
Graduate Program in Biotechnology, Universidade Potiguar–UnP, Av. Senador Salgado Filho, 59080400, Natal RN, Brazil
Email: azevedoep@hotmail.com
Received: 23 Aug 2015 Revised and Accepted: 27 Oct 2015
ABSTRACT
Chitosan has been extensively used to prepare hydrogel systems. The fact that chemically and ionically crosslinked chitosan hydrogels can slowly release drugs through swelling have enabled their use in drug delivery applications. In addition, the high porosity of these hydrogels ensures a more effective cell loading and depending on the pore size and interconnectivity, it can lead to cell differentiation and eventually tissue formation. The purpose of this review is to take a closer look at the use of chitosan hydrogels to prepare drug delivery systems and scaffolds for tissue engineering. Aspects involving chitosan structure, physicochemical properties and biological applications are also discussed. In addition, this article reviews the methods used to prepare chitosan hydrogels and the mechanisms involved in the release of drugs.
Keywords: Chitosan, Hydrogels, Drug delivery, Tissue engineering
© 2016 The Authors. Published by Innovare Academic Sciences Pvt Ltd. This is an open access article under the CC BY license (http://creativecommons.org/licenses/by/4.0/)
INTRODUCTION
Chitosan has been extensively used to synthesize hydrogels due to its good crosslinking ability, which has been attributed to the presence of free amine groups in its backbone [1]. In addition, its biodegradability, biocompatibility and non-toxicity make chitosan hydrogels very attractive for biomedical applications [2-4]. Chitosan hydrogels have been prepared as microspheres [5, 6], nanospheres [7], beads[8-10], sponges [11], wound dressings [12], films [13] and scaffolds for tissue engineering [14-16].
Chitosan hydrogels can be categorized in two different classes depending on the nature of their network, namely physical or chemical hydrogels, with the latter being prepared through chemical crosslinking, which seems to be the best approach to improve the wet strength of these hydrogels [17]. Chemical hydrogels are usually prepared through interchain interaction between chitosan’s free amine groups, which is achieved by using a crosslinking agent [2, 18] such as formaldehyde [1] and glutaraldehyde [19-21]. It has been shown that variables such as gelation time, mechanical strength, network pore size, degradation time, degree of swelling and the rate of drug release can be controlled by the extent of chemical crosslinking [22, 23].
In addition, chitosan hydrogels can swell and uptake a large amount of water, which has been attributed to its highly porous structure. The degree of porosity can be modulated by the polymer concentration as well as by the degree of crosslinking [22, 24]. Thus, the porosity of the hydrogel can have a direct impact on the drug release and cell ingrowth (tissue formation), where the latter represents a fundamental requirement for the success of a scaffold for tissue engineering [3, 21].
Polymer scaffolds have been used for tissue engineering applications as they serve to support, reinforce and organize the regenerating tissue [17, 25]. In fact, scaffolds prepared from chitosan hydrogels have become attractive for tissue engineering applications for repairing and regenerating a wide variety of tissues and organs, where the presence of interconnecting pores, the optimal pore size and shape and the biocompatibility/ biodegradability aspect represent the most important properties in order to ensure the supply of the cells with nutrients and favor tissue integration and vascularization [19, 21, 26].
Physicochemical properties and biomedical applications of chitosan
Chitosan is a linear copolymer of β(1→4) linked 2-acetamido-2-deoxy-β-D-glucopyranose and 2-amino-2-deoxy-β-D-glycopyranose (fig. 1). It is easily obtained through the deacetylation of chitin; the second most abundant polysaccharide found in nature as a component of exoskeletons of crustaceans and insects [27-29]. Chitin and chitosan are structurally similar to cellulose, except for an acetamido or amine group at C-2 instead of a hydroxyl group (cellulose) at this position [30].
Fig. 1: Representation of chitosan’s structure with x and y values varying according to the degree of deacetylation, each carbon is appropriately numbered, where the amine or acetamido group at C2 represents the deacetylated and acetylated fractions, respectively. Source: Author’s own design
Chitin is deacetylated by using a concentrated NaOH solution, as shown in fig. 2[31]. This reaction converts the chitin’s acetamido group at position C-2 to a free amine group. The pKa of chitosan amine groups is ~6.5 and therefore, it can be solubilized by diluted acids through protonation of this groups, rendering the corresponding chitosan salt in solution [27].
