
1University College of Pharmaceutical Sciences, Acharya Nagarjuna University, Guntur 522510, Andhra Pradesh, India, 2F R and D, Hetero Labs, Jeedimetla, Hyderabad, India
Email: srikar.grandhi@gmail.com
Received: 18 Sep 2015 Revised and Accepted: 02 Nov 2015
ABSTRACT
Objective: Extending or controlling the release of highly water soluble drugs from matrix tablets is always a challenge. The research attempt was aimed to explore the embedment technique for the development of extended release (ER) matrix tablets of highly water soluble drugs by taking Diltiazem HCl as a model drug.
Methods: The matrix tablets were developed through embedding the drug in the polymer matrix followed by compression using hydroxypropyl methylcellulose (HPMC) K 4000, Eudragit RS PO as drug release-retarding polymers. Matrix tablets from the optimized formulations (F5 & F11) were also prepared by wet granulation method for comparing the efficiency of both the techniques for controlling the drug release.
Results: The results of the dissolution studies indicated that the drug release could be controlled only up to 16 h with HPMC K 4000 alone (formulation F5), but upon incorporation of Eudragit RS PO, the drug release was extended up to 24 h (formulation F11). The matrix tablets from the same formulations, F5 and F11, prepared by wet granulation technique showed the drug release only up to 12 h and 20 h respectively. The drug release from these formulations followed first–order kinetics. The mechanism was found to be almost Higuchi’s diffusion along with some anomalous transport (non–Fickian diffusion).
Conclusion: The embedding technique was found to be promising for the development of ER matrix tablets of highly water soluble drugs with lesser quantities of polymers.
Keywords: Embedment, Extended drug release, Water soluble drugs, Wet granulation.
© 2016 The Authors. Published by Innovare Academic Sciences Pvt Ltd. This is an open access article under the CC BY license (http://creativecommons.org/licenses/by/4.0/)
INTRODUCTION
Controlled drug delivery technology is fast growing because of its many potential advantages like minimum fluctuations in plasma drug concentration and a reduced frequency of dosing when compared to the conventional dosage forms. Many newer technologies are also emerging for designing controlling drug delivery systems with improved efficiency and embedment [1] is one such novel technique. The release rate retarding material or polymer is the major component in these systems and its concentration influences the release rate of the drug. Oral controlled release systems are highly acceptable and can be obtained by employing different techniques [2] like prodrugs, ion exchange resins, buffered tablets, microspheres, floated tablets, film coating, osmotic pumps and matrix tablets. Matrix tablets are more familiar as they are easy to prepare and having more industrial feasibility and hence matrix tablets of Diltiazem HCl are selected for the present research work. Matrix tablets are the simple and economical design and wet granulation is the common and most successful approach used to prepare them. However, development of controlled release matrix tablets for highly water-soluble drugs is always a challenge [3, 4] and requires large quantities of polymer especially if the release has to be controlled up to 24 h.
The present research work was aimed to explore the novel embedment technique for its efficiency when compared to the wet granulation in obtaining extended release (ER) matrix systems for highly water soluble drugs. So, in the present work, diltiazem HCl was selected as a model drug because of its good absorption along the entire gastrointestinal tract and its short half–life, 3.0–4.5 h [5], that favor the design of controlled release formulation. Extensive research was published on diltiazem HCl ER formulations, some of them are, sustained-release diltiazem matrix tablets using hydrophilic gum blends by direct compression [6]; extended release matrix tablets of diltiazem using natural gums by wet granulation technique [7]; diltiazem HCl ER tablets by melt granulation [8]. All these previous work commonly reported that the drug to polymer ratio of 1:3 to 1:4 was required to get the desired control release of the diltiazem HCl from the matrix tablets prepared by conventional wet granulation and direct compression techniques.
The main objective of the present research work was to develop ER matrix tablets of diltiazem HCl for once–a–day dosing using a combination of a hydrophilic and a hydrophobic polymer viz. are HPMC K 4000 and Eudragit RS PO by embedding technique; preparing the tablets for the optimized formulations by wet granulation; and comparing the drug release profiles of the tablets obtained from both the techniques.
