
1Pharmaceutical Chemistry Department, Faculty of Pharmacy, Al-Azhar University (Girls), Cairo, Egypt, 2Drug Bioassay-Cell Culture Laboratory, Pharmacognosy Department, National Research Center Dokki, Giza, Egypt,3Department of Molecular Biology, National Research Center, Dokki, Giza Egypt
Email: emy28_s@hotmail.com
Received: 21 Aug 2015 Revised and Accepted: 05 Oct 2015
ABSTRACT
Objective:The present work aimed to synthesize some new substituted thiazoles incorporated to pyrazole moiety starting from 1-(3-chlorophenyl)-3-(4-methoxyphenyl)-1H-pyrazole-4-carboxaldehyde (1) in order to evaluate their anticancer activity and GSTP1 inhibition in a trail to explore new potential GST inhibitors and prevent the resistance of cells to anticancer drugs. In addition, investigate the probability of the most promising cytotoxic compounds to inhibit GSTP1 enzyme via molecular docking study.
Methods:The carboxaldehyde 1 was treated with substituted thiosemicarbazide in absolute ethanol to give the corresponding thiosemicarbazone derivatives 2a–d. Cyclization of 2a-d either by ethyl bromoacetate, phenacyl bromide or maleic acid anhydride furnished new thiazole derivatives 3, 4 and 5, respectively. These target compound 2-5 were screened for their GSTP1 inhibition and cytotoxic activity against HEPG-2 (human liver carcinoma), A549 (human lung carcinoma) and PC3 (human prostate carcinoma). Finally, molecular docking study of the most promising cytotoxic compounds against GSTP1 (PDB ID: 3GUS) is discussed.
Results:Compounds 4a, 4b, and 4d were found to be highly active against HEPG-2 and PC-3 cancer cell lines with IC50 values ranging from 0.2±0.81 to 9.3±2.08 μM compared to doxorubicin with IC50= 37.8±1.50 and 41.1±2.01 μM, respectively. Screening of 4a, 4b and 4d against GSTP1 showed higher inhibition activity with IC50 ranging from 1.5±0.18 to 4.3±0.29 μM. Docking studies revealed the promising binding affinities of the latter compounds which match with the binding mode of the ligand, NBDHEX toward the active site of GSTP1.
Conclusion: Compounds 4a, 4b and 4d were distinguished by the higher anticancer activity against HEPG-2, A-549 and PC-3 cell lines of tumor and the remarkable inhibitory activity against GSTP1.
Keywords:Anticancer, Pyrazole, GSTP1, Molecular modeling.
© 2016 The Authors. Published by Innovare Academic Sciences Pvt Ltd. This is an open access article under the CC BY license (http://creativecommons.org/licenses/by/4.0/)
INTRODUCTION
Glutathione transferases (GSTs) are a family of Phase II detoxification enzymes that catalyze the conjugation of glutathione (GSH) to a wide range of endogenous and exogenous electrophilic compounds to generate less toxic and more water soluble products easily to be eliminated. The glutathione S-transferase P1 (GSTP1) is considered as isoenzyme of the GST superfamily, which is over expressed in a variety of different human malignancies (particularly ovarian, non-small cell lung, breast, liver, pancreas, colon, and lymphomas), and it is over expressed in drug resistant tumors [1, 2]. Furthermore, in some cases, GSTP1 over expression has been linked to acquire multidrug resistance to chemotherapeutic agents by directly conjugating to chemotherapeutics [3-5]. Therefore, it appears to be important to find new GST inhibitors to prevent the resistance of cells to anticancer drugs [6, 7]. On the other hand, pyrazole and thiazole derivatives are reported to show anti-cancer activity against different types of carcinoma cell lines [8, 9]. Based on the previous observations, the present work aimed to synthesize some new heterocyclic systems incorporated to pyrazole and thiazole moieties starting from 1-(3-chlorophenyl)-3-(4-methoxyphenyl)-1H-pyrazole-4-carboxaldehyde (1) [10] and evaluate their cytotoxic activity against HEPG-2, A-549 and PC-3 cell lines of tumor. The inhibitory activities of these compounds were screened against GSTP1, followed by molecular modeling studies to display the promising binding affinities of the most potent compounds with respect to binding mode of the ligand, NBDHEX (fig. 1) toward the active site of GSTP1.
MATERIALS AND METHODS
General
Melting points were determined on the digital melting point apparatus (Electrothermal 9100, Electrothermal Engineering Ltd, serial no. 8694, Rochford, United Kingdom) and are uncorrected. The micro analytical data were achieved on a Perkin-Elmer 2400 analyzer (Perkin-Elmer, 940 Winter Street, Waltham, Massachusetts 02451, USA) and were found within 0.4 % of the theoretical values. IR spectra were recorded on a Perkin-Elmer 1600 Fourier Transform Infrared Spectrophotometer (Perkin-Elmer). The NMR spectra were recorded on a Bruker Avance digital spectrometer (BRUKER, Germany) in DMSO-d6, and chemical shifts (δ) are reported in ppm units relative to the standard tetramethylsilane (TMS). Mass spectra (EI) were recorded at 70 eV with JEOL-JMS-AX500 mass spectrometer (JEOL Ltd. 1-2, Musashino 3-chome Akishima, Tokyo 196-8558, Japan). The chemicals and solvents were of commercial grad and used without further purification. 1-(3-Chlorophenyl)-3-(4-methoxyphenyl)-1H-pyrazole-4-carboxaldehyde (1) was prepared as reported [10].
