
1Bhagwant University, Ajmer, Rajasthan, India, 2Tatyasaheb Kore College of Pharmacy, Warananagar 416113, Maharashtra, India, 3Department of Pharmacognosy, KLE’S College of Pharmacy and Dr. Prabhakar Kore Basic Science Research Centre, KLE University, Belgaum-10, Karnataka, India
Email: mc_mahanthesh@rediffmail.com
Received: 20 Aug 2015 Revised and Accepted: 20 Jun 2016
ABSTRACT
Objective: To investigate the pharmacognostical characteristics and in vivo anticonvulsant activity of chloroform, ethanol (90%) and aqueous extracts of Abutilon indicum Linn sweet stem.
Methods: The Abutilon indicum Linn sweet stem were successively extracted using chloroform, ethanol and aqueous solvent (water). The extracts were screened for phytochemicals using HPTLC and GC-MS techniques. The extracts were also screened for acute toxicity and anticonvulsant activity, against MES and PTZ induced convulsions, using Wistar albino rats.
Results: The phytochemical screening study reveals the presence of more chemical constituents in chloroform extract followed by ethanol and aqueous extract. We found no significant changes in average body weight of animals, up to tested oral dose of 3000 mg/kg, during acute toxicity study. The in vivo study reveals the anticonvulsant activity of chloroform and ethanol extract against MES and PTZ induced convulsions. The chloroform extract is found to be more potent, similar to Phenytoin, in controlling both MES and PTZ induced convulsions than ethanol and aqueous extracts.
Conclusion: The results obtained suggest that the chloroform extract of Abutilon indicum stem has remarkable anticonvulsant activity. Also, our study indicates the potential application of Abutilon indicum stems in the treatment of convulsive disorders as a need of modern health science. However, the further studies are needed to screen the active constituent having an anticonvulsant effect.
Keywords: HPTLC, GCMS, Acute toxicity, Anticonvulsant activity, Atibala
© 2016 The Authors. Published by Innovare Academic Sciences Pvt Ltd. This is an open access article under the CC BY license (http://creativecommons.org/licenses/by/4.0/)
INTRODUCTION
History of medicine is a fascinating subject as it is a legend of man’s struggle against disease, and as the disease pattern changes, the medical science also changes. Ayurveda is the system of medicine that evolved in India with a foundation, and it has survived as a distinct entity from remote antiquity to the present day. The origin of Ayurveda is attributed to Atharva Veda where mention is made several diseases with their treatments. Later, from the six to seventh Century (BC to AD) there was the systematic development of the science and it is called Samhita period when a number of classical works were produced by several authors and during this period there is evidence of organized medical care [1]. Almost 1 in 5 adults in the United States report taking an herbal product, written records of the use of herbal medicine date back more than 5,000 y and in fact, for most of history, herbal medicine was the only medicine. Even as recently as 1890, 59% of the listings in the US Pharmacopeia were from herbal products and it has been estimated that as many as one-third to one-half of currently used drugs were originally derived from plants [2].
The herbal drugs global, national and pharmaceutical market was worth US $550 billion in2004 and is expected to exceed US $900 billion by the year2009. Due to harmful side effects of synthetic drugs, high prices, people rely more on herbal drugs and this trend is growing, not only in developing countries but in developed countries too. In India, around 25,000 effective plant-based formulations are used in traditional and folk medicine. More than 1.5 million practitioners are using the traditional medicinal system for health care in India. It is estimated that more than 7800 manufacturing units are involved in the production of natural health products and traditional plant-based formulations in India, which requires more than 2000 Tons of a medicinal plant raw material annually was reported [3]. The biotechnology-driven applications play an important role. The current focus on chemotype-driven fingerprinting and related techniques requires integration with genotype-driven molecular techniques. Types of DNA-based markers used in plant genome analysis are utilized to evaluate DNA polymorphism. These are hybridization-based methods; polymerase chain reaction (PCR) based methods and sequencing-based methods were studied [4].
Epilepsy is a group of disorders of the CNS Characterized by paroxysmal cerebral dysrhythmia, Manifesting as brief episodes (seizures) of loss or disturbance of consciousness, with or without characteristic body movements (convulsions), Sensory or psychiatric phenomena. It has a focal origin in the brain, manifestations depend on the site of the focus, regions into which the discharges spread and postictal depression of these regions. Recognized from the dawn of history as a disease of lightning [5].