MATERIALS AND METHODS
Materials
Diltiazem HCl, HPMC K 4000, Eudragit RS PO were obtained from Capricorn Pharma, Hyderabad. Lactose, Magnesium Stearate and Talc were purchased from Sd Fine Chem, Mumbai. All the ingredients used were of analytical grade.
Methods
Drug-excipients compatibility
Fourier transforms infrared spectroscopy (FT-IR)
The physicochemical compatibility between diltiazem HCl and polymers (HPMC K 4000 and Eudragit RS PO) used in the research was carried out by subjecting to IR spectral studies using Perkin Fourier Transform infrared Spectrophotometer, Shelton, USA. The samples were prepared by mixing the 400 mg of the drug with the maximum amounts of polymers (175 mg of HPMC K 4000 and 50 mg of Eudragit RS PO) used in the preparation of the tablets [9]. These samples were scanned under diffuse reflectance mold and plotted the graph by the KBr pellet method and spectra were recorded in the wavelength region between 4000 cm-1to 400 cm-1. The spectra obtained for the pure drug was compared with that of the physical mixtures of the drug with polymers.
Differential scanning calorimetry (DSC)
The thermal behavior of the drug alone (diltiazem HCl) and with polymers (HPMC K 4000 and Eudragit RSPO) was analyzed by using DSC instrument. The drug and its physical mixture with polymers were weighed, crimped in aluminum pans and analyzed at a scanning temperature range from 50 to 400oC at the heating rate of 10o C/min in nitrogen atmosphere[10].
Table 1: Formulae for Diltiazem HCl ER matrix tablets of batch 1 (F1–F6)
S. No. |
Ingredient |
Quantity in mg per one tablet |
|||||
F1 |
F2 |
F3 |
F4 |
F5 |
F6 |
||
1 |
Diltiazem HCl |
400 |
400 |
400 |
400 |
400 |
400 |
2 |
HPMC K 4000 |
50 |
75 |
100 |
125 |
150 |
175 |
3 |
Starch |
160 |
135 |
110 |
85 |
60 |
35 |
4 |
Magnesium stearate |
5 |
5 |
5 |
5 |
5 |
5 |
5 |
Talc |
5 |
5 |
5 |
5 |
5 |
5 |
Total weight |
620 |
620 |
620 |
620 |
620 |
620 |
|
Table 2: Formulae for diltiazem HCl ER matrix tablets of batch 2 (F7–F11)
S. No. |
Ingredient |
Quantity in mg per one tablet |
||||
F7 |
F8 |
F9 |
F10 |
F11 |
||
1 |
Diltiazem HCl |
400 |
400 |
400 |
400 |
400 |
2 |
HPMC K 4000 |
150 |
150 |
150 |
150 |
150 |
3 |
Eudragit RS PO |
10 |
20 |
30 |
40 |
50 |
4 |
Starch |
50 |
40 |
30 |
20 |
10 |
5 |
Magnesium stearate |
5 |
5 |
5 |
5 |
5 |
6 |
Talc |
5 |
5 |
5 |
5 |
5 |
Total weight |
620 |
620 |
620 |
620 |
620 |
|
Preparation of diltiazem HCl ER matrix tablets by embedding technique
Diltiazem HCl ER matrix tablets were prepared as of two batches. In the first batch formulations, only HPMC K 4000 was incorporated in the increasing quantities as shown in the table 1. The second batch formulations contain the fixed quantity of HPMC K 4000 (at which the maximum controlling of the drug release was observed) and increasing quantities of Eudragit RS PO (as shown in the table 2).
In this technique, tablets were prepared in two successive steps.