Fig. 1: NBDHEX
Synthesis
Synthesis of compounds 2a-d
A mixture of aldehyde 1 (6.25 g, 0.02 mol) and substituted thiosemicarbazide namely, cyclohexyl-thiosemicarbazide, phenyl-thiosemicarbazide. 4-fluorophenylthiosemi-carbazide or 4-methoxy-phenylthiosemicarbazide (0.002 mol) in 30 ml absolute ethanol containing a few drops of concentrated hydrochloric acid was refluxed for 3 h. The formed precipitate was filtered, dried and recrystallized from absolute ethanol to give the title compounds 2a-d.
1-((1-(3-Chlorophenyl)-3-(4-methoxyphenyl)-1H-pyrazol-4-yl)methylene)-4-cyclohexylthiosemicarbazide (2a)
Yield: 88 %; MP: 247-249 °C; IR (KBr): 3431, 3334 (2 NH), 1593 (C=N); 1H NMR (500 MHz, DMSO-d6): δ 1.02–1.70 (m, 10H, cyclohexyl ring), 1.90 (m, 1H, cyclohexyl ring), 3.83 (s, 3H, OCH3), 7.00–8.65 (m, 8H, Ar-H), 8.20 (1H, s, CH=N), 9.07 (s, 1H, NH exchangeable with D2O), 9.20 (s, 1H, CH of pyrazole ring), 11.35 ppm (s, 1H, NH exchangeable with D2O); MS m/z (%): 469 (0.4, M++2), 467 (1, M+), 200 (100); Anal. C24H26ClN5OS (467.5): Calcd: C, 61.59; H, 5.60; N, 14.96; Found: C, 61.42; H, 5.77; N, 14.88.
1-((1-(3-Chlorophenyl)-3-(4-methoxyphenyl)-1H-pyrazol-4-yl)methylene)-4-phenylthiosemicarbazide (2b)
Yield: 85 %; MP: 160-162°C; IR (KBr): 3441, 3318 (2 NH), 1597 (C=N); 1H NMR (500 MHz, DMSO-d6): δ 3.81 (s, 3H, OCH3), 7.07–7.97 (m, 13H, Ar-H), 8.31 (1H, s, CH=N), 9.24 (s, 1H, CH of pyrazole ring), 9.75, 11.76 ppm (2s, 2H, 2NH exchangeable with D2O); MS m/z (%): 463 (11, M++2), 461 (29, M+), 133 (100); Anal. C24H20ClN5OS (461.5): Calcd: C, 62.40; H, 4.36; N, 15.16; Found: C, 62.51; H, 4.22; N, 15.00.
1-((1-(3-Chlorophenyl)-3-(4-methoxyphenyl)-1H-pyrazol-4-yl)methylene)-4-(4-fluorophenyl) thiosemicarbazide (2c)
Yield: 80 %; MP: 263-265 °C; IR (KBr): 3436, 3318 (2 NH), 1597 (C=N);1H NMR (500 MHz, DMSO-d6): δ 3.81 (s, 3H, OCH3), 7.06–7.96 (m, 12H, Ar-H), 8.31 (1H, s, CH=N), 9.23 (s, 1H, CH of pyrazole ring), 9.78, 11.78 ppm (2s, 2H, 2NH exchangeable with D2O);13C NMR (125.7 MHz, DMSO-d6): δ 55.71 (OCH3), 114.67-161.37 (Ar-C), 140.60 (CH=N), 176.13 ppm (C=S); MS m/z (%): 481(0.4, M++2), 479 (1.4, M+), 155 (100); Anal. C24H19ClFN5OS (479.5): Calcd: C, 60.06; H, 3.99; N, 14.59; Found: C, 60.02; H, 3.77; N, 14.88.
1-((1-(3-Chlorophenyl)-3-(4-methoxyphenyl)-1H-pyrazol-4-yl)methylene)-4-(4-methoxyphenyl) thiosemicarbazide (2d)
Yield: 87 %; MP: >300°C; IR (KBr): 3429, 3302 (2 NH), 1596 (C=N); 1H NMR (500 MHz, DMSO-d6): δ 3.77, 3.84 (2s, 6H, 2OCH3), 6.84–8.96 (m, 12H, Ar-H), 8.29 (1H, s, CH=N), 9.21 (s, 1H, CH of pyrazole ring), 9.66, 11.67 ppm (2s, 2H, 2NH exchangeable with D2O); MS m/z (%): 493 (2, M++2), 491 (5, M+), 111 (100); Anal. C25H22ClN5O2S (491.5): Calcd: C, 61.03; H, 4.51; N, 14.23; Found: C, 61.24; H, 4.77; N, 14.36.
Synthesis of compounds 3a-d
A mixture of compound 2a-d (0.002 mol) and ethyl bromoacetate (0.23 ml, 0.002 mol) in 15 ml absolute ethanol containing few drops of piperidine was refluxed for 3 h. The solid precipitate was filtered, dried and recrystallized from absolute ethanol to give the compounds 3a-d.