Fig. 1: Abutilon indicum sweet [6]
Botanical name: Abutilon indicum (Linn) Sweet
Synonym: Abutilon Asiatic, Sida guineensis, Schumach
Family: Malvaceae
English: Country mallow, Flowering Maples, Chinese Bell–flowers
Hindi: Kangahi
Kannada: Ghani
Malayalam: Atibala, KanKatika
Sanskrit: Tutta
Tamil: Tutt; Thuththi; Peruntutti
Telugu: Tutiri-chettu; Thuteribenda
It is found in hotter parts of India as a weed in the sub-Himalayan tract and other hills up to 1.200M, the use of the root in gout, polyuria and hemorrhagic disease, the drug exhibits immunological activity was reported [7]. Abutilon indicum is a perennial shrub, softly tomentose and up to 3 m in height. The leaves are evergreen, Base-cordate, stipulate, filiform, ovate, acuminate, toothed, rarely sub trilobate and 1.9-2.5 cm long. Petiole 1.5-1.70 cm long, cylindrical, yellowish in colour, stellate and hairy. The flowers are yellow in color; peduncle jointed above the middle. The petioles are 3.8-7.5 cm long; stipules 9 mm long; pedicels often 2.5-5 mm long, axillary solitary, jointed very near to top and the seeds are 3-5 mm, kidney shaped, reniform, tubercled or minutely stellate hairy, black or dark brown. It is used as anthelmintic, antiemetic, anti-inflammatory, in urinary or uterine discharge, piles, and antidote. It is used in the treatment of fever, dry cough; bronchitis, gonorrhea and leprosy were reported [8].
Root is demulcent, diuretic, nervine tonic, fever, and arthritis. Leaves are used in bleeding piles, diuretic, demulcent and toothache. Flowers are applied in boils and ulcers. Seeds are expectorant, aphrodisiac, laxative, gonorrhea. The bark is astringent and diuretic, decoction of leaves is used as an eye-wash and mouthwash in a toothache [9]. The pharmacological studies carried out by several human resources indicate that Abutilon indicum possesses bronchial asthma [10]. A toothache, jaundice, diabetes, fever, piles, ulcers, cystitis, diarrhea, hepatoprotective, male contraceptive and the analgesic effect was reported [11]. Larvicidal, pupal deformities [12], Immunostimulating [13] and In vitro anti-arthritic activity was premeditated [14]. Cytotoxic and antimicrobial activity was reported [15]. It also reported Hepatotoxicity [16] and Anti-anxiety [17]. Seed powder on genital organs and fertility of female was reported [18].
The literature survey reveals the use of Abutilon indicum plant in the traditional system of medicines to treat convulsions [19] However, the anticonvulsant activity of Abutilon indicum stem has not been scientifically investigated. The present study was undertaken to investigate the phytochemicals and anticonvulsant activity of stem extract and to elucidate the role of this plant stem in different convulsive seizers.
MATERIALS AND METHODS
Collection and authentification of plant material
In the present study, the stem of Abutilon indicum (Linn) Sweet was collected from waste place surrounding the area of modala vittalapura, Shimoga (District), Karnataka. The whole plant was authenticated from botanist Dr. S. R. Yadav, Head of the Department, Department of botany Shivaji University, Kolhapur, Maharashtra, India. (University TKCP/SU/BOT/164/2011). After authentification, the entire stems were dried at room temperature, until they were free from the moisture and subjected to physical evaluation with different parameters.
Physicochemical constant study
Physicochemical parameters of powder drug such as total ash, water-soluble ash, acid insoluble ash values and the moisture content, by loss on drying method, were determined [20]. Pet ether, chloroform, ethanol, and water soluble extractive values were determined to find out the amount of Pet ether, chloroform, ethanol and water soluble components [19]. Fluorescence Analysis of the Drug was also performed [21].
Macroscopic and microscopic examination
Macroscopic studies were done using a simple microscope. The color, shape, size, taste and odour of the stem were determined. The microscopic study was carried out by preparing of thin hand section (transverse section) of the stem. The section was cleared with chloral hydrate and stained with concentrated hydrochloric acid and phloroglucinol. The powdered drug was separately treated with staining reagents to identification lignified elements, calcium oxalate crystals [22].
Preparation of extracts
Selection of solvent: the solvent for extraction was selected on the basis of solubility studies; firstly the Phytochemical testing of powder was carried out. On the basis chemical moieties reported in the literature and Phytochemical testing, solvents of polarity and non-polarity ends were selected for extraction. Extraction was carried out in water, ethanol, chloroform and petroleum ether. The shade-dried stem of Abutilon indicum (Linn), Sweet, were subjected to size reduction to get course powder and then passed through sieve no. 40 to get uniform powder. Around 300 gms of powdered drug were placed in a porous bag or “thimble” made of strong filter paper, which is placed in the chamber of the Soxhlet apparatus. The extracting solvent in the flask is heated, and its vapors condense in the condenser. The condensed extractant drips into the thimble containing the drug and extracts it by contact. When the level of liquid in the chamber rises to the top of siphon tube, the liquid contents of chamber siphon into the flask. This process is continuous with petroleum ether, chloroform, and ethanol. Finally, the drug was macerated with chloroform-water. Each time before extracting with the next solvent the powdered material was air dried in hot air oven below 50 °C. After the effective extraction, the solvents were redistilled, the extract was then concentrated on a water bath and the extract obtained with each solvent was weighed. Its percentage was calculated in terms of air-dried weight of plant material. The colour and consistency of the extracts was noted in table 2
Phytochemical screening
The presence of various phytoconstituents viz alkaloids, carbohydrates, glycosides, flavonoids, triterpenoids, phenolic, steroids, amino acids, fat and fixed oil, saponins, and proteins were determined using suitable chemical test [23].
TLC analysis
Each of the aforesaid three extracts was, to begin with, checked by Thin-layer Chromatography (TLC) on analytical plates over silica gel (TLC-grade; Merck India). For each extract, four different solvent systems were used as developing systems. These were CE-EA: FA: GAA: W, 100:11:11:26, CE-C: A: FA, 75:16.5:8.5, CE-B: P: FA, 72:18:10 and CE-nB: GAA: W, 40:10:50. The aforesaid solvent systems were also used for ethanol extract and aqueous extract (AqE). The standard abbreviations used are CE= chloroform extract, ethanol extract, and AqE= aqueous extract. EA= ethyl acetate, W= water. C=chloroform, A= acetone, B=benzene, P = pyridine, FA= formic acid, nB= n-butenol and GAA=glacial acetic acid. In each case, the spots were visualized by exposure of the plates to iodine vapour. The TLC of various stem extract of Abutilon indicum is shown in fig. 4. The plate was developed in respective mobile phase 80 % and sprayed with respective spraying reagent [24].
FT-IR analysis
The IR spectra of chloroform, alcoholic and aqueous extract of Abutilon indicum stem were scanned on FT-IR Agilent-630 over the frequency range from 4000-650 cm-1. The spectra were plotted against Wave number cm-1 Vs Transmittance (%) [25].
HPTLC fingerprinting
CAMAG HPTLC system equipped with Linomat 5 applicator. TLC scanner 3 repro star 3 with 12 bit CCD camera for photo documentation controlled by WinCAT-4 software was used. All solvents used for HPTLC analysis were obtained from MERK. A total of 100 mg extract was dissolved in 5 ml of methanol and used for HPTLC analysis as tests solution. The samples (10 µl) were spotted in the bands of with 8 mm with a Camag micro liter syringe on precoated silica gel glass plate 60F-254. The sample loaded plate was kept in TLC twin trough developing chamber (after saturated with solvent vapor) with respective mobile phase and the plate was developed up to 83 mm in the respective mobile phase. The chloroform extract Ethyl acetate: formic acid: glacial acetic acid: water (3: 5: 8), for ethanol-benzene: pyridine: formic acid (10:15:20) and aqueous Ethylacetate: formic acid: glacial acetic acid: water (3:5:8) was employed as a mobile phase.