Fig. 2: Deacetylation of chitin under NaOH treatment. Note the acetyl group from the acetamido being converted to free amine group. Source: Author’s own design
Since chitosan is converted to a polyelectrolyte in acidic media, its positive charges strongly interact with many negatively charged cells [31, 32]. In addition, chitosan can bind to cholesterol, fats, proteins and tumor cells [30]. Therefore, due to its cationic nature, electrostatic complexes have been prepared for encapsulation of drugs, immobilization of enzymes and for carrying genes [28]. Since these properties are related to the presence of amine groups in chitosan glucosamine repeating unit, then it is feasible to consider that such properties depends primarily on the degree of deacetylation (DD). In fact, it has been shown that the muco and cell adhesion properties of chitosan are influenced by its degree of deacetylation and cell type as such interactions occur through ionic complexation. For instance, fibroblasts exhibit a more negative charge surface when compared to keratinocytes, therefore exhibiting a higher adhesion to chitosan [33]. Moreover, hydrogels prepared from chitosans with different DD (from 65 to 95%), but using the same processing conditions, showed that the ones with the highest DD provided more elastic hydrogels, with better cell adhesion on their surface and more efficient tissue regeneration [4].
The cationic groups on chitosan have also been reported to bind to anionic groups on microorganisms, resulting in growth inhibition [27, 34]. For instance, the growth of Escherichia coli, Fusarium, Alternaria and Helminthosporium has been inhibited in the presence of chitosan [27]. In addition, bactericidal activities against Streptococcus mutans and Streptococcus salivarius have been reported [34].
Besides the degree of deacetylation, the molecular weight (Mw) of chitosan has shown to influence its biological properties, as chitosan oligomers of 1 kDa showed higher antimicrobial activity against gram-negative bacteria, whereas chitosan oligomers of 4 and 2 kDa were more active against gram-positive [35]. The concentration of chitosan has also demonstrated to influence its bacteriostatic activity, as shown by the minimum concentrations of 0.1 and 1% of chitosan solutions that were necessary to inhibit completely S. epidermis and S. aureus, respectively [30]. Table 1 lists the main biological properties of this biopolymer and their relationship with the DD and Mw.
Table 1: Relationship between chitosan biological properties and its DD and Mw
Biological property |
Factors |
Biodegradability |
DD, Mw |
Biocompatibility |
DD |
Mucoadhesion |
DD, Mw |
Hemostatic |
DD, Mw |
Analgesic |
DD |
Adsorption enhancer |
DD |
Antimicrobial |
Mw |
Anticholesterolemic |
DD, Mw |
Antioxidant |
DD, Mw |
Source: Author’s own design
As shown in table 1, the DD can also influence the biodegradability of chitosan, which is the ability to be enzymatically metabolized, particularly by lysozyme. Its biodegradation products are non-toxic oligosaccharides of variable length, which can be subsequently incorporated into glycosaminoglycans and glycoproteins or into other metabolic pathways [33]. This polymer is also biocompatible, which has been evidenced by its in vitro cytocompatibility with myocardial, endothelial and epithelial cells, as well as with fibroblasts, hepatocytes, condrocytes and keratinocytes [28, 33].
The DD and Mw can also influence chitosan’s ability to form molecular entanglements, which can originate a network structure known as hydrogel [25].
The use of chitosan to prepare hydrogels
Hydrogel is a three dimensional hydrophilic polymeric network that absorb and retain a minimum of 20% of its weight of water or biological fluids [1, 22, 36]. This polymeric network is able to retain fluids and drastically increase in volume, forming a swollen gel phase and depending on the degree of crosslinking and pH, the network keeps its three-dimensional (3D) structure and will not dissolve [37, 38].