2-(((1-(3-Chlorophenyl)-3-(4-methoxyphenyl)-1H-pyrazol-4-yl)methylene)hydrazino)-3-cyclohexylthiazolidin-4-one (3a)
Yield: 82 %; MP: 210-212 °C; IR (KBr): 1719 (C=O), 1599 (C=N); 1H NMR (500 MHz, DMSO-d6): δ 1.24–1.64 (m, 10H, cyclohexyl ring), 2.27 (m, 1H, cyclohexyl ring), 3.84 (s, 3H, OCH3), 3.92 (s, 2H, thiazolidinone ring), 7.05–8.65 (m, 8H, Ar-H), 8.14 (1H, s, CH=N), 9.21 (s, 1H, CH of pyrazole ring); MS m/z (%): 509 (0.9, M++2), 507 (2, M+), 309 (100); Anal. C26H26ClN5O2S (507.5): Calcd: C, 61.47; H, 5.16; N, 13.79; Found: C, 61.42; H, 5.37; N, 13.88.
2-(((1-(3-Chlorophenyl)-3-(4-methoxyphenyl)-1H-pyrazol-4-yl)methylene)hydrazino)-3-phenylthiazolidin-4-one (3b)
Yield: 79 %; MP: 189-191°C; IR (KBr): 1716 (C=O), 1612 (C=N); 1H NMR (500 MHz, DMSO-d6): δ 3.79 (s, 3H, OCH3), 4.09 (s, 2H, thiazolidinone ring), 7.02–8.03 (m, 13H, Ar-H), 8.22 (1H, s, CH=N), 8.92 (s, 1H, CH of pyrazole ring);13C NMR (125.7 MHz, DMSO-d6): δ 55.67 (OCH3), 114.41-160.13 (Ar-C and thiazolidinone-C), 140.48 (CH=N), 172.47 ppm (C=O); MS m/z (%): 503 (11, M++2), 501 (25, M+), 77 (100); Anal. C26H20ClN5O2S (501.5): Calcd: C, 62.21; H, 4.02; N, 13.95; Found: C, 62.11; H, 4.25; N, 14.13.
2-(((1-(3-Chlorophenyl)-3-(4-methoxyphenyl)-1H-pyrazol-4-yl)methylene)hydrazino)-3-(4-fluorophenyl) thiazolidin-4-one (3c)
Yield: 84 %; MP: 230-232 °C; IR (KBr): 1723 (C=O), 1614 (C=N); 1H NMR (500 MHz, DMSO-d6): δ 3.81 (s, 3H, OCH3), 4.09 (s, 2H, thiazolidinone ring), 7.03–8.08 (m, 12H, Ar-H), 8.24 (1H, s, CH=N), 8.98 (s, 1H, CH of pyrazole ring);MS m/z (%): 493 (3.3, M++2), 519 (9, M+), 111 (100); Anal. C26H19ClFN5O2S (519.5): Calcd: C, 60.06; H, 3.68; N, 13.47; Found: C, 60.15; H, 3.85; N, 13.20.
1-((1-(3-Chlorophenyl)-3-(4-methoxyphenyl)-1H-pyrazol-4-yl)methylene)-2-(3-(4-methoxyphenyl)-4-oxothiazolidin-2-ylidinene) hydrazine (3d)
Yield: 80 %; MP: 278-280°C; IR (KBr): 1712 (C=O), 1615 (C=N); 1H NMR (500 MHz, DMSO-d6): δ 3.80, 3.84 (2s, 6H, 2OCH3), 4.08 (s, 2H, thiazolidinone ring), 7.02–8.08 (m, 13H, Ar-H), 8.23 (1H, s, CH=N), 8.98 (s, 1H, CH of pyrazole ring);MS m/z (%): 533 (0.9, M++2), 531 (4.5, M+), 133 (100); Anal. C27H22ClN5O3S (531.5): Calcd: C, 60.96; H, 4.17; N, 13.16; Found: C, 61.15; H, 4.02; N, 13.35.
Synthesis of compounds 4a-d
A mixture of compound 2a-d (0.002 mol) and maleic anhydride (0.2 g, 0.002 mol) in 15 ml glacial acetic acid was refluxed for 10 h. The formed precipitate was filtered, dried and recrystallized from acetic acid to give the compounds 4a-d.2-(2-(((1-(3-Chlorophenyl)-3-(4-methoxyphenyl)-1H-pyrazol-4-yl) methylene) hydrazono)-4-oxo-3-cyclohexylthiazolidin-5-yl) acetic acid (4a)
Yield: 64 %; MP: 292-294 °C; IR (KBr): 3425 (OH), 1714, 1679 (2 C=O), 1607 (C=N); 1H NMR (500 MHz, DMSO-d6): δ 1.05–1.91 (m, 10H, cyclohexyl ring), 2.26 (m, 1H, cyclohexyl ring), 3.01-3.34 (m, 2H, CH2COOH), 3.82 (s, 3H, OCH3), 4.30 (m, 1H, oxothiazolidine ring), 7.03–8.45 (m, 8H, Ar-H), 8.10 (1H, s, CH=N), 9.36 (s, 1H, CH of pyrazole ring), 12.59 (s, 1H, COOH exchangeable with D2O);MS m/z (%): 567 (0.5, M++2), 565 (1.4, M+), 309 (100); Anal. C28H28ClN5O4S (565.5): Calcd: C, 59.41; H, 4.99; N, 12.37; Found: C, 59.32; H, 5.22; N, 12.14.