The linear ascending development was carried out in 20 cm x 10 cm twin trough glass chamber saturated with the mobile phase and the chromatoplate development with the same mobile phase to get good resolution of phytochemical contents. The optimized chamber saturation time for mobile phase was 30 min at room temperature. The developed plate was dried by hot air to evaporate solvents from the plate. The plate was photo documented at UV366 nm and white light using photo documentation chamber. Finally, the plate was fixed in scanner stage, and scanning was done at 366 nm. The plates were kept in photo documentation chamber and captured the images under white light, UV light at 254 and 366 nm. Densitometric scanning was performed on Camag TLC scanner III and operated by CATS software (V 4.63, Camag) [26].
GC-MS analysis
GC-MS analysis of these extracts performed with Shimadzu system and Gas chromatograph interfaced to a Mass spectrometer (GC-MS-2010) equipped with an Elite-1 fused silica capillary column (RTZ i 5ms 30 mm x 0.25 mm 1D). For GC-MS detection, and electron ionization system with the ionizing energy of 70 eV was used. Helium gas (99.999%) was used as the carrier gas at constant flow rate of 1 ml/min and an injection volume of 2 µl was employed (Split ratio of 50:50); Injector temperature 250 °C; ion source temperature 250 °C.
The oven temperature was programmed from 80 °C (isothermal for 3 min) with an increase of 10 °C/min, to 280 °C, then 10 °C/min to 280 °C, ending with a 10 min isothermal at 280 °C. Mass spectra were taken at 70 eV, a scan interval of 0.5 seconds and fragments from 40 to 550 Da. Total GC running time was 33 min. The relative % amount of each component was calculated by comparing its average peak area to the total areas; software adopted to handle mass spectra, and chromatograms was a turbo mass. Shimadzu GC-2010, MS-2010. Interpretation on mass spectrum of GC-MS was done using the database of National Institute of Standard and Technology (NIST) having more than 62,000 patterns. The mass spectrum of the unknown component was compared with the spectrum of the known components stored in the NIST library. The name, molecular weight, and structure of the components of the test materials were ascertained
Acute toxicity study
The experimental protocol was approved by the Institutional Animal Ethics Committee of Tatyasaheb Kore College of Pharmacy, Warananagar, (Maharashtra), India (Ref. No. IAE/TKCP/2012/11, date: 21/12/2012) and animals were maintained under standard conditions in the animal house approved by Committee for the Purpose of Control and Supervision on Experiments on Animals (CPCSEA).
The acute toxicity of the extract was determined by the method of Reed and Meunch [27], on Wistar albino rats. 35 Wistar albino rats of either sex, weighing 185-210g, were divided into 7 groups, each containing five animals. The rats were fasted for 18 h, with water and libitum. The animals were administered with a solution of the chloroform extract of Abutilon indicum stem in distilled water and Tween 20 mixture. The aqueous solutions of extracts containing 2% Tween 20 were administered to rats orally. The dose was administered by gavage using a stomach tube. Group 1 was kept as untreated control. Group 2, 3, 4, 5 and 6 were administered orally with a dose of 250, 500, 1000, 2000 and 3000 mg/kg body weight respectively; Group 7 was given 2% Tween 20 in distilled water and kept as vehicle control. The number of animals dead in each group, after 72 h of administration of the drug was recorded and results were tabulated [28].
Anticonvulsant activity
Anticonvulsant activity was screened against MES and PTZ induced convulsions on a group of six albino rats of either sex. The activity was compared with standard Phenytoin [29].
1. Animals were weighed, numbered and divided into five groups each consisting 6 rats. One group was used as control (Saline treated) and the other as the reference standard (Phenytoin treated).
2. Animal were placed with ear clip electrode and electric current of 150mA was applied for 0.2 sec and noted the different stages of convulsions, i.e. a) tonic flexion, b) tonic extensor, c) clonic convulsion d) stupor and e) recovery or death. Also recorded the time (in sec) spent by the animal in each phase of convulsions. Repeated the same for other animals of the control group.
3. The animals were injected with Phenytoin intraperitoneally (25 mg/kg i. p) and after 30 min the animals were subjected to electro convulsions as described in step two.
4. Noted the reduction in time or abolition of tonic extensor phase of MES convulsions.
5. The CE, ethanol, and AqE of Abutilon indicum stem were dissolved in water containing 2% Tween-20. And the steps from 2 to 4 were repeated to determine the anticonvulsant activity of CE, ethanol, and AqE of Abutilon indicum stem with group 3, 4 and 5, respectively.
6. The extracts were tested at a dose of 200 mg/kg orally and the results are tabulated.
1. Animals were weighed, numbered and divided into five groups each consisting 6 rats. Group one was used as control (pentylenetetrazol treated; 80 mg/kg and the group 2 was used for studying the protective effect of diazepam (at a dose of 4 mg/kg).
2. The control group animals were injected with pentylenetetrazol (80 mg/kg) intraperitoneally and noted the onset of action (indicated by Straub's tail, jerky movements of the whole body and convulsions) and severity of convulsion.
3. The second group animals were first injected with diazepam intraperitoneally and after 30 min, the pentylenetetrazol was injected to the same animals and noted either delay or complete abolition of convulsions.
4. The CE, ethanol, and AqE of Abutilon indicum stem were dissolved in water containing 2% Tween-20, and the step 2 and 3 were repeated to determine the anticonvulsant activity, of CE, ethanol, and AqE of Abutilon indicum stem, with group 3, 4 and 5, respectively.
5. The extracts were tested at a dose of 200 mg/kg orally, and the results are tabulated.
RESULTS and discussion
The physicochemical characteristics of Abutilon indicum stem
In table 1 and table 2.
Microscopy and macroscopic examination
The transverse section of stem shows the following characteristic features epidermis is single layered, quadrangular cells. Cortex is many layers of thin walled cellulosic parenchyma. Pericyclic fibers, pith, are thin walled, lignified big polygonal parenchyma with intercellular space. The vascular bundles are composed of xylem and phloem cells were shown in fig. 2
The powder was characterized by its morphological features as colour: yellowish, odour: odourles and taste: sweet to characteristic in nature. The dried fine powder was stained with chloral hydrate to detect the presence of calcium oxalate crystals. They were prismatic in nature when stained with phloroglucinol and conc HCl. Vascular bundles, lignified fibers were observed. With glycerin mounting trichomes were observed fig. 3.
Table 1: Physicochemical analysis of Abutilon indicum stem
| S. No. | Parameters | Literature | Observation |
| 1. | Physical tests | ||
| Nature | Coarse powder | Coarse powder | |
| Color | Yellowish color | Yellowish color | |
| Odour | Odourless | Odourless | |
| Taste | Sweet | Sweet | |
| 2. | Extractive value | ||
| Chloroform | - | 2.420% | |
| Alcoholic | - | 3.202% | |
| Aqueous | - | 3.411% | |
| 3. | Loss on drying | 3.310 % | |
| 4. | Ash values | ||
| Total ash | - | 2.57% w/w | |
| Acid insoluble ash | - | 1.60% w/w | |
| Water soluble ash | - | 1.30 w/w | |
| Fluorescence analysis | - | Dark Fluorescence |
Table 2: Percentage yield of Abutilon indicum stem
| S. No. | Extract | Nature of extract | Weight (g) | % Yield w/w |
| 1 | Chloroform (300 gm) | Semisolid viscous | 2.432 | 1.712 |
| 2 | Ethanol (300 gm) | Semisolid viscous | 3.140 | 2.101 |
| 3 | Aqueous (300 gm) | Semisolid viscous | 5.430 | 3.301 |

