
Department of Analytical and Food Chemistry, Faculty of Pharmacy, Al-Andalus University for Medical Sciences, Al-Quadmous, Tartous, Syrian Arab Republic
Email: ws.sarah2005@gmail.com
Received: 24 Sep 2015 Revised and Accepted: 05 Dec 2015
ABSTRACT
Vitamin D deficiency is evident in many parts of the world, even in the sunnier regions, for a variety of reasons. Recently, vitamin D has been reported in many scientific researchers as an important factor that may have significant health benefits in the prevention and the treatment of many chronic illnesses such as depression. According to the Global Burden of Disease Study, depression is one of the world's leading causes of disability and affects 350 million people in all communities across the world. Depressive disorders often start at an early age; they reduce people’s functioning, and they are the leading cause of disability worldwide in terms of total years lost due to disability. The demand for curbing and preventing depression is on the rise globally. The present review will highlight the relation between vitamin D deficiency and the risk of depression among the different population. It will also discuss the epidemiology of vitamin D supplementation and depression from a variety of sources both suggesting and disproving their relation.
Keywords: Curbing, Deficiency, Depression, Preventing, Supplementation, Vitamin D.
© 2016 The Authors. Published by Innovare Academic Sciences Pvt Ltd. This is an open access article under the CC BY license (http://creativecommons.org/licenses/by/4.0/)
VITAMIN D
Description
The generic term vitamin D designates a group of chemically related compounds; the two most prominent members of this group are vitamin D2 (ergocalciferol) and vitamin D3 (cholecalciferol) [1]. They are structurally similar secosteroid derived from the UV irradiation of provitamin D sterols. In vertebrates, vitamin D3 is produced in vivo by the action of sunlight on 7-dehydrocholesterol in the skin [2]. Since both forms of this vitamin are metabolized to a biologically active form that functions as a steroid hormone and the body is capable of producing vitamin D3, vitamin D does not meet the classical definition of a vitamin. A more accurate description of vitamin D is that it is a prohormone [3]. However, since vitamin D was first recognized as an essential nutrient, it has historically been classified among the lipid-soluble vitamins [3].
Sources and food fortification
Most natural foods have a low content of vitamin D3. Fish liver oil is an exceptional source of vitamin D2. The D-provitamins, ergosterol, and 7-dehydrocholesterol are widely distributed in the animal and plant kingdoms. Yeast, some mushrooms, cabbage, spinach and wheat germ oil are particularly abundant in provitamin D2. Vitamin D3 and its provitamin are present in egg yolk, butter, cow’s milk, beef and pork liver, mollusks, animal fat and pork skin [4]. However, in individuals with ample sunlight exposure the greater source is endogenous vitamin D [5].
In many countries, the predominant dietary sources of vitamin D are fortified foods, such as milk, yogurt, orange juice, breakfast cereals, and dietary supplements. Vitamin D2 is manufactured through the ultraviolet irradiation of ergosterol from yeast, and vitamin D3 through the ultraviolet irradiation of 7-dehydrocholesterol from lanolin [5].
Absorption, metabolism, and excretion
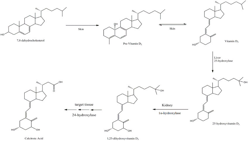
Because dietary vitamin D is fat soluble, once it is ingested in the small intestine, it is incorporated into the chylomicron fraction and absorbed through the lymphatic system [6]. Once vitamin D enters the circulation from the skin or from the lymph, it accumulates in the liver within a few hours. Vitamin D is readily metabolized in the liver to 25-hydroxyvitamin D3 which is the most abundant form of vitamin D in circulation [7]. Further metabolism of 25-hydroxyvitamin D3 to the active metabolite 1,25-dihydroxyvitamin D3 occurs in the kidneys (fig. 1) [7].