2-(2-(((1-(3-Chlorophenyl)-3-(4-methoxyphenyl)-1H-pyrazol-4-yl)methylene) hydrazono)-4-oxo-3-phenylthiazolidin-5-yl) acetic acid (4b)
Yield: 67 %; MP: 234-236°C; IR (KBr): 3434 (OH), 1725, 1679 (2 C=O), 1604 (C=N);1H NMR (500 MHz, DMSO-d6): δ 3.11-3.32 (m, 2H, CH2COOH), 3.82 (s, 3H, OCH3), 4.34 (m, 1H, oxothiazolidine ring), 7.02–8.98 (m, 13H, Ar-H), 8.18 (1H, s, CH=N), 9.37 (s, 1H, CH of pyrazole ring), 12.79 (s, 1H, COOH exchangeable with D2O);13C NMR (125.7 MHz, DMSO-d6): δ 39.54 (CH2COOH), 55.64 (OCH3), 114.03-160.60 (Ar-C and oxothiazolidine-C), 140.55 (CH=N), 174.29, 184.99 ppm (2 C=O); MS m/z (%): 561 (1, M++2), 559 (3, M+), 111 (100); Anal. C28H22ClN5O4S (559.5): Calcd: C, 60.05; H, 3.96;; N, 12.51; Found: C, 60.17; H, 4.23; N, 12.26.
2-(2-(((1-(3-Chlorophenyl)-3-(4-methoxyphenyl)-1H-pyrazol-4-yl)methylene) hydrazono)-4-oxo-3-(4-fluorophenyl) thiazo-lidin-5-yl) acetic acid (4c)
Yield: 62 %; MP: >300 °C; IR (KBr): 3432 (OH), 1720, 1673 (2 C=O), 1605 (C=N); 1H NMR (500 MHz, DMSO-d6): δ 3.12-3.31 (m, 2H, CH2COOH), 3.82 (s, 3H, OCH3), 4.33 (m, 1H, oxothiazolidine ring), 7.02–8.98 (m, 12H, Ar-H), 8.23 (1H, s, CH=N), 9.37 (s, 1H, CH of pyrazole ring), 12.78 (s, 1H, COOH exchangeable with D2O);MS m/z (%): 577 (0.1, M+), 111 (100); Anal. C28H21ClFN5O4S (577.5): Calcd: C, 58.18; H, 3.66; N, 12.12; Found: C, 58.37; H, 3.45; N, 12.00.
2-(2-(((1-(3-Chlorophenyl)-3-(4-methoxyphenyl)-1H-pyrazol-4-yl) methylene) hydrazono)-4-oxo-3-(4-methoxyphenyl) thiazo-lidin-5-yl) acetic acid (4d)
Yield: 69 %; MP: 255-257°C; IR (KBr): 3424 (OH), 1718, 1676 (2 C=O), 1610 (C=N); 1H NMR (500 MHz, DMSO-d6): δ 3.11-3.31 (m, 2H, CH2COOH), 3.81, 3.83 (2s, 6H, 2 OCH3), 4.35 (m, 1H, oxothiazolidine ring), 7.02–8.98 (m, 13H, Ar-H), 8.18 (1H, s, CH=N), 9.38 (s, 1H, CH of pyrazole ring), 12.77 (s, 1H, COOH exchangeable with D2O);MS m/z (%): 589 (0.2, M+), 265 (100); Anal. C29H24ClN5O5S (589.5): Calcd: C, 59.03; H, 4.10; N, 11.87; Found: C, 58.94; H, 4.32; N, 11.68.
Synthesis of compounds 5a-d
A mixture of compound 2a-d (0.002 mol) and phenacyl bromide (0.4 g, 0.002 mol) in 15 ml absolute ethanol containing a few drops of piperidine was refluxed for 10 h. The formed precipitate was filtered, dried and recrystallized from chloroform to give the compounds 5a-d.
1-((1-(3-Chlorophenyl)-3-(4-methoxyphenyl)-1H-pyrazol-4-yl)methylene)-2-(3-cyclohexyl-4-phenylthiazol-2(3H)-ylidene) hydrazine (5a)
Yield: 85 %; MP: 185-187 °C; IR (KBr): 1594 (C=N); 1H NMR (500 MHz, DMSO-d6): δ 1.03–1.90 (m, 10H, cyclohexyl ring), 2.28 (m, 1H, cyclohexyl ring), 3.84 (s, 3H, OCH3), 7.09–8.66 (m, 14H, Ar-H and thiazole ring), 8.14 (1H, s, CH=N), 9.21 (s, 1H, CH of pyrazole ring);MS m/z (%): 569 (3.4, M++2), 567 (1, M+), 44 (100); Anal. C32H30ClN5OS (567.5): Calcd: C, 67.65; H, 5.32; N, 12.33; Found: C, 67.48; H, 5.27; N, 12.17.
1-((1-(3-Chlorophenyl)-3-(4-methoxyphenyl)-1H-pyrazol-4-yl)methylene)-2-(3,4-diphenylthiazol-2(3H)-ylidene)hydrazine (5b)
Yield: 82 %; MP: 203-205°C; IR (KBr): 1594 (C=N); 1H NMR (500 MHz, DMSO-d6): δ 3.84 (s, 3H, OCH3), 7.10–8.66 (m, 19H, Ar-H and thiazole ring), 8.14 (1H, s, CH=N), 9.21 (s, 1H, CH of pyrazole ring); MS m/z (%): 563 (0.7, M++2), 561 (1.6, M+), 310 (100); Anal. C32H24ClN5OS (561.5): Calcd: C, 68.38; H, 4.30; N, 12.46; Found: C, 68.41; H, 4.62; N, 12.23.
