
Amity Institute of Pharmacy, Amity University, Sector 125, Noida 201313, Uttar Pradesh, India
Email: achandra3@amity.edu
Received: 20 Aug 2015 Revised and Accepted: 02 Nov 2015
ABSTRACT
Objective: Green synthesis of silver nanoparticles was attempted with the help of aqueous Vinca rosea leaf extract. The aim of the study was to combine the therapeutic activity of Vinca rosea and the deep tissue penetration capabilities of the silver nanoparticles.
Methods: This study focuses on the green synthesis of silver nanoparticles (AgNPs) using an aqueous extract of Vinca rosea leaves, its characterization, and evaluation of its antibacterial and anticancer activity by diffusion method and MTT assay using human lung carcinoma cell line A549 respectively. The nanoparticles were synthesised by exposing the reaction mixture containing silver nitrate and Vinca leaf aqueous extract to microwave radiation.
Results: The characterization of synthesised nanoparticles was carried out by observing the peaks on scanning from 250 to 800 nm using UV spectroscopy, the end point for the complete formation of nanoparticles marked by a colour change to reddish brown. Dynamic Light Scattering (DLS) which evaluated particle size uniformity and Scanning Electron Microscopy (SEM) which determines the particle size revealed that the nanoparticles were spherical in shape and measured an average of 50.75 nm. 170µg/ml of AgNPs of Vinca leaf aqueous extract should potent anti-bacterial activity tested by agar well diffusion method as well as the cytotoxic activity which was evaluated by MTT assay.
Conclusion: The synthesised nanoparticles were found to be potentially cytotoxic against A549 cell line and also demonstrated anti-bacterial activity. The activity may be attributed to the fact that silver ions are known to impair macromolecules containing sulphur and phosphorus like protein and DNA owing to their small size and high penetration power.
Keywords: Vinca, Anti-cancer, Silver nanoparticles.
© 2016 The Authors. Published by Innovare Academic Sciences Pvt Ltd. This is an open access article under the CC BY license (http://creativecommons.org/licenses/by/4.0/)
INTRODUCTION
Nanoscience has emerged in the past few years as an interdisciplinary science [1] in the fields of sensing [1, 3], imaging [2], targeted drug delivery [4], gene targeting [5], cancer [6] and even artificial implants [10]. Nanoparticles have seen immense interests among researchers [1] due to their distinctive chemical, physical, optical, electronic, magnetic and catalytic properties quiet disparate from the bulk properties [1, 7, 8]. These unique properties can be attributed to their large specific surface area, small size [4], and the surface to volume ratio [1, 9]. However, many of these properties require that the particles apart from being nano-sized should also be uniform and not forming agglomerates [1].
Metal nanoparticles can be prepared using physical approach [1], microbes [7], chemical approach [1, 11], or microwave assisted green synthesis that is by the use of plant extracts [7, 10, 19]. The physical approach is a tedious process [7, 18] utilising methods like evaporation/condensation, thermal decomposition [11, 12] and laser ablation [1, 11, 13] while chemical approach aims at reducing the metal ions into an environmentally safe small metal clusters or aggregates1 using reducing agents like sodium borohydride [1], hydrazine hydrate [11] or ionising radiation1 increasing the price of the manufacturing apart from biological risks [7, 18]. Apart from these, methods such as electrochemical method [11], microwave irradiation [14] and sonochemical synthesis [15] are also used. Microbial synthesis of nanoparticles requires an aseptic condition19 apart from maintaining and culturing of cells making the process time consuming and complex [7, 16, 17]. Thus, in comparison of the above three techniques, using plant extracts as reducing and capping agents for synthesis of metal nanoparticles is more beneficial [7]. Microwave assistance is used so as to suppress enzymatic activity, increase the speed of reaction and keep the procedure eco-friendly [7, 18].
Silver and gold are the most widely used noble metals to prepare nanoscale particles and has gained tremendous importance in the past two decades. In ancient times, silver was used in various clinical conditions like epilepsy, leg ulcers, ulcer debridement, acne, wart removal and venereal infections [10]. Silver foils were applied to surgical wounds to alleviate healing and inhibit post-operative infections [10]. It has also been known for long that silver compounds have antibacterial effects against both aerobic as well as anaerobic bacteria [19]. It has been proved that silver in its nanoscale form as compared to the ionic form has reduced cellular toxicity but retained the antibacterial efficacy probably due to the formation of free radicals from the surface of silver [19] and a large surface to volume ratio [1, 9, 10] which increases reactivity [11], smaller is the size of silver nuclei higher is its efficacy [1, 10]. The application of nanoscale silver has regained its importance due to increased cases of antibiotic resistance by their overuse [11]. The antibacterial activity of AgNPs can not only be used in medicine to prevent infection but also to prevent bacterial colonization on catheters, prostheses, dental materials, vascular grafts and human skin11 by forming a coating on them [19]. The application of AgNPs can thus be classified into diagnostics and therapeutic uses [10].