Fig. 1: Major metabolic pathway of vitamin D
The production of 1, 25-dihydroxyvitamin D3 in the kidney is tightly regulated, principally through the action of PTH in response to serum calcium and phosphorus levels (fig. 2) [8].
Fig. 2: Regulation of the production of 1, 25-dihydroxyvitamin D3 in the kidney, Adapted from reference Dusso AS and Tokumoto M [9]. doi: 10.1038/ki.2010.543
Although 1,25-dihydroxyvitamin D3is the biologically active form of vitamin D, it is not the ideal measure for vitamin D status since its half-life is only 4-6 h, and the circulating levels of 1,25-dihydroxyvitamin D3are thousand fold less than 25-hydroxyvitamin D3 [8]. 25-hydroxyvitamin D3is the major circulating forms of vitamin D that has a half-life of approximately 2-3 w [10, 11].
Groups at risk for vitamin d deficiency
Optimal vitamin D status is hampered by several factors. The limited number of naturally rich foods with this nutrient causes some groups to be at risk for inadequacy. The current Adequate Intake (AI) is 200 IU/day for both women and men from infancy to age 50; 400 IU/day for those between 51–70 y; and 600 IU/day for those>70 y [12]. Recently, the American Academy of Pediatrics recommended increasing the daily intake of vitamin D to 400 IU/day for all infants, children, and adolescents [13].
Vitamin D deficiency is now a global public health problem affecting a billion people worldwide. It is defined by most experts as a 25-hydroxyvitamin D level of less than 20 ng per milliliter (50 n mol/ liter) [14]. Levels ranged between 21 to 29 ng per milliliter (52 to 72 n mol/liter) can be considered to indicate a relative insufficiency of vitamin D [15], and a level of 30 ng per milliliter or greater can be considered to indicate sufficient vitamin D [16].
Vitamin D deficiency can arise from lack of sunlight exposure, lack of dietary vitamin D intake, or impaired intestinal absorption of the vitamin.
Intestinal disorders
Impairment of intestinal absorption of vitamin D can occur in intestinal disorders that result in the malabsorption of fat such as tropical sprue, regional enteritis, and multiple jejunal diverticulosis [17]. Surgical conditions, such as gastric resection and jejunal–ileal bypass surgery for obesity, may also impair vitamin D absorption.
Liver disorders
The liver is the source of the bile salts that aid in the intestinal absorption of vitamin D. Hence, malfunctions of the liver can interfere with the absorption, transport, and metabolism of vitamin D. Vitamin D deficiency have been reported in patients suffering from either primary biliary cirrhosis or from the prolonged obstructive jaundice [18].
Renal disorders
Patients with renal failure often also suffer from vitamin D deficiency. Studies on the metabolism of radioactively labeled vitamin D in normal persons versus patients with chronic renal failure have proved that the circulating level of 1α, 25 (OH)2 D3 in normal subject was in the range of 30–35 pg/ml, whereas in chronic renal failure the levels have been reported as low as 3–6 pg/ml [19]. A successful renal transplant results in the return of 1α, 25(OH)2 D3 levels to the normal range [20].
Parathyroid disorders
Hypoparathyroidism results in a slight reduction in circulating 1α, 25(OH)2 D3 levels has been reported [21].
Age
Further, 1α, 25(OH)2 D3 levels in the plasma and responsivity of the renal 25(OH)D3-1α-hydroxylase to PTH are both known to decrease with age [22].
Sex differences
Findings from the National Health and Nutrition Examination Survey (NHANES-III, 2001-2004), which included more than 15,000 adults, indicated significantly lower levels of vitamin D for female than male participants [23].
Race
For individuals who have darker skin, decreased vitamin D is more common. Due to higher melanin levels, dark-skinned individuals experience reduced subcutaneous vitamin D synthesis compared to those with lighter pigmentation, making them another high-risk group for vitamin D deficiency [24].