Hydrogels are relatively deformable and can conform to the shape of the surface to which they are applied [22, 25]. Therefore, hydrogels have different physical forms, such as solid molded forms (e. g., soft contact lenses), pressed powder matrices (e. g., pills or capsules for oral ingestion), microparticles, beads, membranes or sheets (e. g., as a reservoir in transdermal drug delivery patch and wound dressing) and semi-solid gels [19]. The existence of hydrogels dates back to 1960, when Wichterle and Lim first proposed the use of hydrophilic networks of poly (2-hydroxyethyl methacrylate) (PHEMA) in contact lenses [39]. Since then, the use of hydrogels has extended to various biomedical and pharmaceutical applications [36, 38].
Chitosan has been used to synthesize hydrogels because of its good crosslinking ability in addition to its biodegradability, biocompatibility, and non-toxicity, which make chitosan hydrogels very attractive for use in biomedical and tissue engineering areas [1-4].
Types of chitosan hydrogels
Chitosan hydrogels are categorized in two different classes depending on the nature of their network, namely physical or chemical hydrogels [18, 25].
Physical chitosan hydrogels
Physical chitosan hydrogels are formed by various reversible links such as ionic interactions (ionically crosslinked hydrogels), secondary interactions (Van der Waals and hydrogen bonds) and entangled hydrogels (prepared by solubilization of chitosan in an acidic aqueous medium) [18]. Another type of physical chitosan hydrogel is the one formed through ionic interaction between chitosan and other polymers with negative charges, namely polyelectrolyte complex. The electrostatic attraction between the protonated amine groups (-NH3+) of chitosan and the anionic groups of the other polymer is the main interaction that leads to the formation of complex polyelectrolyte hydrogels. Since these polyelectrolytes represent two oppositely charged polymers, these hydrogels have a hydrophilic microenvironment with high water content and electrical charge density [18, 40, 41]. However, the main drawback of the physical hydrogels formed by polyelectrolyte complexation is that both polymers need to be ionized and bear opposite charges, which means that the reaction needs to occur at pH values in the vicinity of the pKa interval of the two polymers. Therefore, the pH of the medium has to be carefully monitored during the course of the reaction. Moreover, precipitation of the polyelectrolyte complex is quite common if the ionic interaction is too strong [25].
Yan et al. (2015) prepared physically crosslinked chitosan hydrogels by increasing the pH of chitosan solutions above its pKa value (~6.5), which has been achieved through homogeneous neutralization by ammonia, generated in situ from enzymatic hydrolysis of urea. The authors showed that the gelation time could be controlled by varying the urea and urease concentrations [17]. Similarly, neutralization with sodium hydroxide baths has also been used to prepare physical chitosan hydrogels, where a fast gelation was attained avoiding the formation of a precipitate [42].
The main advantage of the physical hydrogel over the covalently crosslinked (chemical hydrogels) is that besides chitosan and the polyanionic polymer, no additional molecule is necessary, which favors biocompatibility and avoids purification before administration [18]. However, physical chitosan hydrogels have some limitations. For instance, the poor stability of the physical hydrogels can lead to disintegration and dissolution when these hydrogels are placed in aqueous environment, especially at low pH [1, 22].
Chemical chitosan hydrogels
Chemical chitosan hydrogels are prepared by covalent linkages. These links are formed through interchain interactions between the free amine groups from the various glucosamine units, which are achieved through the use of a crosslinking agent (e. g. glutaraldehyde). The crosslinking agent is usually introduced in the pre-hydrogel solution and is responsible for avoiding or retarding its dissolution/degradation [18]. Therefore, the chemical crosslinking seems to be the best approach to improve the wet strength of the hydrogels [1]. In addition, another advantage of the chemical hydrogels over the physical ones is that variables such as gelation time, mechanical strength, network pore size, degradation time, the degree of swelling and the rate of drug release can be controlled by the extent of crosslinking [22, 43]. However, the disadvantage related to this approach is that highly crosslinked hydrogels exhibit very limited response to environmental stimuli and may possess undesirable mechanical properties. In fact, mechanically strong chitosan hydrogels can be obtained as the degree of crosslinking increases. However, highly crosslinked hydrogels tend to have poor percentage of elongation and therefore, are usually brittle structures. Since chitosan hydrogels should maintain its physical texture during the delivery of drugs for the predetermined period of time, an optimum degree of crosslinking needs to be achieved in order to produce a relatively strong and yet elastic hydrogel [43].
