
1Department of Pharmaceutics, College of Pharmacy, University of Baghdad, Iraq
Email: omarpharma2007@gmail.com
Received: 30 Aug 2015 Revised and Accepted: 27 Oct 2015
ABSTRACT
Objective: Low permeability of rosuvastatin calcium faces a problem of low bioavailability (absolute bioavailability 20%) as its permeation is the rate limiting factor. Rosuvastatin calcium is a selective competitive inhibitor of HMG-CoA reductase and it lowers plasma cholesterol level. Aspirin is an anti-platelet agent with half-life of 6-7 h. Frequency of dosing of both drugs is high to maintain the desired plasma drug concentration so it is selected to formulate a sustained release tablet of aspirin and rosuvastatin calcium, which release the drug in a sustained manner over a period of time by using various polymers and study the effect of polymers on the release pattern of both drugs. This approach will also enhance the residence time of rosuvastatin calcium at the absorption site and enhance permeation by the effect of the polymers used and this in turn will enhance bioavailability.
Methods: Tablets contain aspirin plus rosuvastatin calcium were prepared by direct compression method. The sustained release of the tablets was obtained by using different polymers (xanthan gum, microcrystalline cellulose, HPMC K4M and chitosan) incorporated in the tablet and responsible for the release of both drugs from each tablet. Tablets were evaluated for weight variation, drug content, friability, hardness and thickness for all batches (F1 to F12). In-vitro dissolution was studied for all batches (F1 to F12) according to the type and ratio of each polymer used within these formulas i.e. (10 mg, 20 mg and 30 mg) respectively.
Results: The release of aspirin and rosuvastatin calcium from sustained release tablets varied according to the type and amount (ratio) of each polymer used. After the 7 h release study; (F1, F2, F3) that uses xanthan gum as the sustain release polymer showed the most sustained formulations than other polymers. The sustained release of drugs from tablet enhanced by increasing the amount of polymer, so F3 for example, which contain 30 mg xanthan gum had most sustained release than F1 and F2 which contain (10 mg and 20 mg) of the polymer respectively, this due to polymer related viscosity, swelling and binding mechanisms.
Conclusion: Using suitable polymer for sustained release will enhance the pharmacokinetics and efficacy of drugs and increase patient complains about combination therapy.
Keywords: Rosuvastatin calcium, Hyperlipidemia, Aspirin, Sustain release tablet, Polymers
© 2016 The Authors. Published by Innovare Academic Sciences Pvt Ltd. This is an open access article under the CC BY license (http://creativecommons.org/licenses/by/4.0/)
INTRODUCTION
The majority of the discovered and existing drugs administered orally may face bioavailability problems because of many reasons such as poor dissolution, unpredicted absorption and inter-intra-subject variation [1]. Developed and developing countries move towards a combination therapy used for the treatment of diseases requiring long-term therapy. Combination therapy has various advantages such as less dose-dependent side effects. Further, low dose combination of two different drugs decreases the clinical and metabolic side effects that occur with a maximal dosage of an individual component of the combined tablet and so dose of one component can be decreased [2].
Oral sustained release dosage forms were the most commonly formulated and offer highest interesting in the area of novel drug delivery systems. Prolonging the gastric retention is desirable for achieving the therapeutic benefit of drugs that are absorbed in the stomach and small intestine or drugs are less soluble in or degraded by high pH they encounter at the distal part of the gastrointestinal tract (GIT). Sustain release and gastric retention mechanisms had the benefit of such drugs by improving their bioavailability, therapeutic efficacy and reduction of dose. These mechanisms had various pharmacokinetics advantages like maintenance of constant therapeutic levels over a prolonged period of time and so decrease in fluctuations in therapeutic levels [3]. The goal in designing a sustained delivery system to reduce the number of dosing and increase the effectiveness of the drugs by targeting at the site of action so reducing the dose required by providing this uniform drug delivery system. The sustained release mechanism is defined as a dosage form that release one or more drugs continuously in a predetermined pattern for a fixed period of time, either systemic or local [4]. In this approach drugs rosuvastatin calcium (RSC) and aspirin used to enhance combination therapy for patients with cardiovascular diseases and hypercholesterolemia and enhance the bioavailability of the drugs by sustaining release mechanism as compared to the single plane tablet for each one in the market. Polymers and their blends are used in the formulations to achieve sustained drug release from the dosage form.