Synthesis of nanoparticles using plant extract from plant parts like leaves, corns, tubers, buds and bark; is receiving more attention due to the aforementioned benefits [10,19]. The extracts may include phytochemicals like terpenoids, phenol derivatives, quinones, flavonoids, plant enzymes (reductases, hydrogenases) and their derivatives, dihydric phenols which act as reductants in the presence of metal ions [10]. Plant leaf extract of onion [20], Syzygium cumini [21], basil [22], banana peel [23], Saraca indica [7, 10], and Piper nigrum [24] have already been reported to be used in the form of metal nanoparticles of silver and gold [7, 19]. This refreshing technique is merged with the use of medicinal plants to develop an effective system to deliver their therapeutic properties.
The study aimed at incorporating the beneficial effects of both herbal & inorganic metal ion for therapeutic efficacy. Nanoparticles being smaller in size may pose to have reduced adverse effects and also show higher potency compared to the conventional dosage forms. Vinca roseawith its well known traditional properties was a herb of choice to evaluate its antimicrobial properties on bacterial culture and anticancer properties on lung cancer cell lines. Though the anticancer property Vinca leaves have been proven but its efficacy in the form of AgNPs has not been studied yet. This is the first study to report the anticancer and antimicrobial activity of green synthesized silver nanoparticles prepared using Vinca rosea leaves extract.
MATERIALS AND METHODS
Materials
Silver nitrate was purchased from Qualigens, India and Catharanthus roseus leaves obtained from local market. Agar and nutrient broth were purchased from HiMedia, India. The chemicals were used in the state as received. Deionized and distilled water was used for the synthesis of nanoparticles.
Synthesis of silver nanoparticles using aqueous extract of Catharanthus roseus leaves
Vinca leaves were washed with deionized water to remove any impurities, dried in hot air oven at 55 °C for 24 h to remove the moisture and their size reduced in a mixer grinder to be used for all further studies completely. For the production of aqueous extract, 5 g powdered leaves were added to a 500 ml Erlenmeyer flask with 50 ml sterile distilled water and then heated to boiling on a mantle or water-bath for approximately 30 min. Then, the obtained raw extract was filtered in hot condition with Whatman filter paper to remove any fibrous impurities. The clear resultant extract was used for the synthesis of AgNPs. AgNO3 solution (10-3 M) was prepared in sterile distilled water to avoid precipitation of AgCl. For the reduction of Ag+ions, 5 ml aqueous Vinca leaf extract was added to 45 ml of 10−3 M aqueous solution of AgNO3 and the solution mixture was exposed to microwave radiation for 6-7 times for 10-15 seconds at frequency of 2450 MHz and power of 450 W. Periodically, aliquots of the reaction solution were removed and subjected to UV-visible spectroscopy measurements for characterization purpose and as a mark for completion of the reaction by studying plasmon resonance.
Characterization of AgNPs
The progress of silver nanoparticles formation was monitored using UV–visible spectra by employing a UV–visible Shimadzu double beam spectrophotometer operated at a resolution of 1 nm with optical path length of 10 mm and wavelength ranging from 250–800 nm. The time at which the wavelength became constant was considered to be the endpoint for completion of the nanoparticle synthesis. Also, the colour change was observed to access the formation of AgNPs.
Dynamic Light Scattering (DLS) was carried out for freshly prepared as well a week old sample and a size distribution report by intensity was recorded using (DLS, Zeta sizer Nano S90 Malvern, Spectres, England) instrument.
Scanning electron microscopy (SEM) was performed on gold-platinum coated freshly prepared samples that were previously air-dried on silicon wafers and analysis was done using an analytical scanning electron microscope (SEM ZEISS EVO® HD, Germany).
Antimicrobial evaluation
Agar well diffusion method and turbidity method were used to evaluate the bactericidal activity.
Sterile nutrient agar medium was poured into sterile Petri plates and allowed to solidify. The Petri plates were incubated for 24 h at 37 °C to check for sterility. The medium seeded with the organism culture (1 ml) was then added to the plates by pour plate method. Upon solidification, the wells were punched on the medium using a sterile borer. In one set of plates, silver nanoparticles, the extract, 0.1 mg/l streptomycin and silver nitrate solution was loaded while in the other set, 10, 50, 100 and 170 µg/ml of silver nanoparticles were added to the respective bores. The plates were incubated overnight for 24 h at 37 °C and the zone of inhibition observed and measured.