1-((1-(3-Chlorophenyl)-3-(4-methoxyphenyl)-1H-pyrazol-4-yl) methylene)-2-(3-(4-fluorophenyl)-4-phenylthiazol-2(3H)-ylidene) hydrazine (5c)
Yield: 88 %; MP: 238-240 °C; IR (KBr): 1597 (C=N); 1H NMR (500 MHz, DMSO-d6): δ 3.81 (s, 3H, OCH3), 7.06–8.30 (m, 18H, Ar-H and thiazole ring), 7.99 (1H, s, CH=N), 9.23 (s, 1H, CH of pyrazole ring); MS m/z (%): 581 (0.2, M++2), 579 (0.8, M+), 299 (100); Anal. C32H23ClFN5OS (579.5): Calcd: C, 66.26; H, 4.00; N, 12.07; Found: C, 66.50; H, 3.92; N, 12.34.
1-((1-(3-Chlorophenyl)-3-(4-methoxyphenyl)-1H-pyrazol-4-yl)methylene)-2-(3-(4-methoxyphenyl)-4-phenylthiazol-2(3H)-ylidene) hydrazine (5d)
Yield: 79 %; MP: 285-287°C; IR (KBr): 1596 (C=N); 1H NMR (500 MHz, DMSO-d6): δ 3.79, 3.82 (2s, 6H, 2 OCH3), 6.87–8.63 (m, 17H, Ar-H and thiazole ring), 8.10 (1H, s, CH=N), 9.20 (s, 1H, CH of pyrazole ring);13C NMR (125.7 MHz, DMSO-d6): δ 55.65, 55.72 (2 OCH3), 113.77-160.18 (Ar-C and thiazole-C), 140.62 (CH=N); MS m/z (%): 593 (2, M++2), 591 (5, M+), 265 (100); Anal. C33H26ClN5O2S (591.5): Calcd: C, 66.94; H, 4.43; N, 11.83; Found: C, 67.25; H, 4.36; N, 11.68.
Biological assays
Cell culture
HEPG-2 (human liver carcinoma), PC-3 (human prostate carcinoma) and A-549 (human lung carcinoma) cell lines were obtained from the Karolinska Institute, Stockholm, Sweden. HEPG-2 cells were maintained in RPMI 1640 medium, while A-549 and PC-3 cancer cells were maintained in DMEM medium (Lonza Biowahittkar, Belgium). All the media were supplemented with 1 % antibiotic-antimycotic mixture (10,000 U ml-1 potassium penicillin, 10,000 μg ml-1streptomycin sulfate, 25 μg ml-1 amphotericin B and 1 % L-glutamine (Biowest, USA).
MTT cytotoxicity assay
Cell viability was investigated using MTT [3-(4, 5-dimethylthiazol-2-yl)-2, 5-diphenyltetrazolium bromide] (Bio Basic Canada Inc., Canada) assay [11-13]. This reaction depends on mitochondrial reduction of yellow MTT into purple formazan. All the preceding steps were carried out in sterile laminar air flow cabinet Biosafety class II level (Baker, SG403INT; Sanford, ME, USA). All incubations were done at 37 ˚C in 5 % CO2 incubator in the humidified atmosphere (Sheldon, TC2323; Cornelius, OR, USA). Cells were seeded into 96-well microtiter plastic plates at the concentration of (104 cells per well) and allowed to adhere for 24 h. Medium was aspirated and fresh medium (without serum) was added to the cells with various concentrations of the test compounds (100, 50, 25, 12.5, 6.25, 3.12, 1.56 and 0.78 μg ml-1 in DMSO) and incubated for 48 h. The medium was aspirated and 40 μl MTT salts (2.5 μg ml-1) was added to each correctly and incubated for a further 4 h. To stop the reaction and dissolve any formed formazan crystals, 200 μl of 10 % sodium dodecyl sulfate (SDS) were added to each well and incubated overnight at 37 ˚C. The amount of formazan product was measured at 595 nm with a reference wavelength of 620 nm as a background using a microplate reader (Bio-Rad Laboratories, model 3350, USA). For the untreated cells (negative control), medium was added instead of the test compounds. A positive control Adrinamycin® (doxorubicin) (Mr=579.9) was used as a known cytotoxic natural agent giving 100 % inhibition. Dimethyl sulfoxide (DMSO) was the vehicle used for dissolution of testing compound, and its final concentration on the cells was less than 0.2 %. IC50 was calculated for the samples and negative control (cells with vehicle) by the probit analysis using a simple t-test (SPSS statistical analysis software package/version 11.0, SPSS Inc., (IL), Chicago, USA).
Inhibition of GSTP1
Preparation of human placenta homogenates
Twenty-five villous placental tissue samples were collected by blunt dissection within 30 min of delivery from women (age range 20 y) at El-galaa Hospital, Cairo, Egypt (participants gave informed consent). Placental tissue was dissected, placed in ice-cold 25 mM Tris-HCl buffer, pH 8.0 containing 1 mM DTT, 5 mM EDTA, homogenized immediately and centrifuged at 10,000 g for 25 min and saved at-4 °C for further analyses [14].
Preparation of GST enzyme
GST enzyme was prepared by using glutathione-Sepharose affinity chromatography. Glutathione S-transferase activity was determined by measuring the increase in the concentration of the conjugation product of GSH and 1-chloro-2,4-dinitrobenzene (CDNB) at 340 nm over 3 min at 25 °C. Unless otherwise stated, the assay mixture contained in a total volume of 1 ml, 0.1 M potassium phosphate buffer, pH 6.5, 1 mM CDNB in ethanol (final concentration of ethanol less than 4 %), 1 mM GSH, and the enzyme solution. One unit is equivalent to the amount of enzyme conjugating 1 μmol of CDNB in 1 min at 25 °C. The extinction coefficient of the product was taken to be 9.6 mM-1 cm-1. Protein was estimated by using bovine serum albumin as standard [15].