Fig. 2: T. S. of Abutilon indicum stem

Fig. 3: Powder characteristic of Abutilon indicum stem
Phytochemical screening
The preliminary phytochemical analysis revealed the presence of glycosides, flavonoids, triterpenoids, carbohydrates, steroids, phenolic compounds, saponins, amino acids and proteins shown in table 3.
TLC analysis
The CE, ethanol and AqE of Abutilon indicum stem were subjected to TLC analysis in order to identify the phytochemicals. The TLC of CE, ethanol and AqE of Abutilon indicum stem are shown in fig. 4. The fig. clearly depicts very predominant spots for CE as compared to ethanol. Also, no tailing was observed.
However, no spot was observed with CE in nB: EA: GAA solvent system. The less intense spots, as compared to CE, were observed with ethanol in all four solvent systems. In case of AqE we found no spots with solvent systems. The TLC profiling of plant extracts in different solvent system reveals the presence of a diverse group of phytochemicals in CE and ethanol as compared to AqE [23].

Fig. 4: TLC of chloroform extract (A), ethanol extract (B) and aqueous extract(C) of Abutilon indicum stem
FT-IR analysis
The IR spectroscopy is one of the analytical techniques which offer the possibility of chemical identification. It is an excellent method for the qualitative analysis because except optical isomers, the spectrum of the compound is unique. After absorption of IR radiations, the molecules vibrate and give absorption spectrum.
The IR spectrum of chloroform, ethanol and aqueous extract of Abutilon indicum stem are shown in the fig. 5. The absorption peaks corresponding to different functional groups of phytochemicals present in the CE, ethanol and AqE are shown in table 4.
Table 3: Results of qualitative chemical investigation of Abutilon indicum stem
| Phytochemical name | Solvents name |
| Pet. Ether | |
| Alkaloids | - |
| Carbohydrates | - |
| Glycosides | - |
| Flavonoids, | - |
| Triterpinoids | - |
| Tannins & Phenolic comp | - |
| Steroids | + |
| Proteins | - |
| Amino Acids | - |
| Saponin | + |
+: present,-: absent

Fig. 5: Interpretation of IR of (A) chloroform, (B) ethanol and aqueous extracts of Abutilon indicum
Table 4: Observed functional groups of (A) chloroform (B) ethanol and (C) aqueous extracts of Abutilon indicum stem
Chloroform extracts (A) |
|
Wave length (cm-1) |
Interpretation |
2924.60 |
C-H Alkane stretching vibration band |
2855.45 |
C-H Alkane stretching vibration band |
1711.74 |
C=O Aldehyde stretching vibration band |
1459.92 |
C=C Aromatic bending vibration band |
1378.07 |
C-H stretching vibration band |
1274.02 |
C-O Alcohol stretching vibration band |
1186.37 |
C-O Ketone vibration band |
1081.17 |
C-O Alcohols stretching vibration band |
967.62 |
C=O Alcohols bending vibration band |
Ethanol extracts (B) |
|
3361.15 |
C-C Amines stretching vibration band |
1626.80 |
C=C Aromatic Ketone stretching vibration band |
1400.21 |
C-H Alkane bending vibration band |
1339.84 |
C-O Alcohols bending vibration band |
1239.33 |
C-H Alkane stretching vibration band |
1044.57 |
C-O Alcohols stretching vibration band |
Aqueous extracts (C) |
|
3352.82 |
NH Amines stretching vibration band |
3262.46 |
C=O Carbonyl Compound |
2940.92 |
C-H Alkanes stretching vibration band |
2120.45 |
C= C Alkenes stretching vibration band |
1593.90 |
C-H alkenes stretching vibration band |
1398.38 |
C-H Alkanes stretching vibration band |
1030.11 |
C-H Alkenes stretching vibration |
HPTLC analysis
HPTLC technique is most simple and fastest separation technique available today which gives better precision and accuracy with extreme flexibility for various steps. The HPTLC fingerprinting of CE, ethanol and AqE are shown in fig. 6A, 6B and 6C respectively. The results showing number of peaks, maximum Rf value, maximum height and total % area are given in table 4. The fig. 6A, 6B and 6C clearly indicate that all samples constituents are clearly separated without any tailed and diffuseness. It is evident from fig. 6 that the ethanol shows more number of peaks (22 peaks) as compared to CE (4 peaks) and AqE (8 peaks).
The CE shows 4 peaks and the maximum percentage area covered is by peak 1 (Rf value 0.96) (fig. 6A). The ethanol shows 22 peaks and the maximum percentage area covered is by peak 11, 12, 13, 14, 15, 16, 17, 18, 19, 20, 21 and 22 (Rf value 0.32, 0.41, 0.45, 0.48, 0.55, 0.67, 0.74, 0.75,0.78, 0.89, 0.91 and 0.96 respectively) (fig. 6B).

