
*University College of Pharmaceutical Sciences, Kakatiya University, Warangal, Telangana 506009
Email: ciddiveeresham@gmail.com
Received: 22 Aug 2015 Revised and Accepted: 18 Nov 2015
ABSTRACT
Objective: A simple, precise, and accurate stability indicating high-performance thin-layer chromatography (HPTLC) method was developed and validated for simultaneous estimation of linagliptin and metformin active pharmaceutical ingredients and fixed dose combination.
Methods: Linagliptin and metformin densitograms were developed on silica gel 60 F254 HPTLC plates with acetone: methanol: chloroform: formic acid (3:1:5:1v/v) as the mobile phase. Densitometric quantification was performed at 230 nm.
Results: For linagliptin and metformin RF values were found as 0.72 and 0.19, respectively. The method was validated for precision, accuracy, specificity, and robustness. The linearity curves were obtained in the concentration range of 100–600 ng per spot by area with correlation coefficients of 0.999 and 0.99 for linagliptin and metformin, respectively. Limit of detection was found to be 5.19 and 8.72 ng per spot for linagliptin and metformin, respectively; lowest possible quantity to be quantified by the proposed method was found to be 15.74 and 26.44 ng per spot for linagliptin and metformin, respectively. From stability studies, the noninterference of the linagliptin and metformin degradants with drugs demonstrated the suitability of the developed method.
Conclusion: The developed method was validated and found to be selective, specific and suitable for application in pharmaceutical analysis of these drugs in bulk and fixed dose combination.
Keywords: Linagliptin, Metformin, HPTLC, Stability.
© 2016 The Authors. Published by Innovare Academic Sciences Pvt Ltd. This is an open access article under the CC BY license (http://creativecommons.org/licenses/by/4.0/)
INTRODUCTION
Diabetes treatment algorithm follows traditional stepwise approach involving lifestyle modifications, the addition of oral antidiabetic drugs (OAD). Where metformin stands out as the main drug for initial monotherapy, if initial monotherapy fails in achieving target glycemic controls over a period a combination therapy of multiple drugs is recommended. Drugs in the combination therapy have complimentary mechanisms by acting on different targets. These complimentary actions have drawn in focus to the usage of metformin (MET) along with a newer class of anti-diabetic drugs, i.e., dipeptidyl peptidase (DPP)-4 inhibitors [1].
Linagliptin (LIN) is the major drug of choice to be used with metformin as a fixed dose combination for better glycemic control [2]. A survey of the literature revealed some HPLC and LC-MS/MS methods for analysis of MET alone and in combination with other drugs [3-9]. However, quite a few HPLC methods have been reported for simultaneous determination of MET with LIN in formulations [10, 11]. So far there is no reported HPTLC method for the simultaneous estimation of LIN and MET in the fixed dose combination. The present study was aimed to develop a simple, rapid and economical analytical method for the simultaneous estimation of linagliptin and metformin in bulk and fixed-dose combination for the routine analysis.
MATERIALS AND METHODS
Chemicals and reagents
Linagliptin and metformin working standards were gift samples from MSN Pharma chem Pvt. Ltd. and Aurbindo Pharmaceuticals Ltd., respectively. Methanol, acetone, chloroform and formic acid of analytical grade were purchased from Sigma-Aldrich Inc. Precoated silica gel 60 F254 HPTLC plates (Merck # 5548) were purchased from E-Merck. Standard volumetric flasks were used for the preparation of all the dilutions. Millipore water and what man filter paper Grade I were used in the whole experimental work.
Instrumentation and chromatographic conditions
A 10 cm × 10 cm pre-coated silica gel 60 F254 (0.2 mm layer thickness) HPTLC plates were used for the development of chromatogram. CAMAG HPTLC system with Linomat V semi-automatic applicator (CAMAG, Muttenz, Switzerland) equipped with CAMAG TLC scanner 3, operated through win CATS software (version 1.4.3) along with accessories like CAMAG twin trough chamber (20 cm x 20 cm), and CAMAG syringe of 100 μL capacity was used in the method development. The sample and standard solutions were applied on the plate as 8 mm width bands at an application rate of 150 nLs-1, with the flow of nitrogen gas (N2) for atomization of the solution.