Screening for GSTP1 inhibition
Synthetic compounds (2-5) were screened for inhibition of the major cytosolic GSTP1 affinity purified from human placenta. The concentration of inhibitor required to bring about 50 % inhibition of GST activity, the IC50 value, was determined by plotting sigoidal dose response curves of enzyme activity versus log synthetic compound concentrations.
Molecular modeling studies
All the molecular modeling calculations and docking simulation studies were performed using Molecular Operating Environment (MOE®) [16] 2008.10. All the interaction energies and different calculations were automatically calculated.
Target compounds optimization
The target compounds were constructed as a 3D model using the builder interface of the MOE program. After checking their structures and the formal charges on atoms by 2D depiction, the following steps were carried out: the target compounds were subjected to a conformational search. All conformers were subjected to energy minimization; all the minimizations were performed with MOE until a RMSD gradient of 0.01 Kcal mol-1 and RMS distance of 0.1 Å with MMFF94X force-field, and the partial charges were automatically calculated. The obtained database was then saved as MDB file to be used in the docking calculations.
Optimization of the enzyme's active site
The X-ray crystallographic structure of GSTP1 receptor complexed with 6-(7-nitro-2, 1, 3-benzoxadiazol-4-ylthio)hexanol, NBDHEX (PDB ID: 3GUS) [4] was obtained from the Protein Data Bank through the internet. The enzyme was prepared for docking studies by removing the ligand molecule,NBDHEX from GSTP1 receptor active site. Hydrogen atoms were added to the system with their standard geometry. Atoms' connection and type were checked for any errors with automatic correction. Selection of the receptor and its atoms' potential were fixed. MOE Alpha Site Finder was used for the active site search in the enzyme structure using all default items. Dummy atoms were created from the obtained alpha spheres. Re-docking of co-crystalline ligand to the receptor active sites to insure the docking method was efficient and the active pocket was saved as moe file to be used for docking simulation of the selected compounds.
Docking of the target molecules 4a, 4b and 4d to the receptor active sites
Docking of the conformation database of the target compounds was done using MOE-Dock software. The following methodology was generally applied via loading of the enzyme active site file, and the dock tool was initiated. The program specifications were adjusted to:
-Dummy atoms as the docking site.
-Triangle matcher as the placement methodology to be used.
-London dG as scoring methodology to be used and was adjusted to its default values.
The MDB file of the ligand to be docked was loaded and dock's calculations were run automatically. The obtained poses were studied, and the poses showed best ligand-enzyme interactions were selected and stored for energy calculations. The 2D interaction and stereo view for compounds 4b and 4d inside the active site of GSTP1 enzyme were obtained and saved as both MOE and photo files.
RESULTS AND DISCUSSION
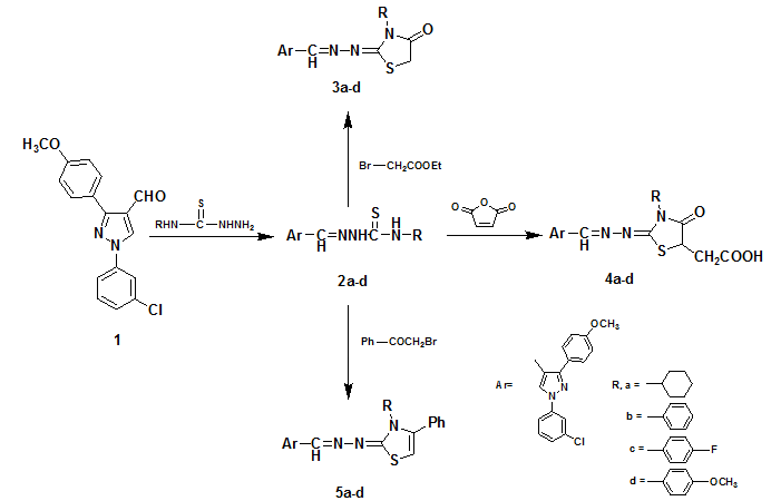
The synthetic routes of the target compounds are outlined in Scheme 1. Condensation of 1-(3-chlorophenyl)-3-(4-methoxyphenyl)-1H-pyrazole-4-carboxaldehyde (1) with substituted thiosemicarbazide in absolute ethanol gave the corresponding thiosemicarbazone derivatives 2a–d. The structures of 2a-d were well established from their microanalytical and spectral data. The IR spectrum of 2b revealed the appearance of two NH at λmax 3441 and 3318 cm-1 with a concomitant disappearance of the C=O band of the parent 1. Its 1H NMR spectrum (DMSO-d6) showed singlet at δ 8.31 ppm for anil proton (CH=N) and two singlet signals at δ 9.75 and 11.76 ppm corresponding to two NH protons (exchangeable with D2O). Cyclization of 2a, b, c or d either by ethyl bromoacetate, maleic acid anhydride or phenacyl bromide according to a reported method [17, 18] furnished the novel thiazole derivatives 3, 4 and 5, respectively. Elemental and spectral analyses of 3-5 were in agreement with their structures. Compound 3c displayed disappearance of the two NH bands of the precursor 2 and an appearance of one C=O band in the IR spectrum at λmax 1723 cm-1. In addition, its 1H NMR illustrated the appearance of the characteristic two protons of thiazolidinone ring as singlet at δ 4.09 ppm. 1H NMR (DMSO-d6) spectrum of 4d revealed multiplet signal in the range δ 3.11-3.31 corresponding to aliphatic protons of CH2COOH moiety and another singlet signal at 12.77 ppm which is attributed to the exchangeable COOH proton. In its IR spectrum, there are bands at 3424 cm–1 (OH), 1676 cm–1 (C=O) for the carboxylic acid group and 1718 cm–1 (cyclic ketone). Mass spectrum of compound 5d represented the molecular ion peak M+and M++2 at m/z 591 (5%) and 593 (2%) comprising C33H26ClN5O2S and the base peak at 265(100%).
