
aDepartment of Chemistry, Faculty of Science, On Leave to Department of Pharmaceutical Chemistry, Faculty of Pharmacy, King Khalid University, Abha, Saudi Arabia, bDepartment of Measurements and Environmental Applications, National Institute of Laser Enhanced Sciences (NILES), Cairo University, Giza, Egypt
Email: f_altalbawy@yahoo.com
Received: 24 Sep 2015 Revised and Accepted: 02 Dec 2015
ABSTRACT
Objective: Synthesis of some novel bis [3-(aryl)-2-cyanoacrylamide], bis-pyrazole, bis-thiazole and bis-triazole derivatives starting from N,N'-ethane-1,2-diylbis(2-cyanoacetamide) (1) to evaluate for their in-vitro antibacterial, antifungal and anticancer activities.
Methods: Reaction of N, N'-ethane-1,2-diylbis(2-cyanoacetamide) (1) with different aromatic and heteroaromatic aldehydes yielded the corresponding bis[3-(aryl)-2-cyanoacrylamide] derivatives, which reacted with hydrazine hydrate to give N,N'-ethane-1,2-diylbis[3-amino-5-(4-aryl)-1H-pyrazole-4-carboxamide] derivatives. Compound 1 reacted with each of thioglycolic acid, Phenyl isocyanate and elemental sulfur in presence triethylamine to give bis-thiazole derivatives. Diazotization of 1 with the desired diazonium chloride yielded the bis-hydrazone derivatives. The latter compounds refluxed with hydroxylamine hydrochloride and chloro- acetonitrile to give bis-triazole and bis-pyrazole derivatives respectively.
Results: The structures of the newly synthesized compounds were confirmed by elemental analysis, IR, 1H NMR, [13]C NMR and mass spectral data. A total fourteen new synthesized compounds were evaluated for their in-vitro antibacterial, antifungal and anticancer activities against human liver cancer cell line (HEPG-2).
Conclusion:The results obtained indicated that some of such compounds showed promising activities against Gram-positive, Gram-negative bacteria, fungi and anticancer activity in relation to the reference drugs ampicillin, gentamicin, Amphotericin B and vinblastine respectively.
Keywords: Bis-pyrazole, Bis-thiazole, Bis-triazole, Antibacterial and antifungal activities, Anticancer activity.
© 2016 The Authors. Published by Innovare Academic Sciences Pvt Ltd. This is an open access article under the CC BY license (http://creativecommons.org/licenses/by/4.0/)
INTRODUCTION
Many compounds with pyrazole ring have been reported to exhibit diverse bioactivities such as antidepressant [1], anticonvulsant [2], antimicrobial [3], analgesic [4], anticancer [5] activity and also serve as human acyl-CoA: cholesterol acyltransferase inhibitors [6]. In addition, bis-heterocyclic compounds which contain pyrazole have rarely been reported. Also, Thiazole derivatives have been reported to possess several biological activities such as antimicrobial [7,8], anti-inflammatory [9], antioxidant [10], anti-HIV [11] and antiallergic activities [12]. On the other hand, 1, 2, 4-triazole derivatives are potentially active anticancer [13], antiviral [14], anti-inflammatory [15], analgesic [16] and antidepressant [17]. In addition, recent reports indicate that bis-heterocycles displayed much better antibacterial activity than the mono heterocycles [18].
In view of the above-mentioned observations and as continuation of our efforts in the synthesis of new biologically active heterocyclic compounds [19-30] we reported herein a facile routes for the synthesis of some novel bis[3-(aryl)-2-cyanoacrylamide], bis-pyrazole, bis-thiazole and bis-triazole derivatives starting fromN,N'-ethane-1,2-diylbis(2-cyanoacetamide) (1) [30] as an excellent building block for the synthesis of the title compounds in order to investigate their biological and anticancer activities against a human liver cell line (HEPG-2).
MATERIALS AND METHODS
Melting points were determined on an electrothermal melting points Gallen-lamp apparatus is uncorrected. The IR (cm-1) spectra were measured on a Pye-Unicam SP300 instrument in potassium bromide discs. The 1H NMR and [13]C NMR spectra were recorded in CDCl3 or (CD3)2S on a Varian Mercury VXR-300 spectrometer (300 MHz) using TMS as an internal reference, and chemical shifts are expressed as δ palm units. Mass spectra were recorded on a GCMS-Q1000-EX Shimadzu and GCMS 5988-A HP spectrometers, the ionizing voltage was 70 eV. Elemental analyses were performed at the Microanalytical Center in Cairo University. Antibacterial, antifungal and anticancer activity assays were carried out in the Regional Center for Mycology and Biotechnology of Al-Azhar University, Cairo, Egypt. Compound N,N'-Ethane-1,2-diylbis(2-cyanoacetamide) (1) was prepared according to literature [30].
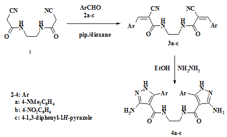
Synthesis of N,N'-ethane-1,2-diylbis[3-(aryl)-2-cyanoacrylamide] 3a-c
General procedure To a solution of N,N'-ethane-1,2-diylbis(2-cyanoacetamide) (1) (1.94 g, 0.01 mol) and the appropriate aromatic aldehydes 2a-c (0.02 mol of each) in dioxane (30 ml), was added a few drops of piperidine and the reaction mixture was heated under reflux for 6 h then left to cool. The solid product formed was collected by filtration, dried and then crystallized from DMF to afford the corresponding compounds 3a–c.