For turbidity method of evaluation, tubes were used and sterilized for control, test and standard samples. The tube for control had only nutrient broth; the standard had 1 ml of bacterial culture and nutrient broth while the test had 1 ml of bacterial culture, nutrient broth and 1 ml silver nanoparticles in one, 1 ml silver nitrate solution in the other and 1 ml extract in the third tube for the test sample. All the tubes were plugged using cotton to avoid contamination and were incubated at 37 °C for 24 h. The extent of turbidity was compared amongst the control, standard and all the tests.
Anticancer activity evaluation
A549 (Human Lung Carcinoma) cell lines were obtained from National centre for cell sciences Pune (NCCS). The cells were maintained in DMEM high glucose without sodium pyruvate supplemented with 10% FBS, penicillin (100 U/ml), and streptomycin (100 µg/ml) in a humidified atmosphere of 5% CO2 at 37 °C.
MTT (3-(4,5 Dimethylthiazol-2-yl)2,5-diphenyltetrazolium bromide) colorimetric assay was performed to determine the cell proliferation and cytotoxicity property of synthesized AgNPs against A549 human lung carcinoma cell lines. Briefly, the cell concentration was adjusted to 1 × 105 cells/ml and the cell lines were seeded in 96-well tissue culture plate. Stock solutions of AgNPs (17 mg/ml) were prepared in sterile distilled water and serially diluted to the required concentrations (10, 5, 1 mg/ml) using the cell culture medium. Appropriate concentrations of Ag-NP solutions (100 µl) were added to the seeded wells in triplicates and incubated for 24 h at 37 °C in a humidified incubator (5% CO2). Non-treated cells were used as control. Incubated cultured cells were then subjected to MTT (5 mg/ml in PBS) which is reduced in metabolically active cells to yield an insoluble purple formazan product. After further 4 h of incubation at 37 °C, the resulting formazan was dissolved in 100 ml of dissolving buffer. Assay plates were read using a spectrophotometer at 570 nm. The spectrophotometrical absorbance of the samples was measured using a microplate (ELISA) reader. The effect of the AgNPs on the proliferation of Human lung cancer cells was expressed as the % cell viability, using the below-stated formula:
RESULTS AND DISCUSSION
Characterization of silver nanoparticles
The reduction of Ag+ions to Ag ° when Vinca rosea aqueous leaf extract was mixed with aqueous solution of 10-3 M silver nitrate solution, was monitored by UV-visible spectrum of the reaction mixture as a function of time in the range of 250-800 nm at regular intervals till a constant wavelength was observed as a mark of completion of reaction. The colour of the mixture was also noticed to have changed to dark brownish black as seen in fig. 1 due to excitation of the surface plasmon in the metal nanoparticles.
Fig. 1: Colour change on formation of AgNPs
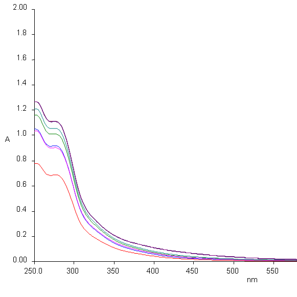
The reduction of metal ions occurred very rapidly, the reaction media behaving with time kinetics and intensity of colour increasing with each microwave exposure. It was observed as from fig. 2 that the peak occurred at around 280 nm and the intensity reaching a constant after 120 seconds. This absorption maximum can be attributed to the phenomenon of scattering [25].
Fig. 2: UV-Vis Spectra of Vinca leaf extract and AgNO3 solution reaction mixture
The DLS analysis was performed to evaluate particle size uniformity for the fresh and one-week old sample which showed that the average particle size was 50.75 nm and 84.54 nm respectively as shown in fig. 3.
Fig. 3: DLS graph showing the size distribution of the nanoparticles for a fresh and a week old sample
SEM was employed to study the surface morphology, shape and the size of the nanoparticles which showed that they were spherical in shape demonstrating an average size ranging from 30-60 nm. The SEM micrograph also depicted the uniform distribution of the nanoparticles in the solution as shown in fig. 4. A similar phenomenon having reported by Chandran et al. [26].
Antibacterial activity of silver nanoparticles
In agar well diffusion method, the zone of inhibition was noted for silver nanoparticles, the extract, 0.1 mg/l streptomycin and silver nitrate solution in one plate bored with 4 wells and, 10, 50, 100 and 170 µg/ml of silver nanoparticles in another similar welled plate as seen in table 1. It can be inferred from the data that while the diameter of the zone of inhibition is increased with increase in the concentration of nanosilver, the diameter of the zone of inhibition increased, only 170 µg/ml concentrations was more potent than the reference 0.1 mg/l of streptomycin and Vinca leaf extract.