Crosslinked chitosan networks have been obtained by using monoaldehydes (formaldehyde [1]) and di-or polyaldehydes (glutaraldehyde [19, 20], oxidized starch [44], oxidized dextran [19]and oxidized sugars [45]) as well as genipin [46, 47]. The disadvantage of formaldehyde and especially glutaraldehyde is their toxicity to human tissues, even at small traces [17, 22, 47]. Although glutaraldehyde is still the most commonly used crosslinking agent for preparing chitosan hydrogels, the unreacted fraction must be completely removed. This procedure becomes critical when implantable hydrogels are used as the complete removal of the unreacted crosslinking agent has to be done before implantation. Thus, the main drawback of such approach is that the removal of the crosslinking agent may be difficult to achieve without leaching the loaded drugs out of the pre-loaded hydrogel [4, 22].
On the other hand, oxidized dextran, oxidized starch and genipin exhibit minimal toxicity [22]. Pourjavadi et al. [48] designed a new hydrogel based on chitosan using a tetra aldehyde molecule as the crosslinking agent, obtained from the periodate oxidation of sucrose. The hydrogel showed reasonable swelling pH sensitivity, where the maximum swelling occurred at low pH (bellow 6.5). Delgadilho-Armendariz et al. (2014) prepared chitosan hydrogels using genipin, where they reported the formation of very stable hydrogels, whose presence of genipin increased the hydrophilicity of chitosan. In addition, the results showed that secondary chemical interactions are formed via the reaction of genipin’s ester group with chitosan’s amine groups, yielding the hydrogel’s 3-dimensional structure [7].
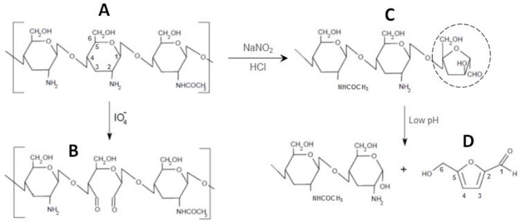
Chemically crosslinked chitosan hydrogels have also been prepared without the addition of an external crosslinking agent. In fact, reacting chitosan in the solid state with nitrogen oxide gases generated in situ produced chitosan derivatives with aldehyde groups in their structures, which could self-crosslink through Shiff’s base reaction between the aldehyde and the amine groups.
These interchain reactions produced semi-solid hydrogels by simply dispersing this aldehyde-functionalized chitosan in water at proper concentration [49]. In this method, chitosan undergoes deaminative cleavage of the 1,4-glycosidic bond, producing 2,5-anhydro-D-mannose as the reducing end, which contains an aldehyde group. The latter can be further converted to 5-hydroxymethyl-2-furfural (HMF) at low pH (fig. 3).
Fig. 3: Methods for obtaining aldehyde-functionalized chitosan: the reaction of chitosan (A) with periodate ions producing dialdehyde derivatives (B) and with nitrous acid-producing derivatives (C) containing 2,5-anhydro-D-mannose (circled) at the reducing end. The latter can be cleaved at low pH and converted to 5-hydroxymethyl-2-furfural (HMF) (D). Source: Author’s own design
Chitosan hydrogels as drug delivery systems
The physical properties of chitosan hydrogels have enabled their use in drug delivery applications. The ability of molecules of different sizes to diffuse into (drug loading) and out of (drug release) chitosan hydrogels allows the possible use of dry or swollen polymeric networks as drug delivery systems [38]. In addition, their highly porous structure can be modulated by the polymer concentration as well as by the degree of crosslinking, which in turn can influence the affinity of the hydrogels for the aqueous environment. This can modify the swelling extent of the network and therefore, have a direct impact on the drug release [22].