Most thoroughly investigated and used synthetic agents are hydroxyl propyl methyl cellulose (HPMC) and sodium carboxymethyl cellulose (NaCMC) [1]. The main adverse effects associated with Aspirin (acetylsalicylic acid) are the gastrointestinal disturbances and ulcer. Sustained release tablets of aspirin provide a more constant plasma drug concentrations with the less frequent administration, also could help lower the side effects to some degree. This could prolong its safe administration and improve patient compliance [5]. Unlike other statins, rosuvastatin calcium is hydrophilic. Low solubility and bioavailability of rosuvastatin calcium when taken orally as a tablet dosage form make the pharmacist develop a new dosage form to enhance dissolution and permeation and hence bioavailability of the drug when taken orally, so sustain release approach is used to enhance bioavailability of rosuvastatin calcium [6].
MATERIALS AND METHODS
Materials
Materials were used: Rosuvastatin calcium (Atra Pharmaceuticals, India), Aspirin (Samara drug industry, Iraq), Xanthan gum (HIMEDIA Laboratories, India), Microcrystalline cellulose (MCC) (Avecil pH 102) (Sigma Aldrich CO, USA), hydroxyl propyl methyl cellulose (HPMC) K4M (HIMEDIA Laboratories, India),Chitosan (HIMEDIA Laboratories, India), Talc (Afco., india), Polyvinylpyrrolidone (PVP) (Riedel De Haen AG Seelze, Hannover, Germany), Lactose (Riedel-deltaen, Germany) and magnesium stearate (HIMEDIA Laboratories, India).
Methods
Preparation of tablets
In keeping with the concept of reducing the cost of production, a simple method was used. A direct compressed formulation consisting of two principal components was formed. These two components are the drug and the polymer that retards release of the drugs.
With appropriate choice of the polymer, compaction of the blend by direct compression would lead to the formation of a matrix tablet [7]. Sustain release tablets were prepared by direct compression method by mixing the ingredients with different ratios (drugs, polymer, lactose and PVP) after formation of a mass it compressed by single punch tablet machine. Formulas from 1 to 12 were prepared and each 3 formulas contained different polymer (as shown in table 1). Different polymers were used to evaluate the effect of polymer on the physical properties of the blend and on the formed tablets and the release of both drugs from matrix tablets formed.
Evaluation of blends
Prior to the compression into tablets, the powder was evaluated for properties like the angle of repose by funnel method, bulk density, tapped density, Carr’s index and Hausner’s ratio (as shown in table 2) [8].
Density
The tapped bulk density (TBD) and loose bulk density (LBD) were calculated by using the following equations:
Tapped bulk density = ……. Equation 1
Loose bulk density = …. .Equation 2
Compressibility: The compressibility index was determined by the Carr’s compressibility index.
Carr’s compressibility index = ……. Equation 3
Hausner’s ratio = ……… Equation 4
Evaluation of tablet
Prepared tablets were evaluated for some important parameters like weight variation, drug content, tablet friability, tablet hardness, tablet thickness (As shown in table 3) and In-vitro dissolution test which carried out by using type II (paddle type) dissolution apparatus for 7 h for each formula [2].
Weight variation
Twenty tablets were selected at random for each formula and the average weight was calculated. Not more than 2 of individual weights of tablets out from the average weight by more than the percentage deviation and none deviate by more than twice the percentage [8]. The official limit of percentage deviation is (7.5%) because the average weight of the tablet lies in the range between (130-324 mg).
Drug content
The total amount of each drug within the tablet for different formulas was analyzed by using a UV spectrophotometer by suitable dilution in volumetric flasks using solvents and read the solution at 230 nm for aspirin and 242 nm for rosuvastatin calcium [2]. The amount of each drug in each tablet was measured according to a valid calibration curve for each drug.
Friability, Hardness and thickness
Twenty tablets are taken for friability evaluation for each formula; the accepted value must be between 0.5%-1%. Friability measured by using Roche friabilator at 25 rpm for 4 min. The friability value for each formula was obtained by using the following equation [9]:
F% = × 100………… Equation 5
Hardness was performed for 10 tablets for each formula by using the Monsanto hardness tester and the average value was obtained [10].