Table 1: Antimicrobial activity of silver nanoparticles
Solutions |
Zone of Inhibition (cm) |
Silver Nitrate solution (10-3 M) |
0.5±0.1 |
Vinca rosea leaf extract |
1.0±0.3 |
Streptomycin (0.1 mg/l) |
1.5±0.1 |
Vinca leaf Aq. Extract AgNPs (170 µg/ml) |
1.7±0.1 |
Vinca leaf Aq. Extract AgNPs (100 µg/ml) |
1.4±0.2 |
Vinca leaf Aq. Extract AgNPs (50 µg/ml) |
1.1±0.2 |
Vinca leaf Aq. Extract AgNPs (10 µg/ml) |
0.3±0.3 |
Values are mean±SD for n = 3

Fig. 4: SEM micrograph for the synthesised aqueous Vinca leaf extracts silver nanoparticles
In the turbidimetric method, turbidity was compared for the test sample to the standard having just the presence of bacteria culture and nutrient broth. Turbidity in the standard was more indicating bacterial growth as compared to that of the est sample as the nanoparticles inhibited bacterial growth a seen in fig. 5.
Fig. 5: The left tube which is the standard tube shows more turbidity than the right one having nanoparticles
Effect of silver nanoparticles on tumour cell viability
The effect of AgNPs prepared using an aqueous extract of Vinca leaves was evaluated using the MTT assay. The AgNPs were able to reduce the viability of A549 cells in a dose-dependent manner, as shown in fig. 6. After 3 h hours of incubation, the AgNPs were found to be cytotoxic to the tumour cells at a concentration of 100 µg/ml and higher when to compare to the extract alone demonstrating that the AgNPs mediate a concentration-dependent increase in cytotoxicity. The activity of the prepared nanoparticles was compared to the extract of the Vinca leaves, known to have anticancer properties owing to the alkaloids, vincristine and vinblastine. The plot of % cell viability to concentration revealed AgNPs at a concentration of 100 µg/ml and 170 µg/ml were more potent cytotoxic than 10 µg/ml or 50 µg/ml when compared to the extract alone which was found to be less potent and demonstrated higher percentage cell viability.
Fig. 6: Dose-dependent effect of silver nanoparticles over cell viability using MTT assay. Results are presented in % cell viability compared with control and pure extract. mean±s. d. (n=6)
DISCUSSION
Ag ions and Ag-based compounds are known to have strong biological activities [10, 19]. Potential research is centred on using silver in the form of nanoparticles in cost effective and efficacious anti-cancer formulations. Microwave assisted green synthesis of nanoparticles is one such method due to its ease and speed of preparation. AgNPs of plant extracts like Citrullus colocynthis [27], seaweed Ulva lactuca [28] have already been prepared and their anti-cancer potential evaluated. The two studies had evaluated the nanoparticles by SEM, XRD (X-Ray Diffraction) and TEM (Transmission Electron Microscopy) with the average particle size found to be 7-20 nm and 56 nm respectively compared to 50 nm average particle size seen with Vinca extract AgNPs. Anticancer activity for all the three studies was carried out by MTT assay. Vincristine and vinblastine, active constituents of Vinca are widely used as anticancer agents, the AgNPs of which have yet not been worked upon to evaluate its cytotoxic potential and efficacy in this formulation. This study was thus intended to synthesise homogeneous AgNPs by an eco-friendly and cost effective manner by using the aqueous extract of Vinca leaves, evaluating its antibacterial activity by diffusion method and cytotoxic potential on the human cell line.
Owing to the small size of nanoparticles, they are likely to have a better penetration power in the cells, showing activity at a lower doses. It has been proven that AgNPs impair phosphorus and sulphur containing macromolecules like DNA and protein apart from its ionic form having anti-proliferative activity and hence the cytotoxic effect can be attributed to the interference in the functioning of the cellular proteins. [28] Studies carried out by Zolghadri et al. and Morones et al. have demonstrated that AgNPs cause transitions of alpha helices to beta sheets leading to unfolding of the cellular protein and interact with the thiol rich enzymes affecting the normal functioning of the protein. [29, 30]
The results of the study show great potential as it suggests that by using non-toxic amount of silver salt, AgNPs prepared using aqueous Vinca leaf extract can be synthesized with potential anti-cancer and antibacterial property. However, its detailed mechanism of action, the formation of stable formulation and application at a larger scale needs to be further studied.
CONCLUSION
Microwave assisted green synthesis of silver nanoparticles using an aqueous extract of Vinca leaves is a simple, fast and efficient methodology known till date. The method employed produces particles well distributed in nano size range as confirmed by UV-vis spectroscopy, SEM and DLS. The AgNPs so obtained demonstrated potential antibacterial activity and anticancer activity on A549 (Human Lung Carcinoma) cell line. However, the detailed mechanism of action of how nanoparticles interact with cells needs to be further understood.
CONFLICTS OF INTERESTS
All authors have none to declare
REFERENCES