N,N'-Ethane-1,2-diylbis[3-(4-(dimethylamine)phenyl)-2-cyanoacrylamide] (3a)
Yellow solid, from DMF, m. p.>300 °C, yield 68%. IR (KBr), n = 3348 (NH), 2197 (C≡N), 1660 (C=O) cm-1. 1H NMR [(CD3)2SO]: δ = 3.05 (s, 12H, 4CH3), 3.58 (s, 4H, 2NCH2), 6.8 (d, 4H, J = 9.0 Hz, ArH), 7.85 (d, 4H, J = 9.0 Hz, ArH), 7.96 (s, 2H, 2CH), 8.18 (s, 2H, D2O-exchangeable, 2NH). [13]C NMR [(CD3)2SO]: δ = 37.80, 41.70, 75.88, 106.44, 121.11, 127.16, 142.10, 159.18, 162.32, 171.20. MS m/z (%): 458 (M++2, 2.3), 457 (M++1, 7.9), 456 (M+, 27.8), 455 (11.6), 241 (0.5), 199 (100). Anal. Calcd. for C26H28N6O2 (m/z, 456): C, 68.40; H, 6.18; N, 18.41. Found: C, 68.37; H, 6.15; N, 18.40%.
N, N'-Ethane-1, 2-diylbis[3-(4-nitrophenyl)-2-cyanoacrylamide] (3b)
Orange crystals, from DMF, m. p.>300 °C, yield 66%. IR (KBr), n = 3365 (NH), 2216 (C≡N), 1679 (C=O) cm-1. 1H NMR [(CD3)2SO]: δ = 3.43 (s, 4H, 2NCH2), 8.12 (d, 4H, J = 9.0 Hz, ArH), 8.3 (s, 2H, 2CH), 8.38 (d, 4H, J = 9.0 Hz, ArH), 8.71 (s, 2H, D2O-exchangeable, 2NH). [13]C NMR [(CD3)2SO]: δ = 41.72, 75.79, 78.80, 80.82, 108.77, 113.93, 133.68, 140.41, 168.99. MS m/z (%): 460 (M+, 0.9), 459 (0.9), 243 (58.8), 201 (100), 184 (16.3), 155 (67.7), 127 (50.4), 100 (20.5), 76 (23.6). Anal. Calcd. for C22H16N6O6 (m/z, 460): C, 57.39; H, 3.50; N, 18.25. Found: C, 57.39; H, 3.54; N, 18.22%.
N,N'-Ethane-1,2-diylbis[3-(1,3-diphenyl-1H-pyrazol-4-yl)-2-cyanoacrylamide] (3c)
Yellow solid, from DMF, m. p. 282, yield 57%. IR (KBr), n = 3435 (NH), 2201 (C≡N), 1681 (C=O) cm-1. 1H NMR [(CD3)2SO]: δ = 3.37 (s, 4H, 2CH2), 7.44-7.52 (m, 12H), 7.53-7.65 (m, 4H), 7.92-7.95 (m, 4H), 8.05 (s, 2H), 8.49 (s, 2H), 9.14 (s, 2H, 2NH). MS m/z (%): 655 (M++1, 3.2), 654 (M+, 8.0), 327 (27.5), 219 (1.7), 77 (100). Anal. Calcd. for C40H30N8O2 (m/z, 654): C, 73.38; H, 4.62; N, 17.11. Found: C, 73.32; H, 4.61; N, 4.60%.
N,N'-Ethane-1,2-diylbis[3-amino-5-(4-aryl)-1H-pyrazole-4-carboxamide] (4a-c)
General procedure To a solution of the appropriate bis-acrylamide 3a-c (0.01 mol) in ethanol (30 ml), hydrazine hydrate (80%, 4 ml, 0.02 mol) was added. The reaction mixture was heated under reflux for 5 h then left to cool. The solid product so formed was filtered, washed with EtOH, dried and then crystallized from the appropriate solvent.
N,N'-Ethane-1,2-diylbis[3-amino-5-(4-(dimethylamine)phenyl)-1H-pyrazole-4-carboxamide] (4a)
Yellow solid, from DMF, m. p.>300 °C, yield 60%. IR (KBr), n = 3315, 3189 (NH, NH2), 1678 (C=O) cm-1. 1H NMR [(CD3)2SO]: δ = 3.08 (s, 12H, 4CH3), 3.31 (s, 4H, 2CH2), 6.87 (s,4H, 2NH2), 7.35 (d, 4H, ArH), 7.94 (d, 4H, ArH), 9.47 (s, 2H, 2NH), 10.39 (s, 2H, 2NH). MS m/z (%): 518 (M++2, 1.1), 517 (M++1, 3.2), 516 (M+, 5.6), 276 (35.8), 230 (14.8), 77 (100). Anal. Calcd. for C26H32N10O2 (m/z, 516): C, 60.45; H, 6.24; N, 27.11. Found: C, 60.40; H, 6.20; N, 27.10%.
N,N'-Ethane-1,2-diylbis[3-amino-5-(4-nitrophenyl)-1H-pyrazole-4-carboxamide] (4b)
Yellow crystals, from DMF, m. p.>300 °C, yield 78%. IR (KBr), n = 3429, 3086 (NH, NH2), 1689 (C=O) cm-1. 1H NMR [(CD3)2SO]: δ = 3.65 (s, 4H, 2CH2), 7.21 (s, 4H, 2NH2), 7.48 (d, 4H, ArH), 7.88 (d, 4H, ArH), 9.51 (s, 2H, 2NH), 10.29 (s, 2H, 2NH). MS m/z (%): 522 (M++2, 3.8), 520 (M+, 8.4), 518 (M+-2, 22.5), 246 (10), 205 (27.5), 176 (97.5), 77 (100). Anal. Calcd. for C22H20N10O6 (m/z, 520): C, 50.77; H, 3.87; N, 26.91. Found: C, 50.73; H, 3.82; N, 26.88%.