Vernier caliper scale was used for determination thickness for tablets. Five tablets for each formula were taken and the average thickness for each formula in millimeter was obtained [2, 8].
In-vitro drug release
The In-vitro drug release of rosuvastatin calcium and aspirin were done by using dissolution apparatus type II (paddle type). Paddle speed 50 rpm in 900 ml buffer solution (pH 6.8) at 37 oC using UV-Visible spectroscopy to determine the amount of drug release after a determined period of time.
The procedure last 7 h long (n=7). Samples of (10 ml) were withdrawn every one hour and replaced by the same amount of fresh buffer (pH 6.8) to maintain sink condition and release drug concentration was measured by UV spectroscopy at 230 nm and 242 nm respectively. [6,11]
The release of drugs was affected by the type and amount of polymer used in each formula from F1 to F12.
Kinetics of drug releases profile
The cumulative amount of rosuvastatin calcium release and aspirin release from tablet were fitted to different models (zero order kinetics, first order kinetics, Higuchi model, and Korsmeyer-Peppas model) which used to characterize the kinetics of each drug release.
Statistical analysis
To investigate the significance of difference between the results from the studied formulations, the one-way analysis of variance test was used. The level of significance was set at (α 0.05), and less than this value was considered to be statistically significant.
RESULTS AND DISCUSSION
Twelve formulas were formulated and each formula contained different amount or type of polymer. Study of blend properties and tablet characteristics were done (as shown in table 2 and table 3). From the results of table 2, angle of repose determination showed good flow for all the formulas except formula 6 showed passable flow.
Compressibility index showed F1 and F8 had excellent compressibility while F4 had good compressibility and F3 had passable compressibility. The other formulas showed decrease in compressibility to poor state and this due to the composition of the polymers also used a type of polymer affect the compressibility of the blend. A Hausner ratio of less than 1.25 indicates a good flow, while greater than 1.5 indicates poor flow. A Hausner ratio between 1.25 and 1.5 added glidant normally improves flow [12].
Weight variation calculations were within the accepted value according to the USP for all formulas. Not more than two of the individual weights out from the average weight by more than the percentage deviation and none deviate by more than twice the percentage. As shown in table 3, drug content for all formulas for aspirin and rosuvastatin calcium was within the accepted values. Friability for all formulas was lie within the accepted range (0.5%-1%). Hardness for all formulas gave an idea about the sustain matrix tablet as noticed for the values which were lied between 5.1 kg/cm2 to 7.6 kg/cm2 (as shown in table 3) [12]. All the tablet formulations showed acceptable properties and complied with pharmacopeial specifications for thickness values [12].
In-vitro dissolution studies showed that two factors are affecting the release of drugs from tablet formula in (pH 6.8) buffer solution. All formulas were evaluated for 7 h in dissolution apparatus type II.
Samples taken were measured by UV spectroscopy. Each data point in the dissolution profile represents the mean of three determinations (n=3).
1-Effect of type of polymer on release profile
Four polymers used for the preparation of tablets (Xanthan gum, MCC, HPMC K4M and Chitosan). Each polymer had its hydrophilic-lipophilic properties which affect drug release also the mechanism of dissolution (Swelling, pH dependent, floating and viscosity effects) [13, 14].
Formulas (1, 4, 7, and 10) contain Xanthan gum, MCC, HPMC K4M and Chitosan respectively. All had the same amount of polymer in each tablet (10 mg).
As shown in fig. 1 which demonstrate the effect of type of polymer on the release profile of aspirin. F4 had the higher release (71% after 7 h) which contained MCC and the lower sustain release was recorded for F1 (53% after 7 h) which contained xanthan gum.
F7 which contain HPMC K4M was 56.1% and F10 was 64.3% which contain chitosan after 7 h dissolution respectively.
For rosuvastatin calcium, fig. 2 demonstrates the effect of type of polymer on the release profile. F4 had the higher release (70.7% after 7 h) (*P<0.05) which contained MCC and the lower sustain release was recorded for F1 (50% after 7 h) (*P<0.05) which contained xanthan gum.
F7 which contain HPMC K4M was 52.6% and F10 was 59.8% which contain chitosan after 7 h dissolution respectively.