Body weight
Obesity has been found to be inversely related to vitamin D level [25]. This may be due to excess adipose tissue that sequesters vitamin D thereby altering its release into circulation [25]. Body image concerns may also cause obese individuals to avoid skin exposure to the sun resulting in inadequate vitamin D levels [26].
Depression disorder
Description
Depression, in its own right, is a disabling condition impairing all aspects of human function and impacts society by increasing suicide risk. In persons with a chronic medical disease, depression often makes the management of chronic illness more difficult. The Diagnostic and Statistical Manual of Mental Disorders, Fourth Edition (DSM-IV) [27] provides a general definition for mental disorder: “a clinically significant behavioral or psychological syndrome or pattern that occurs in an individual and that is associated with present distress or disability or with a significantly increased risk of suffering death, pain, disability, or an important loss of freedom.”Depression should not be mistaken for simple feelings of unhappiness or grief.
Untreated depression can last for six months or more. In a prospective psychiatric epidemiological survey, the mean time to recovery was 8.4 mo and nearly 20% had not recovered at 24 mo [28]. A majority of patients improve significantly with antidepressants treatment [29]; however, depression often has a recurrent course, with multiple episodes of relapse [30]
Prevalence
Currently, the WHO has determined that depression is ranked fourth on the global burden of disease list. The rates of depression continue to increase, and the WHO predicts that it will be the second most common global burden of disease after cardiovascular disease by the year 2020 [31]. Lifetime prevalence levels from community-based surveys range from 4.9% to 17.1% [32].
Longitudinal studies suggest that about 80% of individuals experiencing a major depressive episode will have at least one more episode during their lifetime, and approximately 12% of patients who suffer from depression will have a chronic, unremitting course [33].
General causes
Unlike other illnesses or disorders, there is no simple explanation as to what causes depression. The general scientific understanding is that depression does not have a single cause; it arises from multiple factors that may need to occur simultaneously. A person’s life experience, stress, genetic inheritance, age, sex, brain chemistry imbalance, hormone changes, substance use and other illnesses all play significant roles in the development of depression.
Gender
In fact, the burden of depression is 50% higher for females than males in low-and-middle-income countries as well as in high-income countries [34]. Research in developing countries suggests that maternal depression may be a risk factor for poor growth in young children [35]. This risk factor could mean that effects of depression affect not only this generation but also the next.
Genetic factors
The occurrence of mood disorders and suicides tend to run in families. Among the first-degree relatives of patients with major depression, the prevalence of major depression is some two to three times higher than among the first-degree relatives of normal controls. Furthermore, the genetic risk of developing clinical depression is 30% in the case of complete genetic inheritance such as identical twins, which means only about 30% of the time when one twin develops depression, will the other twin. These results indicate that depression is unlikely to occur without stressful life events [36].
Despite these findings, however, genetic studies have not as yet identified any genes which can be confidently associated with this illness, indicating that in all likelihood major depression is genetically complex, involving not only multiple genes but also possibly multiple modes of inheritance [37].
An interesting genetic vulnerability factor is allelic variation in the promoter region of the gene encoding the serotonin 5-HT transporter (5HTT) [38].
Age
MDD (Major Depressive Disorder) can present at any age, but the peak prevalence occurs in those between the ages of 15 and 45 y [39]. Generally, the depressive episodes occurring in the mid-twenties are associated with a biologically inherited tendency to develop depression, whereas those occurring after age 60 are less likely to be due to a genetic predisposition [39].
Stress
One of the cardinal features of depression is its recurrent nature. Some patients experience regular or periodic recurrence, whereas in other patients recurrence is aperiodic. Certain biological (e. g., short allele of serotonin transporter gene promoter region polymorphism, the release of hormones from the adrenal gland as part of the organism’s general stress response) and psychological (e. g., neuroticism, cognitive vulnerability) markers have been identified as possible risk factors for recurrence of depression in the context of stress [38, 40, 41].