N,N'-Ethane-1,2-diylbis[5-amino-1',3'-diphenyl-1'H,2H-3,4'-bipyrazole-4-carboxamide] (4c)
Yellow, from DMF, m. p.>300 °C, yield 55%. IR (KBr), n = 3427, 3320 (NH, NH2), 1671 (C=O) cm-1. 1H NMR [(CD3)2SO]: δ = 3.30 (s, 4H, 2NCH2), 7.37 (s, 4H, 2NH2), 7.39-7.55 (m, 12H, ArH), 7.60-8.00 (m, 10H, ArH), 9.19 (s, 2H, 2NH), 9.47 (s, 2H, 2NH). MS m/z (%): 716 (M++2, 1.8), 714 (M+, 6.5), 637 (15), 560 (35), 494 (27.5), 493 (56), 416 (85), 175(45), 77 (100). Anal. Calcd. for C40H34N12O2 (m/z, 714): C, 67.21; H, 4.79; N, 23.52. Found: C, 67.18; H, 4.77; N, 23.50%.
N,N'-Ethane-1,2-diylbis[2-(4-oxo-4,5-dihydrothiazol-2-yl) acetamide] (6)
A mixture of compound 1 (1.94 g, 0.01 mol) and thioglycolic acid (1.84 g, 0.02 mol) in acetic acid (40 ml) was heated to reflux for 3 h then left to cool. The formed solid product was collected by filtration, washed with ethanol, dried and then crystallized to give compound 6. Yellow crystals, from DMF, m. p. 296 °C, yield 56%. IR (KBr), n = 3397 (NH), 1716 (C=O), 1635 (C=O) cm-1; 1H NMR [(CD3)2SO]: δ = 3.12 (s, 4H, 2CH2), 3.59 (s, 4H, 2NCH2), 5.56 (s, 2H, 2CH), 7.72 (s, 2H, 2NH), 11.23 (s, 2H, 2OH); MS m/z (%): 342 (M+, 7.1), 341 (7.8), 171 (14.9), 99 (2.8). Anal. Calcd. for C12H14N4O4S2 (m/z, 342): C, 42.09; H, 4.12; N, 16.36; S, 18.73. Found: C, 42.05; H, 4.10; N, 16.29; S, 18.71%.
N,N'-Ethane-1,2-diylbis(4-amino-3-phenyl-2-thioxo-2,3-dihydrothiazole-5-carboxamide) (7)
To a solution of compound 1 (1.94 g, 0.01 mol) in EtOH containing triethylamine (1 ml), elemental sulfur (0.64 g, 0.02 mol) and phenyl isothiocyanate (2.72 g, 0.02 mol) were added to the resulting mixture was heated at 60 oC for 2h, under continuous stirring, then cooled and neutralized by pouring onto ice/water mixture containing a few drops of hydrochloric acid. The precipitate formed was collected by filtration, washed with EtOH, dried and then crystallized to give product 7. Yellow solid, from EtOH-DMF, m.p. 282 °C, yield 66 %. IR (KBr), n = 3437, 3367, 3250 (NH, NH2), 1618 (C=O) cm-1. 1H NMR [(CD3)2SO]: δ = 3.28 (s, 4H, 2CH2), 6.70 (s, 4H, 2NH2), 7.33-7.36 (m, 4H), 7.57-7.65 (m, 8H, ArH+2NH). MS m/z (%): 530 (M++2, 0.6), 529 (M++1, 0.9), 528 (M+, 2.4), 321 (1.1), 264 (1.9), 207 (6.4), 77 (100). Anal. Calcd. for C22H20N6O2S4 (m/z, 528): C, 49.98; H, 3.81; N, 15.90; S, 24.26. Found: C, 49.95; H, 3.80; N, 15.89; S, 24.22%.
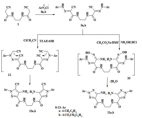
Coupling of compound 1 with the appropriate diazonium salt of aromatic amines
General procedure To a cold solution of compound 1 (1.49 g, 0.01 Mol) in ethanol (50 ml), in the presence of sodium acetate trihydrate (3 g), was added the appropriate diazonium salt of aromatic amine (4-methylaniline or methyl 4-aminobenzoate) (0.02 mol), (prepared according to literature procedures [31]). The addition was carried out portion wise with continuous stirring at 0-5 oC over a period of 1 h. After complete addition, the reaction mixture was stirred for further 4h and finally diluted with water. The precipitated solid formed was collected by filtration, dried and then crystallized from the dioxane to give the corresponding coupling products 9a,b.
N,N'-Ethane-1,2-diylbis[(2-(4-methylphenyl)hydrazono)-2-cyanoacetamide] (9a)
Yellow crystals, from dioxane, m. p. 251 oC, yield 80%; IR (KBr), n = 3315, 3235 (2NH), 2925 (aliphatic CH), 2212 (C≡N), 1645 (C=O) cm-1. 1H NMR [(CD3)2SO]: δ = 2.26 (s, 6H, 2 CH3), 3.37 (s, 4H, 2NCH2), 7.16 (d, 4H, J =7.8 Hz), 7.53 (d, 4H, J =7.8 Hz), 8.34 (s, 2H, D2O-exchangeable, 2NH), 11.66 (s, 2H, D2O-exchangeable, 2NH). [13]C NMR [(CD3)2SO]: δ = 20.38, 38.41, 106.74, 111.44, 115.79, 129.49, 133.02, 139.83, 161.29. MS m/z (%): 430 (M+, 27.8), 429 (27.8), 368 (33.3), 248 (22.2), 186 (27.8), 106 (50), 91 (83.3). Anal. Calcd. for C22H22N8O2 (m/z, 430): C, 61.38; H, 5.15; N, 26.03. Found: C, 61.35; H, 5.12; N, 26.00%.