Step 1: Embedment of the drug in polymer matrix
Weighed quantities of polymer(s) (only HPMC K 4000 for first batch and both HPMC K 4000 & Eudragit RS PO for the second batch), according to the formulae shown in tables 1 and 2, were transferred into a porcelain dish. To this, ethanol was added slowly with continuous trituration until a smooth paste was formed. Then the weighed quantities of the drug and starch were incorporated into the smooth paste of the polymers by levigation technique. Then the obtained semisolid mass was spread over the walls of the porcelain dish and was dried in a hot air oven until complete drying. Then the dried material was scrapped and passed through a sieve #20. The granules obtained were studied for their densities, flow properties and compressibility prior to the compression.
Step 2: Compression
The above-obtained drug entrapped polymer matrix granules were properly lubricated with previously screened (through #100) and weighed quantities of magnesium stearate and talc. Then the blend was subjected to compression by using the 12 stage rotary tablet press to obtain the tablets weighing 620 mg each. Obtained tablets were stored properly until further use.
Matrix tablets from the formulations F5 and F11 were also prepared by wet granulation technique by using the same sieve (#20) that is used in the embedment technique.
Characterization of granules
Prepared granules of all formulations were evaluated for their micromeritic properties viz. are bulk density, tapped density, Car’s index, Hausner’s ratio and angle of repose to ensure their suitability to compression.
Evaluation of ER matrix tablets
All the prepared tablets were evaluated for the following parameters.
Thickness
The thickness and diameter of the tablets were measured by using Vernier calipers.
Weight variation
Twenty tablets were randomly selected from each batch, individually weighed; the average weight and standard deviation of 20 tablets were calculated. The % weight variation was calculated by using following formula:
% weight variation= [(Average weight-individual weight)/average weight] x100
Hardness
Hardness or tablet crushing strength (Fc); the force required to break a tablet in a diametric compression was measured using a Pfizer tablet hardness tester.
Friability
Friability of tablets was determined using Roche friabilator (United States Pharmacopoeia). A pre-weighed sample of tablets was placed in the friabilator and subjected to 100 revolutions at 25 rpm. Tablets were dedusted using a soft muslin cloth and reweighed.
% friability = [(Initial weight–Final weight)/Initial weight] × 100.
Tensile strength
Tensile strength of tablets was calculated using the following formula [11]:
T= 2Fc/πd t. Fc-crushing strength, d-diameter, t-thickness of the tablet.
Wetting time
A piece of paper folded twice was kept in a Petri dish containing 6 ml of purified water. A tablet having a small amount of Rosaline dye powder on the upper surface was placed on the tissue paper. The time required to develop a red color on the upper surface of the tablet was recorded as the wetting time [12].
Swelling index
The tablet was weighed (wo) and placed in the dissolution medium and maintained at 37 oC. At predetermined time intervals the tablet was withdrawn and blotted to remove excess water and weighed (wt) until constant weight is obtained [13]. The percentage of swelling index was calculated with the formulae:
Swelling index= 100× (Wt–Wo)/Wt
Where, Wt = final weight of the tablet, Wo = initial weight of the tablet.
Estimation of drug content
5 tablets were taken and grinded to powder. 100 mg of the drug equivalent tablet powder was taken and dissolved in distilled water and the volume was made up to 100 ml with distilled water in a 100 ml volumetric flask. Then the solution was filtered to remove any insoluble matter and the filtrate was taken, made suitable dilutions and the absorbance was measured in the UV–Visible spectrophotometer at 237 nm. From the obtained absorbance, the drug content was calculated by using the standard calibration curve.
Drug release studies
Dissolution rate of Diltiazem HCl from all formulations was performed using DISSO 800, an 8 stage dissolution rate test apparatus with a paddle stirrer. The dissolution fluid was 900 ml phosphate buffer pH 5.8, the paddle was rotated at 100rpm & the temperature was maintained at 37±0.5oC. Samples of dissolution medium (5 ml) were withdrawn through a filter using cotton as the filter media at different time intervals, suitably diluted and assayed for Diltiazem HCl by measuring absorbance at 237 nm. These studies were conducted in triplicate.