However, the effect of the short allele of the 5HTT has been criticized as implausible because of the small effect size of polymorphic variation on the phenotypic expression of complex traits [36]. In addition, carriers of the short allele of the 5HTT do not seem much more likely than carriers of the long allele to experience depressive illness, which would be expected if they were more susceptible to stress [42].
Physical illness and substances use
Depression is an expected consequence of any chronic illness; these may include disorder of the CNS, systemic disorders such as cardiovascular disease and cancer. Studies found that about 10-18% of depressive disorders can be triggered by an existing medical condition.
Major depression affects approximately 25% of people recovering from a myocardial infarction, and another 40% suffer from mild depression. Patients identified with depression were twice as likely to experience recurrent cardiovascular events and were less likely to follow dietary, exercise, and medication recommendations [42].
Depression can be seen in up to one-half of all stroke patients. Psychotherapy has been associated with modest improvement in post-stroke depression and is considered to be part of a multidisciplinary approach [43, 44].
Depression has also been seen in association with diabetes and severe obesity, particularly in younger patients and in women [45, 46].
It is estimated that 25% of children with Attention-deficit/ hyperactivity disorder (ADHD) have a comorbid anxiety disorder, and approximately these children have comorbid major depressive disorder [47].
Chronic cannabis use is associated with various psychiatric disorders, most commonly anxiety disorders and depressive disorders [48]. One of the common adverse reactions of melatonin includes transient depressive symptoms [49].
Biochemical factors
It is likely that with most instances of clinical depression, neurotransmitter function is disrupted especially serotonin, noradrenaline and dopamine [41].
Depression medical treatment strategies
The treatment of MDD can be divided into two phases: acute and maintenance. The aim of acute treatment is to eliminate symptoms of depression and restore psychosocial functioning. The aim of maintenance treatment is to ensure a return to baseline function and quality of life and to prevent recurrence of symptoms.
First-line medications are the selective serotonin reuptake inhibitors (SSRIs), serotonin and noradrenaline reuptake inhibitors (SNRIs), and newer agents because they have better safety and tolerability profiles than older medications like tricyclic antidepressants (TCAs) and monoamine oxidase (MAO) inhibitors [50]. TCAs are recommended as second-line antidepressants, whereas MAO inhibitors are recommended as third-line because of tolerability and safety issues and dietary and drug restrictions.
Light therapy of depression
Light therapy consists of daily exposure to bright light; it includes wavelengths between 280-320 nm which allow the skin to produce vitamin D [51]. The previous Canadian guidelines noted the considerable RCT evidence for light therapy in the acute treatment of seasonal MDD [50]. Although, few studies compared light therapy to antidepressants; one RCT found comparable effectiveness between a standard course of light therapy and fluoxetine 20 mg [52]. Several systematic reviews of light therapy for nonseasonal MDD have reported the efficacy of bright light against placebo conditions [51, 53]. The side effects of bright light therapy include a headache, eye strain, nausea, and agitation, but these are generally mild and rarely lead to treatment discontinuation.
The combination between light therapy and exercise is also well-known alternative treatments to depression. This can easily be accomplished by encouraging people to exercise outdoors during daylight hours. However, the benefit of exercise with natural sunlight exposure needs to be weighed against the risk of skin cancer if sun exposure is significant. Therefore, additional research is needed in this area [54].
Epidemiologic studies of the relationship between vitamin d and depression
Partonen et al. [55] studied the effect of exposure to the sun for one hour or 15 min in the morning for two weeks in the winter. The study was performed on 29 patients (16 with seasonal affective disorder (SAD) and 13 controls). One hour of light therapy significantly decreased depressive symptoms more so in the group with SAD than the control group (p= 0.003). In another study, a group of 80 participants aged between 60 to 92 y, 40 with mild Alzheimer disease (AD) and 40 non demented persons, were selected. 58% were noted to have vitamin D insufficiency. In addition, this insufficiency was associated with low mood and with impairment on two of four measures of cognitive performance [56]. A recent study enrolled 2835 Korean participants aged 65 y or older. The serum 25-hydroxyvitamin D [25(OH)D] concentrations and depressive symptoms were established. Results indicated that lower 25(OH)D concentrations were independently associated with depressive symptoms [57].