N,N'-Ethane-1,2-diylbis[(2-(4-methylbenzoate)hydrazono)-2-cyanoacetamide] (9b)
Yield (85%), mp 205 oC (from dioxane). IR (KBr), n = 3317, 3153 (2NH), 2211 (C≡N), 1659 (C=O) cm-1; 1H NMR [(CD3)2SO]: δ = 3.30 (s, 4H, 2NCH2), 3.93 (s, 6H, 2 CH3), 7.20-8.38 (m, 8H, ArH), 8.59 (s, 2H, D2O-exchangeable, 2NH), 12.33 (s, 2H, D2O-exchangeable, 2NH). MS m/z (%): 486 (M+, 32.0), 356 (13.1), 273 (11.3), 230 (100), 151 (87.4). Anal. Calcd for C24H22N8O6 (m/z, 518): C, 55.60; H, 4.28; N, 21.61. Found: C, 55.58; H, 4.25; N, 21.60%.
Synthesis of bis-triazole derivatives 11a,b
General procedure To a mixture of bis-hydrazone 9a,b (0.01 mol) and hydroxylamine hydrochloride (1.40 g, 0.02 mol) in DMF (30 ml), anhydrous sodium acetate (0.5 g) was added, and the reaction mixture was heated to reflux for 4 h, and then left to cool. The precipitated product formed was collected by filtration, dried and then crystallized from the appropriate solvent.
N,N'-ethane-1,2-diylbis[5-amino-2-(4-methylphenyl)-2H-1,2,3-triazole-4-carboxamide] (11a)
Yellow crystals, from DMF, m. p.>300 oC, yield 73%. IR (KBr), n = 3479, 3333 (NH2, NH), 1649 (C=O) cm-1; 1H NMR [(CD3)2SO]: δ = 2.22 (s, 6H, 2CH3), 3.31 (s, 4H, 2NCH2), 5.89 (s, 4H, D2O-exchangeable, 2NH2), 7.31-7.39 (m, 8H, ArH), 7.77 (s, 2H, D2O-exchangeable, 2NH). MS m/z (%): 460 (M+, 38.5), 210 (46.2), 157 (46.2), 116 (53.8), 105 (15.4), 91(100), 66 (30.6), 52 (92.3). Anal. Calcd for C22H24N10O2 (m/z, 460): C, 57.38; H, 5.25; N, 30.42. Found: C, 57.35; H, 5.22; N, 30.40%.
N,N'-ethane-1,2-diylbis[(methyl 4-(5-amino-2H-1,2,3-triazol-2-yl)benzoate)-4-carboxamide] (11b)
Yellow, from DMF, m. p.>300 °C, yield 65%. IR (KBr), n = 3321, 3220 (NH, NH2), 1655 (C=O) cm-1. 1H-NMR ([(CD3)2SO]: δ = 2.31 (s, 6H, 2CH3), 3.32 (s, 4H, 2NCH2), 6.55 (s, 4H, 2NH2), 7.40 (d, 4H, ArH), 7.65 (d, 4H, ArH), 8.93 (s, 2H, 2NH). MS m/z (%): 550 (M++2, 2.2), 548 (M+, 3.4), 533 (2.9), 261 (11.0), 244 (32.7), 216 (3.6), 119 (100), 77 (51.5). Anal. Calcd. for C24H24N10O6 (m/z, 548): C, 52.55; H, 4.41; N, 25.54. Found: C, 52.51; H, 4.40; N, 25.52%.
Synthesis of bis-pyrazole derivatives 13a,b
General procedure To a mixture of bis-hydrazone 9a,b (0.01 mol) and chloro- acetonitrile (0.02 mol) in dioxane (40 ml) triethylamine (0.5 ml) was added, and the reaction mixture was heated under reflux for 6 h, and then left to cool. The precipitated product was filtered off and purified by recrystallization from the suitable solvent to afford the corresponding bis-pyrazole derivatives 13a,b.
N, N'-Ethane-1,2-diylbis[4-amino-5-cyano-1-(4-methylphenyl)-1H-pyrazole-3-carboxamide] (13a)
Yellow solid, from dioxane, m. p. 271 oC, yield 84%. IR (KBr), n = 3347, 3181 (NH, NH2), 2955 (aliphatic CH), 2211 (C≡N), 1650 (C=O) cm-1. 1H NMR [(CD3)2SO]: δ = 2.26 (s, 6H, 2 CH3), 3.37 (s, 4H, 2NCH2), 7.14 (d, 4H, J = 8.4 Hz), 7.54 (d, 4H, J = 8.4 Hz), 8.37 (s, 4H, D2O-exchangeable, 2NH2), 11.67 (s, 2H, D2O-exchangeable, 2NH). MS m/z (%): 508 (M+, 32.4), 452 (22.1), 313 (13.2), 216 (25), 167 (14.7), 157 (20.6), 106 (58.8), 91 (100), 77 (64.7). Anal. Calcd. for C26H24N10O2 (m/z, 508): C, 61.41; H, 4.76; N, 27.54. Found: C, 61.40; H, 4.72; N, 27.52%.