Fig.1: Typical densitogram of metformin and linagliptin fixed dose combination
The spotted plates were developed to 80 mm distance in a CAMAG twin trough chamber pre-saturated for 10 min with mobile phase, i.e., acetone: methanol: chloroform: formic acid (3:1:5:1v/v). The chromatographic conditions were optimized for the best resolution and peak shape. Plates were dried after development and evaluated densitometrically at 230 nm with a CAMAG Scanner III, in combination with the win CATS software for quantitation. The method was validated according to the ICH guidelines [12, 13]. The typical chromatogram was shown in fig. 1.
Preparation of working standard solution of linagliptin and metformin
Accurately weighed 5 mg quantity of both the standard drugs were taken and transferred into a 10 ml clean, dry volumetric flask. The drugs were dissolved in methanol and made up to the final volume with methanol to obtain 500 µg/ml (stock solutions) of linagliptin and metformin. From these stock solutions, 2 ml was taken in 10 ml volumetric flask and volume was made up to the mark with methanol to obtain a concentration of 100 µg/ml of both the standard drugs.
Preparation of sample solution
Fixed dose working sample solutions were prepared by taking each 5 mg of metformin and linagliptin into a single volumetric flask, and 4 ml of methanol was added and sonicated for 25 min. Further volume was made up to 10 ml with methanol to obtain 500 µg/ml concentration solutions (stock solution). From this stock solution, 2 ml was taken into a 10 ml volumetric flask and made up the volume to 10 ml with methanol. The resulting solution was used as a fixed dose combination of linagliptin and metformin containing 100 µg/ml of each active component.
RESULTS AND DISCUSSION
Validation of proposed method
The proposed method was validated for precision, accuracy, specificity, linearity and range, limit of detection (LOD), limit of quantitation (LOQ), and robustness. Validation of the proposed method was carried in accordance with the International Conference on Harmonization (ICH) guidelines [12, 13]. The current method is the first method so far for the simultaneous estimation of the linagliptin and metformin by HPTLC method.
Linearity
Aliquots of sample solutions were applied in the concentration range of 100–600 ng per spot by applying 1-6 μL prepared standard solutions and chromatograms were developed under above optimized conditions. Linearity curves were shown in fig. 2A and 2B. The linearity range of the method was found more accurate and precise over the reported HPLC methods. The calibration curve was plotted as the concentration of the respective drug versus the mean of the response at each level. The proposed method was evaluated by its correlation coefficient and intercept value calculated in the statistical study and were represented by a linear regression equation. For linagliptin the linear regression equation was Y = 8.808X+130.478 and for metformin Y= 5.4X+95.201. The correlation coefficient of linagliptin and metformin was found to be 0.999 for both the drugs. The observed RF values were 0.72 and 0.19 for linagliptin and metformin, respectively.
Precision
For linagliptin and metformin, the intra-day and inter-day precision studies were conducted under developed chromatographic conditions six times by using 200, 400 and 600 ng/spot concentrations. The method was found precise by exhibiting percentage estimation of about 100% and RSD less than 2% (table 1 & 2).

Fig.2: Linearity curves of (A) Linagliptin (B) Metformin
Limit of detection and limit of quantitation
The minimum amounts detected by the developed chromatographic conditions were estimated in terms of the LOD. By area, LOD was found to be 5.19 and 8.72 ng per spot for linagliptin and metformin, respectively. Lowest possible quantity to be quantified by the proposed method was found to be 15.74 and 26.44 ng per spot for linagliptin and metformin, respectively. The present method derived superior method with lower LOD and LOQ values than the method reported by Rajasekaran et al. [14]. The lower level of LOD and LOQ indicates the applicability of the developed method to a wide range of concentrations than the reported HPLC methods [10, 11].
Accuracy
The accuracy of the developed method was established by standard addition method by adding known standard concentration solutions to the pre-analyzed samples in different levels, i.e., 50, 100 and 150 %. The samples were analyzed for five times at each level. The mean recovery and RSD values were calculated. Recoveries of linagliptin (table 3) and metformin (table 4) were in between 98-102 %. This is in accordance with ICH guidelines. Therefore method was found to be accurate.