Fig. 6: HPTLC-spectral analysis of (A) chloroform, (B) ethanol and (C) aqueous extracts of Abutilon indicum stem
The AqE shows 8 peaks and the maximum percentage area covered is by peak 2, 3, 4 and 7 (Rf value 0.10, 0.17, 0.24 and 0.68 respectively). The HPTLC results clearly reveal that the more number of phytochemicals are present predominantly in the alcoholic extract as compared to chloroform and aqueous extracts the other components present in the extracts are found to be less predominant and found in less concentration. From the HPTLC study it is very clear that the CE, ethanol and AqE extract containing not only a single compound but a mixture of compounds shown in table 5.
Table 5: HPTLC-spectral analysis of chloroform ethanol and aqueous extracts of Abutilon indicum stem
| Samples | Peak | Rf | Max Height | Max % | Area | Area % | Assigned substances |
| Chloroform | 1 | 0.01 | 54.5 | 8.56 | 1305.5 | 7.25 | Unknown |
| 2 | 0.05 | 49.2 | 7.73 | 1236.1 | 6.87 | Unknown | |
| 3 | 0.36 | 44.1 | 6.92 | 637.6 | 3.54 | Unknown | |
| 4 | 0.96 | 488.8 | 76.79 | 14825.9 | 82.34 | Unknown | |
| Ethanol | 1 | 0.02 | 17.7 | 0.77 | 131.2 | 0.30 | Unknown |
| 2 | 0.00 | 32.5 | 1.41 | 437.7 | 0.99 | Unknown | |
| 3 | 0.03 | 55.8 | 2.43 | 573.1 | 1.30 | Unknown | |
| 4 | 0.05 | 67.3 | 2.93 | 1388.8 | 3.15 | Unknown | |
| 5 | 0.07 | 70.5 | 3.07 | 837.4 | 1.90 | Unknown | |
| 6 | 0.09 | 66.1 | 2.86 | 617.8 | 1.40 | Unknown | |
| 7 | 0.13 | 71.2 | 3.10 | 1419.2 | 3.21 | Unknown | |
| 8 | 0.18 | 51.5 | 2.24 | 655.1 | 1.48 | Unknown | |
| 9 | 0.18 | 60.3 | 2.62 | 706.8 | 1.60 | Unknown | |
| 10 | 0.23 | 79.4 | 3.48 | 1261.8 | 2.88 | Unknown | |
| 11 | 0.32 | 175.1 | 7.52 | 8070.8 | 13.75 | Unknown | |
| 12 | 0.41 | 184.2 | 8.02 | 3819.7 | 8.85 | Unknown | |
| 13 | 0.45 | 173.7 | 7.56 | 3165.4 | 7.17 | Unknown | |
| 14 | 0.48 | 179.0 | 7.79 | 3366.0 | 7.62 | Unknown | |
| 15 | 0.55 | 175.1 | 7.63 | 4295.0 | 9.73 | Unknown | |
| 16 | 0.67 | 159.3 | 6.94 | 3646.8 | 8.26 | Unknown | |
| 17 | 0.74 | 149.4 | 6.51 | 2273.0 | 5.15 | Unknown | |
| 18 | 0.75 | 144.1 | 6.27 | 2194.3 | 4.97 | Unknown | |
| 19 | 0.78 | 138.3 | 6.02 | 2476.5 | 5.61 | Unknown | |
| 20 | 0.89 | 105.4 | 4.59 | 1297.7 | 2.94 | Unknown | |
| 21 | 0.91 | 99.3 | 4.33 | 3173.4 | 7.19 | Unknown | |
| 22 | 0.96 | 41.5 | 1.81 | 352.0 | 0.80 | Unknown | |
| Aqueous | 1 | 0.01 | 107.9 | 14.13 | 13.96 | 3.94 | Unknown |
| 2 | 0.10 | 227.4 | 29.78 | 12309.0 | 34.72 | Unknown | |
| 3 | 0.17 | 108.5 | 14.21 | 4144.1 | 11.69 | Unknown | |
| 4 | 0.24 | 90.6 | 11.87 | 5800.2 | 16.36 | Unknown | |
| 5 | 0.37 | 74.1 | 9.71 | 5593.4 | 15.78 | Unknown | |
| 6 | 0.54 | 58.5 | 7.66 | 2865.9 | 8.08 | Unknown | |
| 7 | 0.68 | 76.5 | 10.02 | 2841.4 | 8.02 | Unknown | |
| 8 | 0.78 | 20.0 | 2.62 | 499.4 | 1.41 | Unknown |
GC-MS analysis

A

B

C
Fig. 7: GC-MS Analysis of (A) Chloroform (B) Ethanol and (C) Aqueous extracts of Abutilon indicum stem

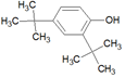
Fig. 8: MS of Phenol, 2, 4 bis (1,1dimethylethyl) Phenol: C14H22O; MW: 206