N, N'-Ethane-1,2-diylbis[(methyl 4-(4-amino-5-cyano-1H-pyrazol--yl)benzoate)-3-carboxamide] (13b)
Yellow solid, from dioxane, m. p. 221 oC, yield 76%. IR (KBr), n = 3315, 3235 (NH, NH2), 2925 (aliphatic CH), 2212 (C≡N), 1645 (C=O) cm-1. 1H NMR [(CD3)2SO]: δ = 3.37 (s, 4H, 2NCH2), 3.61 (s, 6H, 2CH3), 7.20 (d, 4H, J = 8.4 Hz), 7.52 (d, 4H, J = 8.4 Hz), 8.35 (s, 4H, D2O-exchangeable, 2NH2), 11.67 (s, 2H, D2O-exchangeable, 2NH). MS m/z (%): 596 (M+, 1.0), 582 (1.0), 429 (4.1), 311 (42.3), 152 (2.7), 134 (6.3), 116 (1.9), 105 (54.8), 106 (100), 91 (99.7), 77 (41.6). Anal. Calcd. for C28H24N10O6 (m/z, 596): C, 56.37; H, 4.06; N, 23.48. Found: C, 56.35; H, 4.05; N, 23.45%.
Pharmacology
Diffusion plate well method to determine the antimicrobial activity
The antibacterial and antifungal activity assays were carried out in the Medical Mycology Laboratory of the Regional Center for Mycology and Biotechnology of Al-Azhar University, Cairo, Egypt using the diffusion plate method [32–34] as follows: a bottomless cylinder containing a measured quantity (1 ml, 5 mg/ml) of the sample was placed on a plate (9 cm diameter) containing a solid bacterial medium (nutrient agar broth) or fungal medium, which had been heavily seeded with a spore suspension of the test organism. After incubation (24 h for bacteria and 5 d for fungi), the diameter of the clear zone of inhibition surrounding the sample was taken as a measure of the inhibitory power of the sample against the particular test organism. The solvent used was DMSO and the concentration of the sample used was 100 μg/ml.
In vitro anticancer activity against human liver cancer cell line (HEPG2)
The method applied is similar to that reported by Vijayan et al. [35] using Crystal violet stain (1%). Cells were plated in the 96-multiwell plate at a cell concentration (104 cells/well) for 24 h before treatment with the tested compound in 100 µl of growth medium. Serial two-fold dilutions of the tested chemical compound were added to confluent cell monolayers, dispensed into 96-wel, flat-bottomed microtiter plates using a multichannel pipette. The microtiter plates were incubated at 37 °C in a humidified incubator with 5% CO2 for 48 h. Three wells were used for each concentration of the test sample. Control cells were incubated without test sample with DMSO. After incubation of the cells for 24 h at 37 oC, different concentrations of the tested compounds (0, 1.56, 3.125, 6.25, 12.5, 25, and 50 µg/ml) were added, and the incubation was continued for 48 h and the viable cells yield was determined by a colorimetric method. After the end of incubation period, media were aspirated, and the crystal violet solution was added to each well for at least 30 min. The stain was removed, and the plates were rinsed using tap water until all excess stain is removed. Glacial acetic acid (30%) was then added to all wells and mixed thoroughly, and then the absorbance of the plates was measured after gently shaken on Microplate reader, using a test wavelength of 490 nm. All results were corrected for background absorbance detected in wells without added stain. Treated samples were compared with the cell control in the absence of the tested compounds. All experiments were carried out in triplicate; the results were taken as a mean of three determinations. The 3-(4,5-dimethylthiazol-2-yl)-2,5-diphenyl tetrazolium bromide (MTT) assay and vinblastine were used as a reference drug. The relation between surviving fraction and tested compound concentration is plotted to get the survival curve of cancer cell line and IC50 of each tested compound was calculated.
RESULTS AND DISCUSSION
Bis-cyanoacetamide derivatives are active intermediates and excellent starting materials for the synthesis of several bis-heterocyclic compounds. Thus, the present study began with the Knoevengel condensation of bis-cyanoacetamide 1 with the appropriate aromatic and heteroaromatic aldehyde 2a-c to give the corresponding bis-acrylamide derivatives 3a-c in good yield. The structure of the reaction products 3a-c were established and confirmed by their elemental analysis and spectral data (MS, IR, 1HNMR, [13] CNMR). Thus, the structure of 3a is supported by its mass spectrum, which showed a molecular ion peak corresponding to the formula C26H28N6O2 (M+, 456). Its 1H NMR spectrum showed signals at δ = 3.05 ppm (s, 12H, 4CH3), δ = 3.58 ppm (s, 4H, 2NCH2), δ = 6.8 (d, 4H, J = 9.0 Hz, ArH), δ = 7.85 (d, 4H, J = 9.0 Hz, ArH), δ = 7.96 (s, 2H, 2CH), δ = 8.18 (s, 2H, D2O-exchangeable, 2NH). Moreover, [13]C NMR spectrum showed the presence of peaks at δ = 37.80, 41.70, 75.88, 106.44, 121.11, 127.16, 142.10, 159.18, 162.32, 171.20 and The IR spectrum revealed absorption bands at 1660 (CO), 2197 (CN) and 3348 (NH) (Scheme 1).
Our study was extended to include the synthesis of new bis-pyrazole derivatives. Thus, when the bis-acrylamide derivatives 3a-c was reacted under refluxes with hydrazine hydrate in ethanol gave the corresponding bis-pyrazole 4a-c in good yields. The structure of the reaction products 4a-c were established and confirmed by their elemental analysis and spectral data (MS, IR, 1H NMR). Thus, the structure of 4a is supported by its mass spectrum, which showed a molecular ion peak corresponding to the formula C26H32N10O2 (M+, 516). 1H NMR spectrum showed signals at δ = 3.08 ppm (s, 12H, 4CH3), δ = 3.31 ppm (s, 4H, 2CH2), δ = 6.87 ppm (s, 4H, 2NH2), δ = 7.35 ppm (d, 4H, ArH), δ = 7.94 ppm (d, 4H, ArH), δ = 9.47 ppm (s, 2H, 2NH), δ = 10.39 ppm (s, 2H, 2NH) and The IR spectrum revealed absorption bands at 3315, 3189 (NH, NH2), 1678 (C=O) (Scheme 1).