Jorde et al. [58] reported that for persons with secondary hyperparathyroidism (n = 21), lower serum vitamin D was significantly related to higher scores on the Beck Depression Inventory when compared to controls (n = 63, p<.05). Armstrong et al.[59] reported that for persons with the chronic illness of fibromyalgia (n = 75), 69% were noted to have deficient or insufficient levels of vitamin D. Depression was higher (assessed with the Hospital and Anxiety Depression Scale [HADS] Median = 31) for those individuals with vitamin D deficiency when compared to those with insufficient (HADS = 22.5) or normal (HADS = 23.5) levels of vitamin D.
Several more recent studies have examined the relationship of vitamin D to depressive disorders. Moran et al. [60] investigated the association among 25 hydroxy-Vitamin D status and depression in 73 overweight or obese premenopausal women with and without PCOS (n=50, n=23, respectively). Primary outcome measures were 25(OH)D3, mood (Hospital Anxiety and Depression questionnaire), and inflammation (highly sensitive C-reactive protein (hsCRP)). Results showed that vitamin D deficiency was not significantly different in women with and without PCOS (46% versus 39%, p = 0.311), whereas it was the only significant independent predictor of depression (β = -0.063 ± 0.021, p = 0.005).
Ozkayar et al. [61] conducted a cross-sectional and descriptive study on 117 renal transplant patients (44 female, 73 male; mean age, 39.0±11.7 y). Patients were stratified to two groups according to the cut-off point (7) of depression subscale (D) of Hospital Anxiety Depression Scale (HADS), with or without depression risk. In the group with depression risk, 25(OH) D3 levels were significantly lower than the other group (15.2±9.2 μg/l and 21.9±12.7 μg/l, respectively; p = 0.004).
In a pregnancy cohort study performed on 498 women, Huang et al. examined the association between serum 25(OH)D3concentrations and depression in early pregnancy (mean=15.4 w gestation). Symptoms were measured using Depression, Anxiety, and Stress Scales (DASS-21) and Patient Health Questionnaire Depression Module (PHQ-9) instruments. Mean 25 (OH) D3 concentration was 34.4 ng/ml and approximately 12% had depression symptoms. A 1 ng/ml lower 25(OH)D3was associated with 0.043 and 0.040 higher DASS-21 Anxiety and PHQ-9 Scores (p-values=0.052 and 0.029, respectively). Participants in the lowest quartile of 25(OH) D3 (<28.9 ng/ml) had 1.11 higher PHQ-9 scores than those in the highest quartile (≥ 39.5 ng/ml, p<0.05). However, associations were attenuated and statistically insignificant in fully adjusted models [62].
Postpartum depression is a common disorder that affects 10-15% of postpartum women, and it can have negative effects on both the mother and newborn. Recent studies have suggested that low levels of vitamin D are associated with poor mood and depression. 179 pregnant women were screened for vitamin D levels during mid-pregnancy and in the 6th month postpartum. 11% of women had severe vitamin D deficiency, and 40.3% had mild vitamin D deficiency. The frequency of PPD was 21.6% at the 1st week, 23.2% at 6th week, and 23.7% at the 6th month. There was a significant relationship between low 25(OH)D3levels in mid-pregnancy and high Edinburgh Postnatal Depression Scale scores (EPDS), which is indicative of PPD for all three follow-up periods (p=0.003, p=0.004 and p<0.001, respectively) [63].