Kinetic studies
The kinetics of drug release was studied by subjecting the obtained dissolution data to zero–order and first–order models to know the kinetic order of drug release; and Higuchi’s and Korsemeyer–Peppas models to know the mechanism of drug release.
Statistical analysis
The results obtained from the drug release studies were subjected to Analysis of Variance (ANOVA) to check whether the influence of the nature of the polymer and the type of method on the drug release was significant or not [14].
RESULTS AND DISCUSSION
FT–IR studies
The characteristic peaks of the pure Diltiazem HCl viz. at 3431.07, 3056.11, 1680.13 and 1218.39 corresponding to the characteristic functional groups N-H of 2 °-amide group, C-H (aromatic), C=O of ketone group and C-O of ether group respectively were observed with the spectra of pure Diltiazem HCl as well as the physical mixtures. This indicated that the drug had no incompatibility with the polymers employed.
Fig. 1: FT–IR spectra of pure Diltiazem HCl
Fig. 2: FT–IR spectra of physical mixture of Diltiazem HCl and HPMC K4000
Fig. 3: FT–IR spectra of physical mixture of Diltiazem HCl and Eudragit RS PO
Fig. 4: FT–IR spectra of Diltiazem HCl with HPMC K 400 and Eudragit RS PO
![]() |
![]() |
(a) |
(b) |
Fig. 5: DSC spectra of (a) pure Diltiazem HCl and (b) physical mixture of Diltiazem HCl with HPMC K 4000 and Eudragit RS PO
DSC studies
The thermograms of both pure drug (fig. 5a) and its physical mixture with both the polymers (fig. 5b) showed the endotherm (of melting point) corresponding to the drug at 216.1oC and 217.4oC respectively. This indicated that the drug was compatible with the polymers as there was no significant difference in the melting point
Evaluation studies for Pre-compressed blend
The bulk density before and after a suitable tapping procedure was varied for all the formulations in the range of 0.51 to 0.58 g/ml to 0.58 to 0.67 g/ml respectively. The change in the bulk densities, before and after tapping, indicated that the granules were having good compressibility and packageability. The results of the flowability studies (angle of repose 14.8 to 18.9; Car’s index 7.58 to 12.58; and Hausner’s ratio 1.10 to 1.20) indicated that the granules of all the formulations were having good to excellent flowability. These studies combinely indicated that the granules of all formulations and of embedment technique along with wet granulation were efficient for the further processing, i.e. compression.
General physical evaluation studies of the prepared matrix tablets
The tablets were subjected to different physical evaluation tests. The weight variation of all the formulations was within the range of 2.38 to 3.68% and this indicated that the tablets of all the formulations were having a uniform weight which in turn indicated that the tablets might not have any problem of drug content uniformity. The results of hardness (5.2–6.1 Kg/cm2), tensile strength (5.97x10-6 to 6.74 x10-6 N/m2) and friability (0.52–0.86%) indicated that the tablets were sufficiently hard enough to resist the external pressures during handling, packaging and transportation. This might be attributed to excellent cohesive characteristics of the complex high molecular hydroxyl propyl methyl cellulose (HPMC K 4000) and its effective utilization by this embedment technique. The results of the assay were within the acceptable limits and indicated that uniform drug distribution could be achieved by this technique.