Scheme 1: Synthesis of N, N'-Ethane-1,2-diylbis[3-aryl-2-cyanoacrylamide] (3a-c) and bis-pyrazole derivatives 4a-c
In view of the growing biological importance of thiazole derivatives, it was considered of interest to synthesizing some new bis-thiazoles. Thus, cyclocondensation of bis-cyanoacetamide 1 with thioglycolic acid in refluxing acetic acid afforded bis-thiazole derivative 6 was confirmed on the basis of elemental analysis, spectral data 1H NMR spectrum showed signals at δ = 3.12 ppm (s, 4H, 2CH2); δ = 3.59 (s, 4H, 2NCH2); 5.56 (s, 2H, 2CH), 7.72 (s, 2H, 2NH), 11.23 (s, 2H, 2OH). The IR spectrum revealed absorption bands at 3397 (NH), 1716 (C=O), 1635 (C=O). A formation of 6 is assumed to proceed via the initial nucleophilic addition of the mercapto function to the Nitrile group, followed by intramolecular cyclization and elimination of the two water molecules to afford thiazole derivative 6 (scheme 2).
Also, the bis-cyanoacetamide 1 were reacted with sulfur and phenyl isothiocyanate in refluxing ethanol containing a catalytic amount of triethylamine, afforded N, N'-Ethane-1,2-diylbis(4-amino-3-phenyl-2-thioxo-2,3-dihydrothiazole-5-carboxamide) (7) The structure of the reaction product 7 was confirmed by their elemental analysis and spectral data (MS, IR, 1H NMR). Thus, a structure of 7 is supported by its mass spectrum, which showed a molecular ion peak corresponding to the formula C22H20N6O2S4 (M+, 528). The 1H NMR spectrum showed signals at δ = 3.28 ppm (s, 4H, 2CH2), δ = 6.70 ppm (s, 4H, 2NH2), δ = 7.33-7.36 ppm (m, 4H, ArH), δ = 7.57-7.65 ppm (m, 8H, ArH+2NH) and The IR spectrum revealed bands at 3437, 3367, 3250 (NH, NH2), 1618 (C=O) (Scheme 2).
Scheme 2: Synthesis of bis-thiazol derivatives 6 and 7
Next, coupling products derived from reactions of diazonium salts with active methylene compounds are widely used as intermediates for the synthesis of a large number of heterocyclic compounds [36-38]. Also, heterocyclic azo compounds are well known for their use as antineoplastics, [39] antidiabetics, [40] antiseptics, [41] antibacterial, [42] and are known to be involved in a number of biological reactions such as inhibition of DNA, RNA and protein synthesis, carcinogenesis and nitrogen fixation [41,43]. Thus, bis-cyanoacetamide 1 coupled with diazonium salts 8a,b derived from the appropriate aromatic amines (4-methylaniline and 4-methoxycarbonylaniline) in EtOH buffered with sodium acetate, to afford the respective hydrazones 9a,b (scheme 3). The structure of the reaction products 9a, b was confirmed by their elemental analysis and spectral data (MS, IR, 1H NMR, [13]C NMR). Thus, the structure of 9a is supported by its mass spectrum, which showed a molecular ion peak corresponding to the formula C22H22N8O2 (M+, 430). The 1H NMR spectrum showed signals at δ = 2.26 ppm (s, 6H, 2 CH3), δ = 3.37 ppm (s, 4H, 2NCH2), δ = 7.16 ppm (d, 4H, J = 7.8 Hz), δ = 7.53 ppm (d, 4H, J = 7.8 Hz), δ = 8.34 ppm (s, 2H, D2O-exchangeable, 2NH), δ = 11.66 ppm (s, 2H, D2O-exchangeable, 2NH). Moreover, [13]C NMR spectrum showed the presence of peaks at δ = 20.38, 38.41, 106.74, 111.44, 115.79, 129.49, 133.02, 139.83, 161.29 and The IR spectrum revealed absorption bands at 3315, 3235 (2NH), 2925 (aliphatic CH), 2212 (C≡N), 1645 (C=O). In the 1H NMR spectra of compounds 9a, b indicated that the absence of signal assignable to azomethine group (CH-N=N-) [44] at δ = 3.00-4.00 ppm ruled out azo form and support the hydrazone structure of the reaction products.
Also compounds 9a,b reacted with hydroxylamine hydrochloride in refluxing DMF containing a catalytic amount of anhydrous sodium acetate give bis-triazole-4-carboxamide derivatives 11a,b The structure of the reaction products 11a,b were determined and confirmed by their elemental analysis and spectral data (MS, IR, 1H NMR). Thus, the structure of 11a is supported by its mass spectrum, which showed a molecular ion peak corresponding to the formula C22H24N10O2 (M+, 460). The 1H NMR spectrum showed signals at δ = 2.22 (s, 6H, 2CH3), δ = 3.31 ppm (s, 4H, 2NCH2), δ = 5.89 ppm (s, 4H, D2O-exchangeable, 2NH2), δ = 7.31-7.39 ppm (m, 8H, ArH), δ = 7.77 ppm (s, 2H, D2O-exchangeable, 2NH) and The IR spectrum revealed absorption bands at 3479, 3333 (NH2, NH), 1649 (C=O). The formation of 11 from 9 and hydroxylamine hydrochloride is assumed to proceed via an initial addition of the amino group of hydroxylamine to the cyano moiety in the hydration 9a, b to form intermediates 10, followed by intramolecular cyclization via elimination of two water molecules to give bis-1,2,3-triazole 11a,b (scheme 3).