Although HPMC hydration and gel formation are not affected by changes in pH, the pH of the dissolution media affects the release of drugs from HPMC matrices.
Attempts have been made to quantify the influences of the solutions containing chloride and phosphate ions at different strengths on dissolution rates from HPMC release sustain tablets [15].
Drug solubility along with HPMC K4M also affects drug release. HPMC K4M showed the most sustain release of drugs at pH 1.2 due to the low solubility of drugs and lower dissolution of the hydrophilic polymer HPMC so the release was higher at (pH 6.8) buffer solution [16].
The deformation mechanism and the physicochemical properties of the hydrophilic polymer MCC are the main factors for its performance. MCC plasticity together with its relatively low bulk density, high hygroscopicity and high surface area explains its unique binding properties. MCC is more lubricant sensitive, strain rate sensitive and cohesive. All these factors produce higher release for the drugs from tablet than other polymers [17].
Chitosan polymer is a polycationic in nature, well known for its chelating properties. So, the reactions of the cations with the negatively charged components, either ions or molecules lead to the formation of a network by ionic bridges between polymeric chains.
Ionic interactions between the negative charges of the crosslinker (drug) and cationic groups of Chitosan are the main interactions inside the network. Their nature depends on the type of crosslinker, this lead to electrostatic interactions formed between the positively charged ammonium groups (-NH4+) of chitosan and the anionic groups of the drug. The properties of pH dependent drug delivery systems can be controlled by the conditions during preparation. Systems generally exhibit pH-sensitive swelling and drug release by diffusion through their porous structure [18].
Drug release is mainly influenced by ionic interactions between chitosan chains, which depend primarily on the crosslinking density, which set during the formation of the network. An increase in cross-linking density induces a decrease in swelling and decrease in pH-sensitivity and so improving the stability of the network, and results in the decreased drug release. When pH decreases the cross-linking density becomes lesser, that lead to increase the drug release [18].
Xanthan gum in aqueous solution has been well established for many years. The disordered random coil conformation loses the ability to form a gel while the ordered elongated conformation is able to so. The formation rate of an ordered structure in xanthan gum has long been known to increase dramatically with increasing concentration of added salt. It has been proved that the presence of salt in the medium elevates the transition temperature (Tm). In addition, it has also been found that the hydrodynamic volume of this exopolysaccharide molecule changes with the ionic strength because of the changes in intramolecular electrostatic repulsion by ions. All these phenomena should reflect the viscosity and gelation properties of this polymer. The results of the viscosity measurements in a different type of ionic strength showed that the viscosity of moderately dilute xanthan gum in aqueous media is influenced by the ionic strength [13].