Scheme 1: Synthesis of compounds 2-5
Cytotoxic activity
Sixteen new target compounds 2-5 were preliminary screened for their in vitro cytotoxic activity against HEPG-2, PC-3 and A-549 cell lines at a concentration of 100 μg ml-1(table 1). Compounds 4b and 4d displayed broad spectrum cytotoxic activity against the three cell lines. They showed potent activity of 97±1.10 and 92.9±1.62 % against HEPG2, 97.7±1.45 and 96.9±3.25 % against PC-3 and 79.6±1.18 and 92.2±1.00 % against A-549, respectively. Whereas, compound 4a gave potent cytotoxic activity against two cell lines only, HEPG-2 and PC-3 (98.4±1.30 and 98.5±2.60 %, respectively).
Compounds that showed cytotoxic activity higher than 80 % at a concentration of 100 μg ml-1were used to calculate their IC50 values, which corresponds to the concentration required for 50 % inhibition of cell viability. Doxorubicin, which is one of the most effective anticancer agents, was used as a reference drug (table 2). In case of HEPG-2 cancer cell line, compounds 4a, 4b and 4d, revealed potent activity of IC50 of 7.2±1.85, 2.3±1.59 and 0.2±0.81 μM, respectively, higher than the reference drug doxorubicin of IC50 37.8±1.50 μM. Regarding PC-3 cell line, the results indicated that these three compounds showed potent cytotoxic activity with IC50 of 9.3±2.08, 5.2±1.69 and 3.1±1.05 μM, respectively, higher than the reference drug doxorubicin with IC50 of 41.1±2.01 μM.
Table 1: Cytotoxic activity of the newly synthesized compounds against human carcinoma cell lines at 100 μg ml-1
Compound a |
Growth inhibition (%) |
||
HEPG-2 |
PC-3 |
A-549 |
|
2a |
55.2±1.30 |
43.8±2.45 |
46.9±1.20 |
2b |
60.7±2.40 |
62.5±1.50 |
66.5±1.70 |
2c |
65±3.12 |
39.3±1.70 |
77.9±3.60 |
2d |
71.6±1.66 |
67.4±2.20 |
31.4±1.00 |
3a |
67.8±1.20 |
37.9±2.16 |
25.8±1.45 |
3b |
42.1±2.70 |
49.5±1.20 |
29.5±1.33 |
3c |
53.1±1.15 |
41.7±1.15 |
39±2.65 |
3d |
50.5±1.10 |
24.6±2.06 |
16.6±3.25 |
4a |
98.4±1.30 |
98.5±2.60 |
26±2.05 |
4b |
97±1.10 |
97.7±1.45 |
79.6±1.18 |
4c |
69±1.55 |
71.5±1.39 |
78.1±2.35 |
4d |
92.9±1.62 |
96.9±3.25 |
92.2±1.00 |
5a |
22.8±1.20 |
12.3±2.40 |
0 |
5b |
31.1±1.90 |
21.7±1.47 |
13.4±2.45 |
5c |
85.3±2.34 |
39.6±1.95 |
28.7±3.37 |
5d |
63.5±1.60 |
42.2±1.13 |
0 |
Negative controlb |
0 |
0 |
0 |
Doxorubicin a |
100±0.00 |
100±0.00 |
100±0.00 |
a concentration of test compounds and positive control (doxorubicin) was 100μg ml-1, b Untreated cells in DMSO and its final concentration in the cells was less than 0.2 %, SEM = Standard error mean; each value is the mean of three values.
Table 2: IC50 of the highly cytotoxic active compounds against human cancer cell lines
Compounds |
IC50 (mean±SEM) (μM) |
||
HEPG-2 |
PC-3 |
A-549 |
|
4a |
7.2±1.85 |
9.3±2.08 |
>50 |
4b |
2.3±1.59 |
5.2±1.69 |
>50 |
4d |
0.2±0.81 |
3.1±1.05 |
>50 |
Doxorubicin |
37.8±1.50 |
41.1±2.01 |
48.8±1.30 |
IC50: Compound concentration required to inhibit the cell viability by 50 %, SEM = Standard error mean; each value is the mean of three values.
Table 3: Inhibitory effect of the newly synthesized compounds against GSTP1 activity at 50 μg ml-1
Compound a |
GSTP1 |
|
Inhibition percent (%) (mean±SEM) |
IC50 (mean±SEM) (μM) |
|
2a |
33.8±2.30 |
156.7±2.20 |
2b |
29.7±1.80 |
IN |
2c |
16.9±0.90 |
IN |
2d |
13.9±0.40 |
273.4±4.10 |
3a |
76.6±2.60 |
34.1±2.47 |
3b |
6.8±0.35 |
569.8±5.57 |
3c |
9.6±0.40 |
IN |
3d |
7.6±0.25 |
IN |
4a |
98.4±0.03 |
4.3±0.29 |
4b |
98.5±0.05 |
3.4±0.32 |
4c |
29.6±1.20 |
IN |
4d |
98.8±0.03 |
1.5±0.18 |
5a |
88.3±0.10 |
41.9±2.10 |
5b |
38.3±1.70 |
124.8±2. 90 |
5c |
28.6±1.40 |
108.9±1.99 |
5d |
22.7±1.20 |
346.1±4.60 |
a concentration of test compounds were 50 μg/ml, IC50: Compound concentration required to inhibit enzyme activity by 50 %, NI: No inhibition, SEM = Standard error mean; each value is the mean of three values.