Scheme 3: Synthesis of bis-triazol and bis-pyrazol derivatives 11a,b and 13a,b
Furthermore, treatment of hydrazone 9a,b with chloro- acetonitrile in refluxing dioxane containing a catalytic amount of triethylamine afforded the bis-pyrazole derivatives 13a,b in good yields. The structure of the reaction products 13a,b were confirmed from their elemental analysis and spectral data (MS, IR, 1H NMR). Thus, the structure of 13a is supported by its mass spectrum, which showed a molecular ion peak corresponding to the formula C26H24N10O2 (M+, 508). The 1H NMR spectrum showed signals at δ = 2.26 ppm (s, 6H, 2 CH3), δ = 3.37 ppm (s, 4H, 2NCH2), δ = 7.14 ppm (d, 4H, J = 8.4 Hz), δ = 7.54 ppm (d, 4H, J = 8.4 Hz), δ = 8.37 ppm (s, 4H, D2O-exchangeable, 2NH2), δ = 11.67 ppm (s, 2H, D2O-exchangeable, 2NH) and The IR spectrum revealed absorption bands at 3347, 3181 (NH, NH2), 2955 (aliphatic CH), 2211 (C≡N), 1650 (C=O). The formation of 13 from 9 and chloro- acetonitrile is assumed to proceed via intermediary 12 (Scheme 3).
Antimicrobial screening
The in vitro antimicrobial activity of newly synthesized compounds 3a-c, 4a-c, 6, 7, 9a,b, 11a,b and 13a,b were determined against Gram-positive bacteria as Staphylococcus aureus (RCMB-010010) (SA) and Bacillis subtilis (RCMB-010067) (BS) and Gram-negative bacteriaas Pseudomonas aeruginosa (RCMB-010043) (PA) and Escherichia coli (RCMB-010052) (EC). They were also determined against antifungal activity as Aspergillus fumigatus (RCMB-02568) (AF), Syncephalastrum racemosum (RCMB-05922) (SR), Geotricum candidum (RCMB-05097) (GC) and Candida albicans (RCMB-05036) (CA) fungal strains. Inhibition zone diameter (IZD) in mm was used as the criterion for the antimicrobial activity using the diffusion technique [40-42]. The fungicide Amphotericin B and the bactericides Ampicillin and Gentamicin were used as references to determine the potency of the new tested compounds [45]. The results are given in (table 1) and (table 2).
Table 1: Antimicrobial activities of the new compounds
Compd no. |
Diameter of inhibition zone in (mm) |
|||
Gram (+) |
Gram (-) |
|||
(SA) |
(BS) |
(PA) |
(EC) |
|
3a |
15.2±0.21 |
16.9±0.08 |
NA |
11.8±0.5 |
3b |
14.1±0.5 |
14.8±0.10 |
NA |
9.3±0.5 |
3c |
NA |
NA |
NA |
NA |
4a |
17.4±0.04 |
19.2±0.03 |
NA |
13.7±0.04 |
4b |
14.9±0.01 |
15.9±0.03 |
NA |
11.2±0.5 |
4c |
18.9±0.01 |
19.9±0.03 |
NA |
15.8±0.5 |
6 |
9.8±0.2 |
10.4±0.30 |
8.3±0.1 |
10.9±0.3 |
7 |
10.3±0.55 |
11.3±0.25 |
10.3±0.55 |
11.3±0.25 |
9a |
17.3±0.09 |
20.3±0.08 |
11.9±0.05 |
17.9±0.02 |
9b |
20.1±0.04 |
22.4±0.07 |
15.8±0.09 |
22.4±0.08 |
11a |
13.2±0.01 |
14.3±0.07 |
NA |
8.3±0.2 |
11b |
23.7±0.03 |
25.2±0.04 |
20.4±0.06 |
24.4±0.04 |
13a |
14.4±0.01 |
15.2±0.03 |
NA |
10.4±0.2 |
13b |
17.4±0.04 |
19.2±0.03 |
NA |
13.7±0.04 |
Ampicillin |
23.8±0.2 |
32.4±0.3 |
- |
- |
Gentamicin |
- |
- |
17.3±0.1 |
19.9±0.3 |
*NA: No activity, data is expressed in the form of mean±SD
*Data are expressed in the form of mean±SD. Mean zone of inhibition in mm±standard deviation beyond the well diameter; (6 mm) produced on a range of environmental and clinically pathogenic microorganism using (5 mg/ml) concentration of testing sample (100 µl was tested).
Table 2: Antifungal activities of the new compounds
Compd no. |
Diameter of inhibition zone in (mm) |
|||
(AF) |
(SR) |
(GC) |
(CA) |
|
3a |
15.9±0.08 |
NA |
18.7±0.5 |
15.6±0.1 |
3b |
10.2±0.03 |
NA |
13.1±0.04 |
13.8±0.03 |
3c |
12.6±0.25 |
NA |
NA |
11.2±0.33 |
4a |
12.4±0.07 |
NA |
11.5±0.05 |
NA |
4b |
13.4±0.08 |
NA |
15.3±0.3 |
16.2±0.08 |
4c |
15.5±0.08 |
NA |
12.9±0.2 |
13.9±0.1 |
6 |
10.2±0.55 |
NA |
10.5±0.1 |
12.6±0.33 |
7 |
11.3±0.44 |
NA |
14.3±0.4 |
12.9±0.25 |
9a |
19.3±0.3 |
9.3±0.08 |
17.4±0.09 |
18.1±0.1 |
9b |
21.3±0.2 |
19.5±0.05 |
19.9±0.08 |
10.2±0.03 |
11a |
12.3±0.07 |
NA |
14.9±0.2 |
12.4±0.3 |
11b |
23.3±0.08 |
16.9±0.07 |
21.4±0.1 |
20.1±0.05 |
13a |
11.6±0.1 |
NA |
14.2±0.08 |
14.9±0.2 |
13b |
12.4±0.07 |
NA |
10.5±0.04 |
11.5±0.05 |
Amphotericin B |
23.7±0.2 |
19.7±0.2 |
28.7±0.2 |
25.4±0.1 |
*NA: No activity, data is expressed in the form of mean±SD
*Data are expressed in the form of mean±SD. Mean zone of inhibition in mm±standard deviation beyond the well diameter; (6 mm) produced on a range of environmental and clinical pathogenic microorganism using (5 mg/ml) concentration of testing sample (100 µl was tested).