Hydrogels are usually glassy in their dehydrated state and therefore, drug release generally involves absorption of water and desorption of drug through a swelling-controlled mechanism. When a dehydrated hydrogel is placed in contact with water or any other medium, it allows solvent penetration into the free spaces or pores distributed in the matrix. The presence of solvent inside the hydrogel causes the development of internal stresses that are accommodated by an increase in the end-to-end distance of polymer chains, which is seen macroscopically as swelling [38]. In general, chitosan swelling process is controlled by the free amine groups, which protonate at low pH (<chitosan’s pKa) and leads to an increase in the osmotic pressure inside the hydrogel due to the NH3+-NH3+electrostatic repulsion. The difference between the osmotic pressure inside and outside the solution of the network is balanced by the swelling of the hydrogel, thereby controlling the drug release [48]. Thus, factors that influence the extent of chitosan swelling, which can affect the drug release rate, include its degree of ionization, crosslinking density and hydrophilicity, as well as the properties of the swelling medium (pH and ionic strength) [38].
According to Hoare and Kohane [22], the crosslinking density of the hydrogels can be controlled by the amount of crosslinker added, where higher crosslinking densities result in hydrogels with smaller mesh sizes, thereby reducing the release rate of entrapped drugs. The same authors also stated that the high water content of most hydrogels typically results in the relatively rapid release of drugs from the matrix, particularly in the case of hydrophilic drugs. Thus, two strategies have been used to retard the release of drugs from chitosan hydrogels:
Mechanisms of drug release from chitosan hydrogels
The release of a molecule from a chitosan hydrogel network can follow three mechanisms, according to the rate-limiting step for controlled release. These mechanisms are:
Diffusion-controlled
Swelling-controlled
Chemically-controlled
The diffusion-controlled mechanism is the most widely applicable one for describing drug release from chitosan hydrogels as it occurs when the hydrogel rapidly swell in an aqueous medium. On the other hand, swelling-controlled release occurs when the diffusion of the molecule is faster than the hydrogel swelling, whereas chemically-controlled release involves molecule released by reactions occurring within the hydrogel, such as cleavage of polymer chains via hydrolytic/enzymatic degradation [36]. In fact, fibroblast growth factor (FGF)-2 as well the antitumor agent Paclitaxel have been incorporated into a photo cross linkable chitosan hydrogel, where both agents were gradually released as the hydrogel was biodegraded in vivo [50].
As aforementioned, diffusion-controlled release through the hydrogel mesh is still the primary mechanism of release of most drugs from chitosan hydrogels. Due to its high swelling capacity, chitosan hydrogels can swell and uptake large quantities of water, which can lead to typical mesh sizes ranging from 5 to 100 nm in their swollen state. Since they are much larger than most small drug molecules, the diffusion of such drugs is not significantly retarded. However, due to their hydrodynamic radii, macromolecules like protein and peptides might have a greater chance of being released in a sustained manner. Therefore, the diffusion of molecules from a chitosan hydrogel matrix becomes slower as the mesh size approaches the size of the solute [36].
In fact, Azevedo and Kumar [51] showed that the release of drugs from a self-gelling aldehyde functionalized chitosan hydrogel depended on the size of the drug molecule, where the release of metronidazole (Mw 171 Da) was much faster compared to the release of larger molecules such as FITC-dextran (Mw 40000 Da) and bovine serum albumin (Mw 66000 Da). In addition, a delayed release of amino acids from chitosan hydrogels has been reported, where a maximum of 6% of cumulative release was achieved over 24 h. The authors hypothesized that besides the large molecular weight of such difusants, a polyelectrolyte complex between the positively charged chitosan and the negatively charged amino acids might have contributed to the strong retention of the latter in the chitosan hydrogel matrix [3].
Besides the molecular weight of the drug, the method used to load it into chitosan hydrogel directly influences the rate and extent of drug release, where the direct addition of drugs to chitosan hydrogels has been the most used approach for drug incorporation [2].