Table 1: Preparation of different formulas of sustained release tablets*
Ingredient |
Formulations |
|||||||||||
(mg/tab.) |
F1 |
F2 |
F3 |
F4 |
F5 |
F6 |
F7 |
F8 |
F9 |
F10 |
F11 |
F12 |
Aspirin |
100 |
100 |
100 |
100 |
100 |
100 |
100 |
100 |
100 |
100 |
100 |
100 |
Rosuvastatin |
20 |
20 |
20 |
20 |
20 |
20 |
20 |
20 |
20 |
20 |
20 |
20 |
Xanthan gum |
10 |
20 |
30 |
- |
- |
- |
- |
- |
- |
- |
- |
- |
MCC |
- |
- |
- |
10 |
20 |
30 |
- |
- |
- |
- |
- |
- |
HPMC K4M |
- |
- |
- |
- |
- |
- |
10 |
20 |
30 |
- |
- |
- |
Chitosan |
- |
- |
- |
- |
- |
- |
- |
- |
- |
10 |
20 |
30 |
Talc |
5 |
5 |
5 |
5 |
5 |
5 |
5 |
5 |
5 |
5 |
5 |
5 |
PVP |
10 |
10 |
10 |
10 |
10 |
10 |
10 |
10 |
10 |
10 |
10 |
10 |
Lactose |
40 |
30 |
20 |
40 |
30 |
20 |
40 |
30 |
20 |
40 |
30 |
20 |
Mg stearate |
5 |
5 |
5 |
5 |
5 |
5 |
5 |
5 |
5 |
5 |
5 |
5 |
*Total weight of the tablet 190 mg
Table 2: Evaluation parameters for the blend
Formula |
Angle of repose (Өo) |
Bulk density (g/ml) |
Tapped density (g/ml) |
Compressibility index |
Hausner’s ratio |
F1 |
22±2 |
0.45±0.045 |
0.5±0.026 |
10±1 |
1.11±0.4 |
F2 |
21±2.1 |
0.5±0.042 |
0.65±0.031 |
23±1.4 |
1.3±0. 41 |
F3 |
26±1.4 |
0.4±0.033 |
0.5±0.024 |
20±1.9 |
1.25±0.45 |
F4 |
23±1.8 |
0.35±0.029 |
0.42±0.036 |
16.6±2.1 |
1.2±0.51 |
F5 |
27±2.3 |
0.53±0.048 |
0.72±0.041 |
26.4±2.9 |
1.35±0.4 |
F6 |
33±2 |
0.5±0.044 |
0.78±0.033 |
35.9±2.5 |
1.56±0.53 |
F7 |
21±1.7 |
0.4±0.045 |
0.53±0.021 |
24.5±1.5 |
1.33±0.51 |
F8 |
25±2.1 |
0.55±0.053 |
0.6±0.034 |
8.3±1.04 |
1.1±0.19 |
F9 |
29±1.9 |
0.3±0.04 |
0.39±0.027 |
31.8±1.5 |
1.3±0.32 |
F10 |
24±1.88 |
0.39±0.05 |
0.54±0.041 |
27.7±1.2 |
1.38±0.49 |
F11 |
28±2.3 |
0.35±0.04 |
0.49±0.025 |
28.57±1.6 |
1.4±0.33 |
F12 |
30±2.1 |
0.5±0.048 |
0.68±0.042 |
26.4±1.1 |
1.36±0.4 |
Table 3: Evaluation parameters for the prepared tablets
Formulation |
Weight mg±SD (n=20) |
Drug content of ASP %±SD (n=3) |
Drug content of RSC %±SD (n=3) |
Friability % (n=20) |
Hardness Kg/cm2±SD (n=3) |
Thickness mm±SD (n=5) |
F1 |
189.1±1.6 |
99%±0.3 |
98.7%±0.21 |
0.6 |
5.2±0.2 |
3.1±0.021 |
F2 |
188.3±1.5 |
98.2%±0.23 |
99.5%±0.34 |
0.54 |
6.1±0.3 |
4.2±0.03 |
F3 |
189±2.1 |
101%±0.15 |
100.4%±0.3 |
0.4 |
6.7±0.33 |
4.9±0.022 |
F4 |
192±1.9 |
99.3%±0.4 |
97.0%±0.31 |
0.52 |
4.9±0.24 |
4.3±0.035 |
F5 |
191±2.4 |
98.6%±0.36 |
99.0%±0.24 |
0.41 |
5.4±0.43 |
4.5±0.015 |
F6 |
188±2.3 |
98.2%±0.11 |
102.7%±0.21 |
0.53 |
6.3±0.25 |
4.8±0.017 |
F7 |
189±2.5 |
99.5%±0.24 |
98.2%±0.27 |
0.67 |
5.5±0.11 |
3.8±0.024 |
F8 |
188.7±1.7 |
102%±0.14 |
99.4%±0.43 |
0.73 |
6.2±0.14 |
4.2±0.02 |
F9 |
191.4±2.4 |
101.6%±0.17 |
98.4%±0.37 |
0.5 |
7.6±0.24 |
4.8±0.049 |
F10 |
193±1.5 |
99%±0.26 |
101.7%±0.33 |
0.65 |
5.1±0.13 |
4.2±0.022 |
F11 |
192.5±1.54 |
98.7%±0.34 |
101.4%±0.25 |
0.58 |
6.3±0.17 |
4.8±0.036 |
F12 |
191.7±2.3 |
99.8%±0.14 |
100.4%±0.32 |
0.62 |
7.4±0.22 |
5.2±0.04 |
2-Effect of amount of polymer on release profile
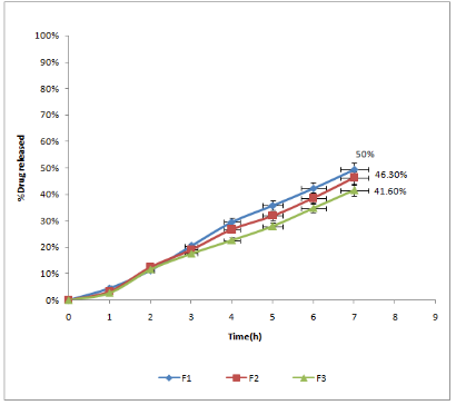
Each polymer used in 3 different amounts (10 mg, 20 mg, 30 mg) for aspirin and rosuvastatin release, as shown in fig. 3 and fig. 4 in the use of xanthan gum in F1, F2 and F3 respectively.