As shown in this tables, Staphylococcus aureus, and Bacillis subtilis are sensitive to all tested compounds except compounds 3c; furthermore, Pseudomonas aeruginosa is sensitive to compounds 6, 7, 9a,b and 11a, while Escherichia coli is sensitive to all tested compounds except compound 3c. All tested compounds exhibit antifungal activity against the Aspergillus fumigatus. Also Syncephalastrum racemosum is sensitive to three compounds 9a, b, and 11b. All tested compounds except compound 3c and 4a exhibit antifungal activity against the two tested fungi species Geotricum candidum and Candida albicans, respectively. Compounds 4a-c, 9a,b, 11b and 13b have highest antimicrobial activity values is attributed to the presence of pharmacological active pyrazole moiety in compounds 4a-c and 13b, a cyanoazo moiety in compounds 9a,b, triazole ring in compound 11b.
Anticancer screening
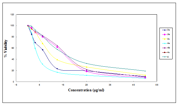
The anticancer effects of newly synthesized compounds against a human liver cell line (HEPG-2) were evaluated. The 3-(4,5-dimethylthiazol-2-yl)-2,5-diphenyl tetrazolium bromide (MTT) assay and vinblastine were used as a reference to evaluate the drug potential of testing compounds. Five various concentrations of each compound and the references were used in such screening tests [46]. Anticancer activity was expressed as the mean IC50 of three independent experiments (table 3), (fig. 1) and (fig. 2).
Table 3: In vitro anticancer activity of the new compounds against HEPG-2 Cell Line
Compd no. |
Concentration |
IC50 (µg/ml)[a] |
||||||
50 µg/ml |
25 µg/ml |
12.5 µg/ml |
6.25 µg/ml |
3.125 µg/ml |
1.56 µg/ml |
0 µg/ml |
||
Surviving fraction |
||||||||
Vinblastine |
14.38 |
16.13 |
24.25 |
45.13 |
55.00 |
72.13 |
100 |
4.6 |
3a |
8.58 |
19.32 |
23.08 |
56.84 |
69.75 |
84.58 |
100 |
7.5 |
3b |
6.80 |
18.42 |
61.43 |
79.96 |
88.04 |
96.02 |
100 |
15.8 |
3c |
11.56 |
26.34 |
39.18 |
68.47 |
89.05 |
93.78 |
100 |
10.2 |
4a |
6.08 |
11.23 |
16.79 |
31.17 |
69.38 |
86.94 |
100 |
4.2 |
4b |
9.03 |
21.84 |
64.21 |
82.19 |
89.72 |
94.38 |
100 |
16.7 |
4c |
9.12 |
16.31 |
55.87 |
64.10 |
79.39 |
86.36 |
100 |
14.3 |
6 |
18.94 |
32.46 |
57.61 |
81.42 |
92.08 |
98.93 |
100 |
16.3 |
7 |
10.28 |
21.31 |
32.72 |
49.58 |
57.23 |
70.97 |
100 |
6.1 |
9a |
10.92 |
21.78 |
34.53 |
53.49 |
64.72 |
81.86 |
100 |
7.4 |
9b |
6.67 |
16.43 |
27.28 |
43.87 |
65.69 |
89.14 |
100 |
5.6 |
11a |
13.92 |
25.06 |
60.38 |
72.63 |
87.84 |
95.76 |
100 |
16.1 |
11b |
31.74 |
43.38 |
48.59 |
59.76 |
71.24 |
89.47 |
100 |
11.6 |
13a |
38.8 |
60.32 |
78.18 |
93.25 |
98.91 |
100 |
100 |
36.8 |
[a] Values are the mean of three independent experiments; a standard deviation of twofold was judged acceptable.
Fig. 1: Effect of the compounds 3a-c, 4a-c and 6 on cellular viability (HEPG-2 cells); Values are the mean of three independent experiments; a standard deviation of twofold was judged acceptable
Fig. 2: Effect of the compounds 7, 9a,b, 11a,b and 13a on cellular viability (HEPG-2 cells), Values are the mean of three independent experiments; a standard deviation of twofold was judged acceptable
Data generated were used to plot a dose-response curve of which the response parameter IC50 value, which corresponds to the concentration of test compounds required to kill 50 % of cell population was calculated. According to Shier [47] the compounds exhibiting IC50 activity within the range of 10–25 μg/ml is considered weak anticancer agents while those of IC50 activity between 5 and 10 μg/ml are moderate and compounds of activity below 5.00 μg/ml are considered strong agents. The results are given in table 3. As shown in this table, and according to Shier [43]. Compound 4a have highest anticancer values, compounds 3a, 7 and 9a,b are moderate while the ether tested compounds are weak against a human liver cell line (HEPG-2).
CONFLICT OF INTERESTS
Declared none
REFERENCES