The three compounds 4a, 4b and 4c revealed potent inhibitory activity against GSTP1 of 98.4±0.03, 98.5±0.05 and 98.8±0.03 % with IC50 of 4.3±0.29, 3.43±0.32and 1.5±0.18 μM, respectively.
GSTP1 activity inhibition assay
An indication of the degree of selectivity of the newly synthesized compounds 2-5 towards GSTP1 has been obtained by inhibition studies, which fulfilled the inhibitory effect (%) and IC50 (μM) valuesat a concentration of 50 μg ml-1 (table 3).
Molecular docking study
Docking study using MOE 2008.10 programmes was performed. It is used to predict the binding modes and orientation of the most promising anticancer compounds 4a, 4b and 4d at the active site of the ATP binding site of GSTP1. The coordinates of the GSTP1 structure were obtained from the crystal structure of GSTP1 with its inhibitor (PDB ID: 3GUS).
The root mean square difference (RMSD) between the top docking pose and original crystallographic geometry of co-crystallized ligand NBDHEX was 0.92 A °. It exhibited several hydrophobic interactions with residues shaping the H-site of the GSTP1 enzyme, including Tyr7, Phe8, Val35, Trp38, Gln39, Ile104, and above all, Tyr108, which engages an aromatic ring stacking interaction with the benzoxadiazole ring. There were two hydrogen bonds: one H-bond was binding NO2 group of ligand with Arg13 indirectly by a water molecule; the other H-bond was linking OH group with Gln39 [4]. From table 4, it was found that the compounds under study exhibited good fitting inside the binding site of the protein molecular surface and having minimum binding energy ranged from-6.72 to-8.23 k cal mol-1.
Table 4: Docking results of the compounds 4a, 4b and 4d with GSTP1 using MOE software version 2008.10
Compd. No. |
Docking score K cal mol-1 |
Amino acid residues (bond length Ao) |
Atoms of compound |
Type of bond |
4a |
-6.72 |
Gln39(2.93) |
O(CO) (COOH) |
H-don |
4b |
-7.46 |
Gln39(2.69) |
O(CO) (COOH) |
H-don |
4d |
-8.23 |
Gln39(2.40); Trp38(2.86); Gln51(2.52) |
O(CO) (COOH); O(CO)(thiazole); O(new 4-methoxyphenyl) |
H-acc H-acc H-acc |
Oxygens of C=O groups act as H-donors in 4a and 4b forming H-bond with Gln39 and H-acceptor in 4d. Furthermore, there are two hydrogen bonds formed in 4d, one between oxygen of the carbonyl group of the thiazole ring and Trp38 and the other between oxygen of 4-methoxyphenyl and Gln51 (fig. 2, 3).
Fig. 2: The proposed binding mode of compound 4b docked in the active site of GSTP1; A and B showing 2D and 3D ligand-receptor interactions (hydrogen bonds are illustrated as arrows; C atoms are colored gray, N blue and O red)
Fig. 3: The proposed binding mode of compound 4d docked in the active site of GSTP1; A and B showing 2D and 3D ligand-receptor interactions (hydrogen bonds are illustrated as arrows; C atoms are colored gray, N blue and O red)
From a survey of previous results, it is clear that the thiazole-pyrazole backbone of compounds 4a, 4b, 4d is crucial for the cytotoxic activity against the three types of carcinoma (HEPG-2, PC-3 and A-549) cell lines and inhibitory effect against GSTP1 enzyme. This may be due to insertion of–CH2COOH group at the thiazolidinonyl scaffold which is responsible for formation of H-bond between oxygen of the C=O group and Gln39 similarly with the co-crystallized ligand NBDHEX [4]. Substitution of the phenyl ring at N3 of thiazolidinonyl moiety with an electron donating group (4d) increased cytotoxic activity and GSTP1 selectivity due to good binding to the active site of the enzyme by another H-bond between oxygen of 4-methoxyphenyl and Gln51.
Differently, compound 4c with an electron withdrawing group (F) at the para position of the phenyl ring displayed a lower affinity towards GSTP1 and decreased anticancer activity against the three carcinoma cell lines. Compounds 4a, 4b and 4d may represent a new group of GSTP1 inhibitors with antiproliferative activity in liver and prostate carcinoma and are worthy of further study.
CONCLUSION
A new series of substituted thiazoles incorporated in pyrazole moieties (2-5) was synthesized starting from 1-(3-chlorophenyl)-3-(4-methoxyphenyl)-1H-pyrazole-4-carboxaldehyde (1). The new target compounds 2-5 were screened for their GSTP1 inhibition and cytotoxic activity against HEPG-2, PC-3 and A-549 cell lines. The most promising cytotoxic compounds 4a, 4b and 4d were employed for docking study towards GSTP1 (PDB ID: 3GUS) and exhibited efficient binding mode at the active site of the enzyme.
CONFLICT OF INTERESTS
Declared None
REFERENCES