Fig. 9: MS of 1, 2-Benzenedicarboxylic acid: C16H22O4; MW: 278

Fig. 10: MS of Phthalic acid butyl ester: C18H24O6:336

Fig. 11: MS of 1, 2, 4-trimethoy-5-(1-propenyl) benzene: C12H16O3; MW: 208

Fig. 12: MS of 3-Benzofuran methanol: C20H22O6; MW: 358

Fig. 13: MS of asarone: C12H16O3; MW: 208
GC-MS is a hyphenated system which is a very compatible technique and the most commonly used technique for the identification and quantification purpose. The unknown organic compounds in a complex mixture can be determined by interpretation and also by matching the spectra with reference spectra [30].
Thus, GCMS analysis is the first step towards understanding the nature of active principles of the medicinal plant and this type of study will be helpful for further detailed study. In the present study, we analyzed the CE and ethanol of Abutilon indicum stem using GC-MS in order to identify the number and type of phytochemicals present in them. The components present in CE and AE of Abutilon indicum stem were identified by GC-MS analysis (fig. 7). The name of phytochemicals with their retention time (RT), peak area, % peak area, molecular formula, molecular weight and chemical structure are shown in Table6. The result clearly reveals the presence of total of 22 and 8 compounds in CE and ethanol respectively.
CE-1-Heneicosylformate (18.60%), ethanol-1,2,4-trimethoxy 5(1-propenyl) benzene (36.43%) was found as major components followed by CE-tridecanoic acid (8.18%), heptadecane (8.04%),1,2,benzene dicarboxylic acid (7.39%),1-pentadecanol (7.20%), hexadecanoic acid (6.20%), phenol 2,4 bis(1,1dimethyl-ethyl)phenol(5.20%), hexadecane (4.90%), dibutyl malate(4.16%), 9-octadeconoic acid(4.14%), 1-octadecene(3.96%), 1-nonadecene (3.39%), heneicoane(3.23%), 1-octadecane(2.39%) and docosane (1.62%). AE-9, ethoxy 10 oxa tri cycol dodecane 11-one (23.58%), asarone (19.27%), phenol (13.96%) and phosphonic acid (p-hydroxyphenyl)(6.76%), respectively.
However, RT, peak area and % peak area were not obtained for AqE components during the GC-MS analysis. The fig. 8,9,10,11,12 and 13 shows the mass spectrum and structure of 2,4, bis (1-dimethyl) phenol, 1,2, benzene dicarboxylic acid, phthalic acid butyl ester, 1,2,4, tri methoxy 5-(1-propenyl) benzene, 3-benzofuron methanol and asarone.
The GC-MS analysis study concludes the presence of more components in CE as compared to ethanol and AqE, fig 8, 9,10,11,12 and 13.
Table 6: GC-MS investigation of chloroform extracts of Abutilon indicum stem
| S. No. | Compound name | R. time | Peak area | % Peak area | Structure |
| (A)Chloroform extracts of Abutilon indicum | |||||
| 1 | Phenol, 2, 4 bis(1,1dimethylethyl) Phenol: C14H22O; MW: 206 | 16.011 | 967298 | 5.20 | ![]() |
| 2 | 1-Nonadecene: C19H38; MW: 266 | 16.904 | 629970 | 3.39 | ![]() |
| 3 | 1-Octadecene: C18H36; MW: 252 | 16.984 | 735259 | 3.96 | ![]() |
| 4 | 1-Pentadecanol: C15H32O; MW: 228 | 19.191 | 133798 | 7.20 | ![]() |
| 5 | Heptadecane: C17H36; MW: 240 | 19.257 | 149448 | 8.04 | ![]() |
| 6 | Octadecane: C18H38; MW: 254 | 20.175 | 753681 | 4.06 | ![]() |
| 7 | Heneicosane: C21H44; MW: 296 | 20.584 | 601138 | 3.23 | ![]() |
| 8 | 1-Octadecane: C18H38O; MW: 270 | 20.813 | 443330 | 2.39 | ![]() |
| 9 | Hexadecane: C16H34; MW: 226 | 20.934 | 909865 | 4.90 | ![]() |
| 10 | Docosane: C22H46; MW: 310 | 21.135 | 300783 | 1.62 | ![]() |
| 11 | 1, 2-Benzenedicarboxylic acid: C16H22O4; MW: 278 | 21.252 | 137409 | 7.39 | ![]() |
| 12 | Phthalic acid butyl ester: C18H24O6:336 | 21.307 | 136505 | 7.35 | ![]() |
| 13 | Hexadecanoic acid: C17H34O2; MW: 270 | 23.126 | 115280 | 6.20 | ![]() |
| 14 | 9-Octadecanoic acid C21H34O2; MW: 354 | 23.169 | 768866 | 4.14 | ![]() |
| 15 | Tridecanoic acid: C13H26O2; MW: 214 | 24.872 | 152048 | 8.18 | ![]() |
| 16 | Dibutylphthalate: C16H22O4; MW: 278 | 25.315 | 772268 | 4.16 | ![]() |
| 17 | 1-Heneicosyl formate: C22H44O2; MW: 340 | 26.511 | 345673 | 18.60 | ![]() |
| 18 | Tetracosane: C24H50; MW: 338 | ![]() |
|||
| 19 | 1-Eicosanol: C20H42O; MW: 298 | ![]() |
|||
| 20 | Bacteriochlorophyll-c-stearyl: C52H72; MW: 840 | ![]() |
|||
| 21 | Naphthalene: C16H12;MW: 204 | ![]() |
|||
| 22 | Pyrene: C16H10;MW: 202 | ![]() |
|||
| (B) Ethanol extract of Abutilon indicum | |||||
| 1 | Phosphonic acid(P-hydroxyphenyl): C6H7O4; MW: 174 | 7.894 | 685319 | 6.76 | |
| 2 | Phenol: C6H6O; MW94 | ![]() |
|||
| 3 | 1, 2, 4-trimethoy-5-(1-propenyl) benzene: C12H16O3; MW: 208 | 18.911 | 369336 | 36.43 | ![]() |
| 4 | Asarone: C12H16O3; MW: 208 | 20.932 | 195305 | 19.27 | ![]() |
| 5 | 9-Ethoxy-10-oxatricycol dodecan-11-one: C13H20O3; MW: 224 | 21.535 | 239063 | 23.58 | ![]() |
| 6 | 3-Benzofuranmethanol: C20H22O6; MW: 358 | ![]() |
|||
| 7 | Hexadecanoic acid: C16H32O2; MW: 256 | ![]() |
|||
| 8 | Pentadecanoic acid: C17H34O2; MW: 270 | ![]() |
Toxicity study of Abutilon indicum
The results of acute toxicity study of CE, ethanol, and AqE of Abutilon indicum stem are shown in table 7. No mortality was observed, at the tested dose up to 3000 mg/kg, during the study and this indicates that the LD50 of the extracts was found to be more than 3000 mg/kg by the oral route. Also, we found, no significant changes in the body weight of animals after 72 h of dose administration indicating the extracts were nontoxic at the tested dose up to 300 mg/kg.
The similar results were observed with ethanol and AqE of Abutilon indicum stem.
Table 7: Acute toxicity studies of chloroform, ethanol and aqueous extracts of Abutilon indicum stem
| Group | Avg, weight of animals | Dose mg/kg | Death after | No. of survived animals | Avg, weight of animals |
| 24 h | 48 h | 72 h | |||
| I (Control) | 190.03±3.00 | - | - | - | - |
| II | 194.69±4.28 | 250 | - | - | - |
| III | 193.66±4.35 | 500 | - | - | - |