Maddock et al. [64] performed a study on 7401 participants with common mental disorders CMDs. Behaviors were ascertained by questionnaire at age 45 y. CMDs were assessed using the Clinical Interview Schedule-Revised at 45 y and depression using Mental Health Inventory-5 at 50 y. Association between 25(OH)D and subsequent (50 y) risk of depression were non-linear (p = 0.01), with lower risk for participants with 25(OH)D between 50 and 85 n mol/l compared with those with lower or higher concentrations. In another cross-sectional study, the cognitive performance and serum 25(OH)D levels were explored in 254 older (>60 y) as well as younger (30-60 y) adults. Results showed that a low vitamin D level was associated with greater risk of cognitive impairment in older as well as younger adults [65].
Epidemiologic studies of the effect of vitamin d supplementation on depressive disorders
Although vitamin D deficiency has been associated with depressive symptoms, the role of vitamin D supplementation in the management of depression is still controversial. Some results of randomized controlled trials (RCTs) investigating the efficacy of vitamin D in depression suggest a positive association; while others show an unconvincing association.
Jorde et al. [66] performed a 1 y study comparing high doses of 25(OH) D3 with placebo in 441 overweight and obese subjects with weight loss as the primary end-point. Participants were randomized into one of three groups where vitamin D (20,000 IU cholecalciferol) was given twice per week, once per week, or not at all (placebo) for one year. All participants also received calcium supplementation (500 mg daily). Subjects with serum 25(OH)D3 levels<40 n mol/l scored significantly higher more depressive traits than those with serum 25(OH)D3 levels ³ 40 n mol/l on the Beck Depression Inventory total (BDI) [6.0 (0-23) versus 4.5 (0-28) (median and range)] and the BDI subscale 1-13 [2.0 (0-15) versus 1.0 (0-29.5)] (P<0.05). In the two groups given vitamin D, but not in the placebo group, there was a significant improvement in BDI scores after 1 y. Limitations of the study were that only overweight and obese adults were included, and only a single measure of depression was used, while it is more effective to use more subtle measures like Montgomery Asberg Depression Rating Scale and HADS which could have yielded additional information.
In a more recent study conducted by Kjærgaard et al. [67], participants with low 25(OH) D3 levels were randomized to either placebo or 40 000 IU vitamin D3 per week for 6 mo. Individuals with high serum 25(OH) D3 levels were used as nested controls. Depressive symptoms were evaluated with the BDI, Hospital Anxiety and Depression Scale, Seasonal Pattern Assessment Scale and Montgomery-Asberg Depression Rating Scale. Participants with low 25 (OH)D3 levels (n=230) at baseline were more depressed (P<0.05) than participants with high 25(OH)D3 levels (n=114). In the intervention study, no significant effect of high-dose vitamin D was found on depressive symptom scores when compared with placebo.
Vitamin D deficiency and depression frequently occur in patients with chronic liver diseases (CLD). Overall, 111 patients with CLD were included in a cross-sectional analysis. The serum 25-hydroxyvitamin D [25(OH) D] concentrations and depressive symptoms were first established. Then, 77 patients with inadequate vitamin D concentrations received 20,000 IU vitamin D per week for six months. Results indicated that vitamin D replacement significantly improved depressive symptoms in women with CLD [68].
A systemic review of more recent studies identified and extracted data from randomized trials that compared the effect of vitamin D supplementation on depressive symptoms to a control condition, seven trials (3191 participants) were included. Subgroup analysis showed that vitamin D supplementation for participants with clinically significant depressive symptoms had a moderate, statistically significant effect (2 studies: SMD,-0.60; 95% CI,-1.19 to-0.01; p = 0.046), but a small and non-significant effect was observed for those without clinically significant depression (5 studies: SMD,-0.04; 95% CI,-0.20 to 0.12; p = 0.61) [69].