Table 1: Precision study of proposed stability-indicating HPTLC method for linagliptin
Conc. (ng/spot) |
Intraday precision (n = 6) |
Intermediate precision (n = 6) |
||
mean±SD |
% RSD |
mean±SD |
% RSD |
|
200 |
1883.593±14.04 |
0.74 |
1824.22±12.91 |
0.70 |
400 |
3610.016±24.29 |
0.67 |
3609.09±22.94 |
0.63 |
600 |
4940.55±5.64 |
0.11 |
4939.02±14.58 |
0.29 |
Table 2: Precision study of proposed stability-indicating HPTLC method for metformin
Conc. (ng/spot) |
Intraday precision (n = 6) |
Intermediate precision (n = 6) |
||
mean±SD |
% RSD |
Mean.±SD |
% RSD |
|
200 |
1031.51±6.69 |
0.64 |
1078.71±16.05 |
1.48 |
400 |
2050.21±33.33 |
1.62 |
2154.65±25.38 |
1.17 |
600 |
3304.23±34.81 |
1.08 |
3244.28±27.01 |
0.83 |
Table 3: Linagliptin accuracy of method in terms of % recovery (n = 5)
Spiked amount (ng/spot) |
Amount detected±SD |
Mean % recovered |
% RSD |
200 (50%) |
599.68±2.73 |
99.94 |
0.45 |
400 (100%) |
801.14±4.04 |
100.13 |
0.50 |
600 (150%) |
1004.41±5.39 |
100.44 |
0.53 |
Table 4: Metformin accuracy of method in terms of % recovery (n = 5)
Spiked amount (ng/spot) |
Amount detected±SD |
Mean % recovered |
% RSD |
200 (50%) |
600.87±2.53 |
100.13 |
0.40 |
400 (100%) |
802.31±2.32 |
100.33 |
0.28 |
600 (150%) |
1008.25±10.80 |
100.82 |
1.07 |
Specificity (Stability studies)
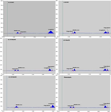
The stability studies of the analytes were conducted for the developed method to evaluate how accurately and specifically the analyte of interest is estimated in the presence of other components (e. g. degradation products, excipients etc.) by subjecting the sample to various stress conditions such as acidic (0.1 N HCl, 1N HCl), alkaline (0.1 N NaOH, 1N NaOH), oxidizing (3% H2O2) for 1 hour and photolytic degradation for 24 h, followed by analysis of them by proposed method. From the studies, it was found that the LIN was relatively stable than MET under acidic, basic, peroxide and photolytic degradation conditions (table 5, Fig.3.).
The proposed method was demonstrated its specificity for the analyzed drugs, where analyte peaks was not affected by the degradants. This proves that the method was suitable and selective for the routine analysis.

Fig.3: Densitograms of linagliptin and metformin combination under stress induced degradation conditions
Table 5: Stress-induced degradation studies (n = 3)
Stress conditions |
Time (h) |
Mean % recovered±SD |
|
Linagliptin |
Metformin |
||
HCl (0.1 N) |
1 |
95.43±2.72 |
84.56±1.85 |
HCl (1.0 N) |
1 |
76.18±1.86 |
48.74±2.68 |
NaOH (0.1 N) |
1 |
82.23±2.33 |
52.93±1.81 |
NaOH (1.0 N) |
1 |
64.82±1.43 |
23.29±0.63 |
H2O2 (3% v/v) |
1 |
55.99±1.85 |
36.15±0.83 |
Day light |
24 |
91.08±2.37 |
42.73±1.29 |
Robustness
The robustness of an analytical method evaluates the method capacity to remain unaffected by minor but purposeful variations in the method parameters and provides an indication of its reliability during normal usage. Robustness of the developed method was evaluated by the analysis of sample solutions after making small changes in the mobile phase volume and mobile phase saturation time. The low value of % RSD shows that the method is robust and that a slight change in mobile phase volume and mobile phase saturation time does not affect the results.
CONCLUSION
The developed method was simple, precise, and accurate for the determination of LIN and MET and their degradation product in bulk drug and pharmaceutical preparations. The method was validated for precision, accuracy, specificity, and robustness. Therefore, the method can be applied for routine quality control analysis of LIN, and MET in active pharmaceutical ingredients and in fixed-dose combinations.
ACKNOWLEDGEMENT
The authors would like to acknowledge gratefully MSN Pharma chem Pvt. Ltd. and Aurobindo Pharmaceuticals Ltd. for their generous gift samples of respective drugs linagliptin and metformin as working standards.
CONFLICT OF INTERESTS
Authors do not have any conflict of interest
REFERENCES