The release was retarded and sustained from matrix tablet by an increase in the amount of polymer in the tablet. F3 had a lower release (*P<0.05) than F1 and F2 respectively. These results indicated that increase the amount of polymer in the tablet provide more gelation, which inhibits the release of effective substance [19].
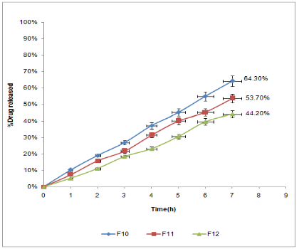
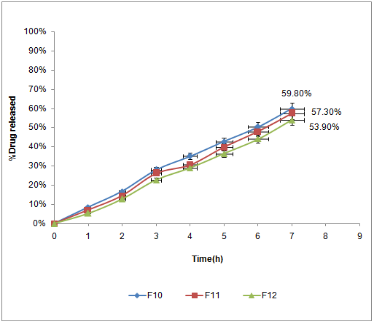
This effect was observed with the use of other polymers like MCC, HPMC K4M, and chitosan polymers as shown in fig. 5 and 6 for MCC and fig. 7 and 8 for HPMC K4M and fig. 9 and 10 for chitosan respectively.
Kinetics of drug releases profile
In-vitro release profiles for prepared formulas (F1, F4, F7 and F10) were applied to different kinetic models (zero order, first order, Higuchi model and Korsmeyer-Peppas models). The rate constant, as well as the high correlation coefficient and the best-fitted line, were obtained in order to find out the mechanism of drug release for aspirin and for rosuvastatin calcium, the release kinetics data of the formulas are given in (table 4 and table 5) respectively [6].
The highest correlation coefficient (R2) resulted with Korsmeyer-Peppas model combined with zero order in case of F1, F7 and F10 which indicates that the drug release is ruled by both diffusion of the drug and dissolution/erosion of the tablet matrix.
Fig. 1: In-vitro dissolution for studying the effect of type of polymer on the release profile of aspirin in 6.8 buffer solution (F1 contain xanthan gum, F4 contain MCC, F7 contain HPMC K4M and F10 contain chitosan)
Fig. 2: In-vitro dissolution for studying the effect of type of polymer on the release profile of rosuvastatin calcium in 6.8 buffer solution (F1 contain xanthan gum, F4 contain MCC, F7 contain HPMC K4M and F10 contain chitosan)
In Korsmeyer-Peppas model, the drug release kinetics in a most befitting manner, where the values of the diffusion exponent (n) were more than 0.5 (0.706-1.097) confirming that the formulations followed non-Fickian diffusion kinetics.
This indicates that the release mechanism shifted from diffusion-controlled to an anomalous transport (non Fickian) in which both diffusion and erosion is governing the release [20].