Methods used to load drugs into chitosan hydrogels
Loading drugs into chitosan hydrogels can be performed during the hydrogel formation, where the drug is added in the chitosan solution prior to adding the crosslinking agent. In this case, the drug can be either dissolved or suspended in the chitosan solution. Alternatively, the drug can be loaded by diffusing through the pores of the hydrogel after crosslinking. In this method, the hydrogel is allowed to swell to equilibrium in a drug solution, where the drug diffuses into the hydrogel matrix. Although these two methods represent the easiest ways to load drugs into hydrogels, the release typically shows a rapid burst during the initial hydrogel swelling, which can lead to losses from 10-25% to 70% of the initial drug load depending on the crosslinking density[37]. Chlorhexidine gluconate has been loaded into chitosan hydrogels for oral mucosal release. The amount of chlorhexidine gluconate released from the hydrogels was a function of crosslinking density, where chitosan hydrogels crosslinked with tripolyphosphate released the drug slower than those prepared without the crosslinking agent. The authors attributed this difference to a change in porosity of the hydrogels after cross-linking [52]. On the other hand, paclitaxel has been delivered from a thermo sensitive chitosan-based hydrogel for over a period of 1 mo [53].
The use of chitosan hydrogels as scaffolds for tissue engineering
The options for treatment of a failed or injured organ/tissue include repair, replacement with a synthetic or natural substitute, or regeneration. Tissue repair or replacement with a synthetic substitute is limited to those situations where surgical methods and implants have not achieved success. Although implants have been a reasonably successful option, tissue engineering holds out great promise for regeneration of the failed tissue [19]. Tissue engineering is the development and manipulation of laboratory-grown cells and tissues that would replace or support the function of defective or injured parts of the body. Therefore, tissue-engineering technology has been developed to construct artificial tissues that can mimic the natural ones by combining modulated cells with different types of scaffolding materials [38].
The wide array of tissue engineering applications is fonded upon the use of polymer scaffolds, which serve to support, reinforce and organize the regenerating tissue [26]. Hydrogels resemble living tissues closely in their physical properties because of their relatively high water content as well as their soft and rubbery consistency [38, 43]. In addition, hydrogels derived from naturally occurring polymers such as chitosan, mimic many features of extracellular matrix and therefore have the potential to direct the migration, growth and organization of cells during tissue formation [54].
For these reasons, hydrogels based on natural polymers have become attractive for tissue engineering applications as scaffolds for repairing and regenerating a wide variety of tissues and organs [4, 19]. Due to their low immunogenic activity, controlled biodegradability and porous structure, chitosan scaffolds are promising materials for the design of tissue-engineered systems [33]. Table 2 lists the optimal properties of hydrogels that are required to be successfully used as drug carriers and scaffolds for tissue engineering.
Table 2: Required properties of hydrogels for applications as drug carriers and scaffolds for tissue engineering
Drug carriers |
Scaffolds for tissue engineering |
Biocompatible |
Biocompatible |
Mucoadhesive |
Biodegradable |
Mechanically stable |
Mechanically stable |
High drug loading efficiency |
Highly porous |
Control the drug release |
Interconnected pores |
Source: Author’s own design
Preparation of porous chitosan scaffolds
The presence of interconnecting pores as well the optimal pore size and shape are among the conditions in which a synthetic scaffold for tissue engineering has to fulfill. The presence of interconnecting pores is important to ensure the supply of the cells with nutrients and to favor tissue integration and vascularization. In addition, the pore size and shape are important for cell infiltration and tissue regeneration [19]. Thus, the high porosity of hydrogels permits loading of cells and depending on the pore size and interconnectivity it can lead to cell differentiation and eventually tissue formation [22].
The most frequently used method to prepare porous scaffolds is through lyophilization of polymeric solutions or gels (hydrogels), where the water inside the matrix is frozen and then sublimated, which creates pores [55]. For instance, chitosan hydrogels crosslinked with glutaraldehyde or oxidized dextran have been investigated as potential scaffolds for cartilage regeneration, where the scaffolds were prepared after lyophilizing the previously frozen crosslinked chitosan hydrogel, yielding an interconnected porous structure with diameters ranging between 120-350 µm [19]. However, considering that the chitosan scaffold will be degraded by lysozyme, glutaraldehyde will be prone to leach out into the body [54].