In contrast, a systematic review done by Li et al. concluded that there was insufficient evidence to support the efficacy of Vitamin D supplementation in depression symptoms. Six RCTs were identified with 1203 participants (72% females) including 71 depressed patients; five of the studies involved adults at risk of depression, and one trial used depressed patients. Results of the classical meta-analysis showed no significant effect of Vitamin D supplementation on post-intervention depression scores (standardized mean difference =-0.14, 95% confidence interval =-0.41 to 0.13, P = 0.32; odds ratio = 0.93, 95% confidence interval = 0.54 to 1.59, P = 0.79). The quality of evidence was low. No significant differences were demonstrated in the subgroup or sensitivity analyses. Similar results were found when Bayesian meta-analyses were applied [70].
In another meta-analysis, vitamin D supplementation was used to reduce depressive symptoms. Studies involved 4923 participants aged ≥18 y who were diagnosed with depressive disorder. No significant reduction in depression was seen after vitamin D supplementation; however, most of the studies focused on individuals with low levels of depression and sufficient serum vitamin D at baseline [71].
Probable vitamin d mechanism of action in depression
The genomic action of 1,25 (OH)2D3 is mediated by the VDR (Vitamin D Receptor), which functions as a ligand-activated transcription factor in the cells of target tissues [72, 73]. The VDR is present in most tissues; especially bone, kidney and small intestine have high levels of receptor compared to other tissues [72, 73]. Numerous recent studies have identified VDR in neuronal and glial cells in the central nervous system [74]. Eyles et al. [75] identified VDR in multiple areas of the human brain, including the prefrontal cortex, hippocampus, cingulate gyrus, thalamus, hypothalamus, and substantia nigra; many of which have been implicated in the pathophysiology of depression.
The enzymes necessary for the hydroxylation of 25hydroxyvitamin D to the active form 1,25dihydroxyvitamin D are also present in the hypothalamus, cerebellum, and substantia nigra [76]. Vitamin D modulates the hypothalamic-pituitary-adrenal axis, regulating adrenaline, noradrenaline, and dopamine production through VDRs in the adrenal cortex [77]; and protects against the depletion of dopamine and serotonin centrally [78]. Patrick et al. [79] proved that calcitriol activates the transcription of the serotonin-synthesizing gene tryptophan hydroxylase 2 (TPH2) in the brain and represses the transcription of TPH1 in tissues outside the blood-brain barrier. Therefore, vitamin D deficiency has been linked to an increased incidence of depression [80]. Maintaining vitamin D sufficiency in utero and during early life, to satisfy the vitamin D receptor transcriptional activity in the brain, may be important for brain development as well as for maintenance of mental function later in life [75].
A role for cytokines in depression was first proposed by Smith [81] in the form of the ‘macrophage theory of depression’ and further studied. Building on the observation that patients with severe clinical depression have increased blood concentrations of inflammatory biomarkers, they proposed that depression is associated with an acute-phase response. According to his theory, the pro-inflammatory cytokines that are responsible for this acute-phase reaction also cause various clinical aspects of depression, including hyperactivity of the hypothalamus–pituitary–adrenal axis, disturbed serotonin metabolism and near vegetative symptoms [82].
Vitamin D is now known to exert profound immune modulating effects by increasing the levels of anti-inflammatory cytokines such as IL-10, IL-4, IL-5 and transforming growth factor (TGF)-β, and by decreasing pro-inflammatory cytokines IL-1β, IL-2, IL-6, INF-γ, TNF-α and IL-12 [83, 84]. The net result of these effects is a shift from a Th1 to a Th2 immunological phenotype, which is considered to be a less pro-inflammatory state [85].
CONCLUSION
The effect of Vitamin D deficiency in depression demonstrated in most meta-analysis is comparable with the effect of anti-depressant medication. However, future research should be performed to determine the role of vitamin D supplementation and dosage needed. At this time, modest sun exposure and vitamin D supplementation may be cost-effective with rare adverse effects in preventing the development of depression or attenuating the depressive symptoms. These findings may have important clinical and public health.
CONFLICT OF INTERESTS
Declared none
REFERENCES