Table 3: Results of assay, wetting time and swelling index tests of Diltiazem HCl ER matrix tablets
S. No. |
Formulation |
Results (average±std. deviation*) |
||
Assay (%) |
Wetting time (min) |
Swelling index (%) |
||
1 |
F1 |
98.31±1.21 |
16±0.14 |
27.6±0.2 |
2 |
F2 |
98.58±1.13 |
17±0.15 |
38.8±0.3 |
3 |
F3 |
99.28±1.51 |
19±0.13 |
49.6±0.5 |
4 |
F4 |
99.12±0.98 |
23±0.20 |
59.5±0.4 |
5 |
F5 |
98.65±1.05 |
26±0.16 |
70.3±0.6 |
6 |
F6 |
99.55±1.32 |
26±0.19 |
74.7±0.7 |
7 |
F5WG |
97.82±1.52 |
20±0.18 |
68.9±0.5 |
8 |
F7 |
98.23±1.11 |
25±0.21 |
72.5±0.5 |
9 |
F8 |
97.66±0.87 |
27±0.16 |
71.8±0.6 |
10 |
F9 |
99.21±1.34 |
26±0.14 |
73.2±0.5 |
11 |
F10 |
97.08±1.21 |
28±0.03 |
75.3±0.7 |
12 |
F11 |
98.79±1.18 |
28±0.21 |
76.4±0.4 |
13 |
F11WG |
97.38±1.37 |
25±0.19 |
74.3±0.7 |
* n = 3
Wetting time
The results of wetting time (shown in table 5 and 6) indicated that the tablets were compact enough for the controlled penetration of dissolution medium which might control the drug dissolution rate. From the results, it was inferred that upon increasing the concentration of
All values were expressed as mean±SD (n=3)
Fig. 6: Drug release profiles of Diltiazem HCl ER matrix tablets of all formulations
Swelling index
The results of swelling index (shown in table 5 and 6) indicated that upon increasing the concentration of HPMC K 4000, the swelling index was also increased, i.e. more amount of the water was absorbed by the polymer and a complex gel barrier was formed, which might control the dissolution rate.
All values were expressed as mean±SD (n=3)
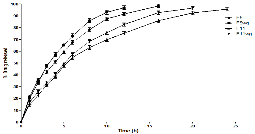
Fig. 7: Difference in drug release profiles between the same formulations of Diltiazem HCl ER matrix tablets prepared from embedment (F5 & F11) and wet granulation (F5wg & F11wg)
HPMC K 4000, the wetting time was also increased which might be attributed to the increased control of the dissolution rate.
Drug release studies
The results of the drug release studies of formulation F1 to F6 (shown in fig. 6 and table 4) indicated that upon increasing the amount of HPMC K 4000, the dissolution rate constant was decreased, i.e. more controlled release was achieved with increasing amount of HPMC K 4000, from F1 to F5, and the drug release was controlled up to 16 h (98.12%). This might be attributed to the higher amounts of HPMC K 4000 develop more complex gel barrier upon contact with the dissolution fluids. Even though F6 contains more amount of polymer than in the F5, the drug release was controlled for only 16 h (97.68%) and the dissolution rate was also not further decreased significantly. This indicated that upon an increase in the amount of HPMC K 4000 more than 150 mg, the drug release could not be controlled further and also signified the necessity of incorporating a water insoluble polymer to get further control in drug release.
The results of drug release studies of formulations F7 to F11 (shown in fig. 6 and table 4) indicated that upon increasing the concentration of eudragit polymer, the dissolution rate was controlled and the drug release was controlled up to 24 h with formulations F10 and F11. This might be attributed to the, hydrophobic nature of the polymer, increased with the concentration, which can resist the penetration of dissolution medium and further diffusion of the drug. Even though formulation F10 controlled the drug release for 24 h, it has failed to pass the dissolution criteria according to USP and NF. So, the formulation F11 was developed and it showed the dissolution criteria according to the compendial requirements.
The drug release from all these formulations followed first–order kinetics (shown in fig. 6 and table 4) and the order of kinetics was not affected by the concentration of Eudragit RS PO. The drug release mechanism was found to be almost Higuchi’s diffusion along with some anomalous transport (non–Fickian diffusion) which was evidenced by the regression coefficient of Higuchi’s plots and Peppas ‘n’ values.
The matrix tablets for the selected formulations F5 and F11, which had shown best results in their batches prepared by embedment technique, were also prepared by traditional wet granulation technique (named as F5WG and F11WG) and subjected to similar drug release studies. The results (shown in fig. 6) indicated that the drug release rates from the tablets of F5WG and F11WG were found to be more than those of the tablets of F5 and F11, which signified that the embedment technique was more effective than wet granulation in controlling the drug release of a highly water-soluble drug like Diltiazem HCl. This might be attributed to the effective entrapment of the drug in the polymer matrix in the embedment technique.