On the other hand, chitosan hydrogels formed by polyelectrolyte complex have been used as scaffolds in cell culture and enzyme immobilization. Since no potentially toxic cross linkers were used to prepare these hydrogels, they represent a better medium for cell culture. However, their poor mechanical properties could not prevent their dissolution and the release of the incorporated cells [18]. In addition, Madihally and Matthew [26] prepared chitosan porous tubular scaffolds without any external crosslinker by just lyophilizing a 2% chitosan solution in annular molds. The obtained tubular scaffolds, which were stabilized in either NaOH (0.1 N) or in ethanol series, showed a high level of porosity and the presence of interconnected pores. However, the fact that no crosslinking took place during the preparation of these scaffolds, poor physical and mechanical stability of such constructs might become a concern during the washing process and even during the cell seeding/ expansion in an aqueous medium. In fact, these authors reported that the NaOH-treated scaffolds exhibited shrinkage and distortion, in addition to an extremely low tensile strength [26]. Chitosan scaffolds have also been prepared from chitosan-poly (vinyl alcohol) hydrogels where crosslinking took place between both polymers as well as through the use of glutaraldehyde. The results showed that the mechanical properties of the scaffolds strongly depended on the amount of glutaraldehyde (degree of crosslinking) as well as on the poly (vinyl alcohol)/chitosan ratio [56].
Azevedo and Kumar (2012) prepared a highly porous scaffold with interconnected pores (fig. 4) out of an aldehyde-functionalized chitosan hydrogel, which could self-crosslink and gellify in situ without the addition of any external crosslinking agent, favoring the biocompatibility of such constructs. The scaffolds were prepared through the lyophilization method, where it could absorb more than 400 % of its weight in water [51].
Fig. 4: SEM pictures of semi-solid hydrogels prepared from a self-gelling aldehyde functionalized chitosan. The 4 pictures were taken from the same sample, but at different spots. Source: Author’s own results
The porosity and pore size of chitosan scaffolds have shown to be dependent on the concentration of chitosan solution. Hsieh et al. [57] showed that the pore size and porosity of chitosan scaffolds were reduced along with the increase in the concentration of chitosan solutions from 1 to 3%. Madihally and Matthew [26] also demonstrated that the pore connectivity was influenced by the concentration of the chitosan solution, where higher concentrations produced lower pore connectivity. According to Harley et al. [58], ideal porous tubular scaffolds should display a gradient in porosity and pore size along the tube radius, as well as a porous lumen and a cell-impermeable outer surface. In addition, Song et al. [59] showed that the efficiency of smooth muscle cells (SMC) seeding in porous tubular poly(trimethylene carbonate) (PTMC) scaffolds increased from less than 10% to 43% after coating its external surface with a PTMC layer while still keeping the inner pore structure. Generally, SMC are seeded by perfusion of a cell suspension from the lumen through the wall of a tubular scaffold and the absence of pores on the outer surface leads to higher cell retentions.
Moreover, in order to have a better diffusion of nutrients and waste products, as well a more efficient cell proliferation, a more open and interconected pore structure is preferred [59]. Zeltinger et al. [60] showed that vascular smooth muscle cells (SMC) displayed equivalent proliferation and matrix deposition in scaffolds with pore sizes ranging from 63 to 150 µm. Similarly, Park et al. [61] showed that SMC proliferation was the highest in a poly (L-lactide-co-ε-caprolactone) (PLCL) scaffold with 50-100 µm pore size.
CONCLUSION
Chitosan is a versatile material with many biological properties, where most of these properties is due to its amine groups that can be protonated when in solution. Due to its ability to protonate, chitosan hydrogels can swell and increase more than 100% of its volume in water, which contributes to its high porosity. In fact, because of the high swelling capacity of chitosan hydrogels, the release of drugs is usually through diffusion-controlled mechanism, where the release rate can be influenced by the molecular weight of the drug as well as by the degree of crosslinking of the hydrogel. In addition, very porous constructs can be obtained through the lyophilization of chitosan hydrogels, which can be used as scaffolds for tissue engineering. Finally, the biocompatibility, biodegradabilty and non-toxicity aspects of these hydrogels make them even more attractive for drug delivery and tissue engineering applications.
CONFLICT OF INTERESTS
Declared None
REFERENCES