Fig. 3: In vitro dissolution for studying the effect of amount of polymer on the In-vitro release profile of aspirin from tablets contain xanthan gum polymer in 6.8 buffer (F1:10 mg xanthan gum, F2:20 mg xanthan gum and F3:30 mg xanthan gum)
Fig. 4: In vitro dissolution for studying the effect of amount of polymer on the In-vitro release profile of rosuvastatin calcium from tablets contain xanthan gum polymer in 6.8 buffer (F1:10 mg xanthan gum, F2:20 mg xanthan gum and F3:30 mg xanthan gum)
Fig. 5: In vitro dissolution for studying the effect of amount of polymer on the In-vitro release profile of aspirin from tablets contain MCC polymer in 6.8 buffer (F4:10 mg MCC, F5:20 mg MCC and F6:30 mg MCC)
Fig. 6: In vitro dissolution for studying the effect of amount of polymer on the In-vitro release profile of rosuvastatin calcium from tablets contain MCC polymer in 6.8 buffer (F4:10 mg MCC, F5:20 mg MCC and F6:30 mg MCC)
Fig. 7: In vitro dissolution for studying the effect of amount of polymer on the In-vitro release profile of aspirin from tablets contain HPMC K4M polymer in 6.8 buffer (F7:10 mg HPMC K4M, F8:20 mg HPMC K4M and F9:30 mg HPMC K4M)
Fig. 8: In vitro dissolution for studying the effect of amount of polymer on the In-vitro release profile of rosuvastatin calcium from tablets contain HPMC K4M polymer in 6.8 buffer (F7:10 mg HPMC K4M, F8:20 mg HPMC K4M and F9:30 mg HPMC K4M)
Fig. 9: In vitro dissolution for studying the effect of amount of polymer on the In-vitro release profile of aspirin from tablets contain chitosan polymer in 6.8 buffer (F10:10 mg chitosan, F11:20 mg chitosan and F12:30 mg chitosan)
Table 4: Kinetic modeling for different formulas for aspirin release
Formula Code |
Zero order |
First order |
Higuchi model |
Koresmeyer-Peppas model |
|||||
k ° |
R2 |
k1 |
R2 |
kH |
R2 |
kKp |
R2 |
N |
|
F1 |
7.641 |
0.9926 |
0.098 |
0.9737 |
16.732 |
0.8007 |
7.519 |
0.9912 |
1.010 |
F4 |
11.321 |
0.9013 |
0.176 |
0.9842 |
25.360 |
0.9291 |
18.451 |
0.9901 |
0.706 |
F7 |
8.242 |
0.9919 |
0.098 |
0.9737 |
18.113 |
0.8172 |
8.687 |
0.9909 |
0.969 |
F10 |
9.181 |
0.9987 |
0.125 |
0.9660 |
20.171 |
0.8192 |
9.484 |
0.9986 |
0.981 |
Table 5: Kinetic modeling for different formulas for rosuvastatin release
Formula Code |
Zero order |
First order |
Higuchi model |
Koresmeyer-Peppas model |
|||||
k ° |
R2 |
k1 |
R2 |
kH |
R2 |
kKp |
R2 |
N |
|
F1 |
7.064 |
0.9894 |
0.088 |
0.9606 |
15.383 |
0.7692 |
6.002 |
0.9925 |
1.097 |
F4 |
10.931 |
0.9626 |
0.164 |
0.9761 |
7.181 |
0.7955 |
14.944 |
0.9888 |
0.812 |
F7 |
7.674 |
0.9962 |
0.099 |
0.9811 |
16.841 |
0.8151 |
7.913 |
0.9957 |
0.982 |
F10 |
8.577 |
0.9964 |
0.114 |
0.9767 |
18.856 |
0.8239 |
9.126 |
0.9966 |
0.963 |
Fig. 10: In vitro dissolution for studying the effect of amount of polymer on the In-vitro release profile of rosuvastatin calcium from tablets contain chitosan polymer in 6.8 buffer (F10:10 mg chitosan, F11:20 mg chitosan and F12:30 mg chitosan)
CONCLUSION
Direct compression method can be used rather than wet granulation because it is an easier, simplified and economical method of manufacturing of tablets. This is widely used and a better process of manufacturing. The hydrophobic polymer matrix tablet is a promising approach to achieve appropriate sustained release dosage. Xanthan gum showed the most sustain release profile for aspirin and rosuvastatin calcium than other polymers due to the pH of the medium and mechanism of drug release. MCC polymer showed higher release in this study. Sustain release is a useful approach for less dosing interval and for combination therapy.
Other studies can be done in preparation of sustaining matrix tablet with mixed polymers which give extra benefit for modifying the release of drugs and manipulate the time of release, but compatibility study for polymers and polymer-drugs should be done using IR spectroscopy. Also other pH buffer media for dissolution can be used for study pH effect on the polymer used and its effect on the release profile of drugs.
ACKNOWLEDGMENT
Author is thankful to Atra pharmaceuticals, India and Samara drug industry, Iraq, for providing me with the gift sample of rosuvastatin calcium and aspirin. Author is also thankful to Baghdad University–college of pharmacy for providing necessary infrastructure facilities required.
CONFLICT OF INTERESTS
Declared none
REFERENCES