in the range (15-120 min) as shown in fig. 8 (a, b). It was clear from results that the swelling degree increased with increasing of cross-linking time up to 60 min, and then it's slightly decreased with further increasing of time. These observations may be attributed to that increasing time of cross-linking increase the homogeneity of beads and formation of more network structure and this obviously leads to increase the degree of swelling. While the slightly decreasing of swelling degree beyond 60 min of cross-linking may be attributed to that the beads be more tight and hardness, which may be hinder the penetration of water molecules in to the beads and this obviously leads to decreasing degree of the swelling
![]() |
![]() |
7(a) |
7(b) |
Fig. 7: Effect of variation CaCL2 concentration on the percentage of swelling degree of (a) CS-g-and (b) ALG–CS mixed beads at constant grafting and mixing conditions (0.3%CS, 40 °C,3h), formulation conditions (1h at RT) and swelling medium pH 7.4
![]() |
![]() |
8(a) |
8(b) |
Fig. 8: Effect of variation in the cross-linking time on the percentage of swelling degree of (a) CS-g-and (b) ALG–CS mixed beads at constant grafting and mixing conditions (0.3%CS, 40 °C,3h), formulation conditions (3%CaCL2, at RT) and swelling medium pH 7.4
![]() |
![]() |
9(a) |
9(b) |
Fig. 9: Effect of variation in the cross-linking temperature on the percentage of swelling degree of (a) CS-g-and (b) ALG–CS mixed beads at constant grafting and mixing conditions (0.3%CS, 40 °C,3h), formulation conditions (3%CaCL2 for 1h) and swelling medium pH 7.4
Effect of cross-linking temperature
It was clear from results as shown in fig. 9 (a, b) that the swelling degree of both grafted and mixed beads were increased gradually at the first two hours of swelling with increasing temperature of the cross-linking solution. Beyond 2h of swelling; there is no difference of swelling degree values at all different cross-linking temperatures. These observations may be attributed to that increasing temperature of cross-linking accelerate the diffusion of water molecules to network of beads at the initial swelling time (2h), also increases the diffusion of Ca2+from outside into the core of the gelled bead, resulting an increasing in the swelling degree. After 2h of swelling, all beads which prepared at different cross-linking temperatures took the same temperature of the swelling medium (37 °C), and this explains the constancy values of the swelling degree at different cross-linking temperatures. However, at high temperature beyond the studied range (beyond 55 °C) the beads start to loss its mechanical properties and collapsed completely.
Effect of the swelling medium pH
The mechanism of pH-sensitive swelling involves the protonation of amine groups of chitosan under low pHs and deprotonation of carboxyl groups of alginate at high pHs. As we know, both sodium alginate and chitosan are polyelectrolytes, it has been reported that chitosan has a pKa of 6.1–6.5 depending on the degree of deacetylation and its molecular weight [29], and alginate has a pKa around 3.5 depending on the content of M blocks and G blocks [30]. In the present work, the effect of pH of the external solution on the Eq. swelling degree of both grafted and mixed beads was studied in the range (1.0–10) as shown in fig. 10 (a, b). It can be noted that beads contained high concentrations of chitosan were sensitive at low pHs; increasing chitosan concentration promoted the swelling degree of beads, in which chitosan is highly soluble and cationic charged in lower pHs due to conversion of amino groups into soluble form NH3+which induces a higher osmotic pressure for swelling of the network [31]. On the other hand; the swelling degree increased with decreasing CS concentration at high pHs. The polyelectrolyte complexes (grafted and mixed beads) exhibit higher swelling degree at high pH (6.8). The poor solubility of chitosan at high pHs and the low binding with alginate under these conditions leads to decreasing the swelling degree of beads, and then interpretation of the swelling process related to only alginate. As the pH increases from 3.0 to 7.4, the concentration of negatively charged carboxylate groups in the hydrogel increases, thus, the swelling ratio increases due to the ionization of carboxyl groups which leads to chain repulsion. The interaction between alginate and chitosan is known to be pH-dependent and strong complexes are obtained at pH around 4.0–6.0. In the current study, most amino groups in chitosan are protonated whereas most carboxyl groups in alginate are deprotonated at pH ranged from (4.0–6.0). Thus, the electrostatic interaction between NH3+and COO− is strongest as compared with that at pH ranged from (1.2-3.0). However,; the ionization of carboxyl groups causes the swelling of the hydrogel network. When pH increases from 6.0 (around the pKa of chitosan) to 7.4, the ionization of amine groups decreases greatly when, and most amino groups chitosan are deprotonated. As a result the electrostatic interaction between chitosan and alginate become weak, and the electrostatic repulsion between the ionized carboxyl groups in alginate causes the further swelling of the hydrogel network. So the beads micro particles at pH 6.8 have the highest swelling degree. However, when pH increases above 7.4 all beads were not stable and that may be attributed to that the disruption of calcium-alginate gel matrix occurred in phosphate buffer solution with pH above 7.4 due to the chelating action of phosphate ions, the affinity of phosphate for calcium is higher than that of alginate [32], thus largely shrinking occurred for beads.
![]() |
![]() |
10(a) |
10(b) |
Fig. 10: Effect of variation of the swelling medium pH with variation of CS concentration on the percentage of Eq. swelling degree of (a) CS-g-and (b) ALG–CS mixed beads at constant grafting and mixing conditions (0.3%CS, 40 °C,3h), formulation conditions (3%CaCL2 for 1hat RT)
Fig. 11: Effect of gastrointestinal tract conditions on the percentage of Eq. swelling degree of (a) CS-g-ALG and (b) ALG–CS mixed beads at constant grafting and mixing conditions (0.3%CS, 40 °C,3h), formulation conditions (3%CaCL2 for 1hat RT)
Effect of gastrointestinal tract conditions
Fig.11 shows the behavior of the swelling of both polyelectrolyte complexes when immersed in solutions that simulate gastrointestinal tract conditions.
It was clear that the beads did not have any swelling occurs in first 2 h in simulating gastric fluid [SGF pH1.2] when they are transferred into simulating intestinal fluid [SIF pH 6.8], the equilibrium swelling degree increased to 62%, 48% for grafted and mixed beads respectively after 3h from transferring, and reached the maximum value at the first hour (95%, 73% respectively) from transferring into simulating colonic fluid [SCF pH 7.4], and eventually beads tend to shrink with increasing time of swelling up to 3h in pH 7.4 after transferring it into simulating colonic fluid [SCF pH 7.4].
Beyond 6 h from the initial swelling time all beads start to disintegrate. These observations may be attributed to the protonation/deprotonation process of chitosan and alginate at acidic and basic mediums that has been explained above.
CONCLUSION
Alginate–chitosan microcapsules were prepared by two different technologies namely grafting and mixing processes and the swelling behavior of both microcapsules was investigated. The impact of grafting and mixing conditions on the behavior of swelling has been investigated. Also, sensitivity of beads for swelling under different pHs and physiological conditions has explored. It can be concluded that the best eq. swelling degree values for grafted and mixed beads respectively at different pHs with variation of CS concentrations were; at 0.1% CS, the eq. swelling degree (64%, 52%) at pH 7.4, at 0.2 % CS (78.1%, 66%) at pH 7.4, at 0.3 % CS (120%, 100%) at pH 6.8 and lastly at 0.5 % CS (90%, 78%) at pH 5.0. Considering the ease of scale-up, grafting technique may be a good way for large-scale production of alginate–chitosan microcapsuels as a potential system for oral delivery of peptide and protein drugs to different regions of the intestinal tract.
CONFLICT OF INTERESTS
Declared None
REFERENCES