| IV | 195.32±4.75 | 1000 | - | - | - |
| V | 190.558±5.11 | 2000 | - | - | - |
| VI | 193.04±3.30 | 3000 | - | - | - |
| VII (Vehicle) | 192.17±5.17 | Vehicle |
*Note: The animals were reused, after 10 d of washing period, to perform toxicity study of alcoholic and aqueous extracts of Abutilon indicum stem
Anticonvulsant activity
For inducing convulsion by electroshock, a rectangular pulse current of high voltage 150mA is employed. The electroshock was given to each rat for 0.2 seconds with the help of convulsion meter through pinna electrodes. Drug likely to be effective in grandmal epilepsy usually confers protection against electrically induced convulsion in animals. Group 1 received saline, Group 2 received Phenytoin (25 mg/kg) and group 3, 4, and 5 received 200 mg/kg body weight of CE, ethanol and AqE of Abutilon indicum stem, respectively. The results are tabulated in table 8.
The Phenytoin, CE treated groups exhibited a significant reduction in various phases of epileptic seizure in comparison with the control group (p<0.05). The ethanol treated group exhibited significant control over clonus and stupor phases whereas AqE treated group exhibited significant control over stupor phase (p<0.05) when compared to untreated control group. The CE treated group showed control, similar to standard Phenytoin treated group, over flexion, extensor and clonus phases. However, this group fails to show control, similar to standard Phenytoin treated group, over stupor phase. The ethanol and AqE treated group’s fails to show significant control over all phases of epileptic seizure when compared to Phenytoin treated group. However, the ethanol treated group showed control over clonus phase similar to standard Phenytoin treated group. From the results, we can conclude that the CE of Abutilon indicum stem showed anticonvulsant activity against MES induced convulsions similar to standard Phenytoin whereas ethanol and AqE fail to show anticonvulsant activity.
The anticonvulsant activity of CE, ethanol and AqE of Abutilon indicum stem is also tested against PTZ induced convulsions (table 8 and fig. 8A & 8B). The clonic seizures were induced in rats by intraperitoneal injection of 80 mg/kg body weight PTZ. The latency to the onset of clonic convulsions in non-protected rat and lethality during the following 24 h was recorded and compared with standard and extract treated groups to assess the anticonvulsant activity. Group 1 received diazepam (4 mg/kg) intraperitoneally, as a reference standard, 30 min before PTZ. The animals were observed for onset of convulsion up to 30 min after PTZ administration and later up to 24 h. The latency (onset of clonus), the onset of tonic convulsions, and the status of animals were recorded table 9.
The Phenytoin and extract treated groups showed significant anticonvulsant activity when compared to untreated control group (P<0.05). The CE of Abutilon indicum stem showed anticonvulsant activity similar to Phenytoin.
We observed no convulsions and mortality with CE treated group as like with Phenytoin treated group. The ethanol and AqE Abutilon indicum stem fails to control PTZ induced seizures when compared to standard phenytoin and CE. However, they delayed the onset of PTZ induced convulsions. Also, during the study, no mortality was observed with ethanol and AqE treated group.
Table 8: The effect of MES induced convulsions of Abutilon indicum stem
| Drug | Dose mg/kg b. w |
Route of administration |
Time (sec) in various phases of convulsions (Mean+SEM) | Recovery/ Death |
| Flexion | Extensor | |||
| Control (Saline) | Oral | 5.167±0.945* | 6.167±0.9458*** | |
| Standard Phenytoin | 25 | Intra peritoneal (i. p) |
3.167±0.7923 | 0.0±0.000 |
| Chloroform | 200 | Oral | 0.0±0.000 | 0.0±0.000 |
| Ethanol | 200 | Oral | 3.167±0.8724* | 3.333±0.5578* |
| Aqueous | 200 | Oral | 4.167±0.9458* | 6.000±1.065 *** |
Data analysed using one-way ANOVA followed by Dunnet’s test. Values are mean±SEM, N=6 ***p<0.05, compared with std group.
Table 9: The effect of PTZ Indused convulsions of Abutilon indicum stem
| Drug | Dose mg/kg b. w |
Route of administration | Onset of convulsions (sec.±SEM) | Mortality % |
| Onset | No. of animal survived | |||
| Control PTZ | 80 | Intra peritoneal (i. p) | 60.83±9.971*** | 0/6 |
| Standard Diazepam+PTZ | 4+80 | Intra peritoneal (i. p) | 0.0±0.000 | 6/6 |
| Chloroform | 200 | Oral | 0.0±0.000 | 6/6 |
| Ethanol | 200 | Oral | 161.5±8.011*** | 6/6 |
| Aqueous | 200 | Oral | 190.0±4.980*** | 6/6 |
Data analysed using one-way ANOVA followed by Dunnet’s test. Values are mean±SEM, N=6 ***p<0.05, compared with std group.
GABA is the primary inhibitory neurotransmitter in central nervous system (CNS). Diminution of brain GABA level has been reported after PTZ and sub-convulsive dose of PTZ. Many plants having anticonvulsant activity are known to inhibit GABA transaminase activity thereby increasing brain contents of GABA. The MES test predicts activity against generalized tonic-clonic and cortical focal seizures and the PTZ test against absence seizures.
On observation and reference to reported data from Phytochemical tests it was clear that, CE, ethanol and AqE extracts of Abutilon indicum stem showed the presence of glycosides, flavonoids, alkaloids, triterpenoids, carbohydrates, steroids, phenolic compounds, saponins, amino acids and proteins have been implicated various pharmacological actions on central nervous system(CNS) including anticonvulsant activity. The anticonvulsant activity may be due to the presence of glycosides, flavonoids and sterols in the extracts. From the results, we can conclude that the CE of Abutilon indicum stem possesses anticonvulsant activity against MES and PTZ induced convulsions. The CE of Abutilon indicum stem is found more potent in showing anticonvulsant activity than ethanol and AqE. Further studies are required to find and isolate active principles and determine the mechanism of their anticonvulsant action. Also, our study suggests the application of Abutilon indicum stem in the treatment of convulsive disorders as a need of modern health science.
The phytochemical screening of the extract revealed the presence of alkaloids, carbohydrates, glycosides, flavonoids, triterpinoids, phenolic, steroids and proteins. The CE, ethanol and AqE of Abutilon indicum stem neither induced lethality nor mortality in rats when administered orally at doses less than 8 g/kg. Based on the result of toxicity studies in experimental animals, acute exposure of the extract could be said to be relatively safe, because according to Clarke and Clarke [31].
Calcium channel blockers are used as an effective agent in various disorders of the cardiovascular system such as angina, hypertension and arrhythmias were reported [32] and also Influx of calcium through calcium channels on the cell membrane takes place in many tissues which may lead in treating many pathological conditions where calcium channels involve. Calcium ions play a central role in the control of neuronal excitability [33, 34]. Abnormalities in calcium related processes or calcium ion channels may be related to the hyperexcitability of neuronal and seizure activity [35-38] any plant extract with estimated LD50 greater than or equal to 1 g/kg per oral route should be considered safe in experimental animals.
Epilepsy is characterized by recurrent episodes of seizures. A seizure is due to abnormal discharge of some neurons in the brain. Antiepileptic drugs may have a stabilizing influence on the neuronal membrane; prevent detonation of normal brain cells by the focal discharge, these drugs act only on those neurons which are repeatedly firing. The results of the present study indicate that chloroform and alcoholic extract of the Abutilon indicum stem possess anticonvulsant activity in rats. GABA is the major inhibitory neurotransmitter in the brain while glutamic acid is an excitatory neurotransmitter in the brain.
The inhibition of GABA neurotransmitter and the enhancement of the action of glutamic acid have been shown to be the underlying factors in epilepsy [39, 40]. Our study shows that the chloroform and alcoholic extract of the Abutilon indicum stem protected most of the animals against seizures induced by maximal electroshock, PTZ, and also delayed the latency of the seizures.
In the present study, maximal electroshock produced seizures in all the animals used. Antiepileptic drugs that block MES-induced tonic extension are known to act by blocking seizure spread. Moreover, drugs that inhibit voltage-dependent Na+channels, such as phenytoin can prevent MES-induced tonic extension [41, 42]. Diazepam had anticonvulsant effect on both PTZ-induced seizures and maximal electroshock-induced seizures, in which diazepam effect on the former (100% protection) is better than the latter (50% protection). This is consistent with the report that benzodiazepine (BDZ) agonists such as diazepam, clonazepam, etc, are more potent in the prevention of PTZ induced seizures than in that of MES-induced tonic seizures [43].
Pentylenetetrazole induced seizures in all the rats used. PTZ may elicit seizures by inhibiting gabaergic mechanisms [44]. Pentylenetetrazole may also trigger a variety of biochemical processes including the activation of the membrane phospholipase, proteases and nucleases. Alteration in membrane phospholipids metabolism cause liberation of free fatty acids, diacylglycerols, eicosanoids, lipid peroxidase and free radicals [45]
Standard antiepileptic drugs, diazepam and phenobarbitone, are believed to produce their effects by enhancing GABA mediated inhibition in the brain [46]. It is, therefore, possible that the anticonvulsant effects shown in this study by the CA and ethanol of Abutilon indicum stem against seizures produced by PTZ might be due to the activation of GABA neurotransmission. Since the extract similarly antagonized seizures elicited by pentylenetetrazole in rats, it is probable, therefore, that it may also be exerting its anticonvulsant effects by affecting gabaergic mechanisms.
The phytochemical screening of the extract revealed the presence of alkaloids, carbohydrates, glycosides, flavonoids, triterpenoids, phenolic, steroids and proteins. Based on the present state of knowledge of the chemical constituents of the extract, it is not possible to attribute with certainty its anticonvulsant effect to one or several active principles among those detected in the screening. However, triterpenic steroids and triterpenoidal saponins are reported to possess anticonvulsant activity in some experimental seizure models such as MES and PTZ [46, 47]. Some alkaloids, monoterpenes, flavonoids also have protective effects against PTZ, induced convulsions [48-51].
CONCLUSION
Herbal remedies have been recommended in various medical treatises for the cure of different disease. It can be concluded from the study that the anticonvulsant effect of the chloroform extract of Abutilon indicum stem may be via non-specific mechanisms. However, extensive studies are needed to evaluate the precise mechanism(s), active principles, and the safety profile of the plant as a medicinal remedy for convulsive disorders.
ACKNOWLEDGMENT
Authors are thankful to Mr. G. D. Patil, Secretary, Shree Warana Vibhag Shikshan Mandal, and Principal, Tatyasaheb Kore College of Pharmacy, Warananagar for their continuous support in carrying out this project.
CONFLICT OF INTERESTS
Declared none
REFERENCES
How to cite this article