In the wet granulation technique, the drug was mixed with the polymer in dry powder form, but in the embedment technique, the polymers were and made into semisolid form by the little quantity of solvents, so that the drug was effectively incorporated into the flexible polymer matrix. This made effective utilization of the polymers and better control of drug release. Results of ANOVA (shown in table 5) also indicated that the influence of the type of method on the drug release was significant which means embedment technique showed significant control in drug release over wet granulation technique.
The works on the Diltiazem HCl extended-release tablets reported in the previous works by the other authors by wet granulation showed to control the release of 90 mg of the drug, 300 mg of single or combination of polymers (Locust bean gum, Karaya gum) with drug i.e. at 1:1 was required to control the drug release up to 12 h [6], similar amounts of polymers (Tamarind xyloglucan gum, Gellan gum and Sodium CMC) were required to control the release up to 24 h [7]. Upon comparing the results of the present work and the previous works by the other authors, it was evident that embedment technique was more effective than wet granulation in controlling the drug release of highly water soluble drugs and requires lesser quantities of polymers which would be further advantageous in developing the extended release formulations for large dosed drugs.
Table 4: Dissolution kinetics of Diltiazem HCl ER matrix tablets of all formulations
S. No. |
Formulation |
Regression coefficient (R2) value |
Dissolution rate constant (hr-1) |
Peppas exponential constant (n) |
||
Zero–order |
First–order |
Higuchi’s |
||||
1 |
F1 |
0.995 |
0.826 |
0.949 |
0.631 |
0.845 |
2 |
F2 |
0.988 |
0.914 |
0.960 |
0.472 |
0.795 |
3 |
F3 |
0.974 |
0.920 |
0.961 |
0.322 |
0.776 |
4 |
F4 |
0.975 |
0.872 |
0.970 |
0.302 |
0.775 |
5 |
F5 |
0.666 |
0.969 |
0.986 |
0.206 |
0.561 |
6 |
F6 |
0.703 |
0.963 |
0.986 |
0.203 |
0.599 |
7 |
F5 WG |
0.794 |
0.972 |
0.981 |
0.256 |
0.645 |
8 |
F7 |
0.709 |
0.987 |
0.989 |
0.200 |
0.578 |
9 |
F8 |
0.616 |
0.990 |
0.975 |
0.177 |
0.560 |
10 |
F9 |
0.687 |
0.992 |
0.985 |
0.150 |
0.591 |
11 |
F10 |
0.609 |
0.995 |
0.982 |
0.136 |
0.568 |
12 |
F11 |
0.662 |
0.996 |
0.982 |
0.114 |
0.599 |
13 |
F11 WG |
0.726 |
0.988 |
0.979 |
0.157 |
0.620 |
Table 5: Results of ANOVA for the effect of polymer and the method on the drug release rate constant of Diltiazem HCl ER matrix tablets
Source |
Sum of squares |
Degrees of freedom |
Mean sum of squares |
F value |
p–value prob>F |
Model |
0.011 |
2 |
5.641 x 10-3 |
460.51 |
0.0329 |
A–polymer |
9.120 x 10-3 |
1 |
9.120 x 10-3 |
744.51 |
0.0233 |
B–method |
2.162 x 10-3 |
1 |
2.162 x 10-3 |
176.51 |
0.0478 |
Residual |
1.225 x 10-5 |
1 |
1.225 x 10-5 |
||
Total |
3 |
The Model F-value of 460.51 implies the model is significant, There is only a 3.29% chance that a "Model F-Value" this large could occur due to noise, Values of "Prob>F" less than 0.0500 indicate model terms are significant, In this case A, B are significant model terms, Values greater than 0.1000 indicate the model terms are not significant
CONCLUSION
The results of the drug release studies on the prepared matrix tablets revealed that the embedment technique was more effective for the efficient incorporation of drug in the polymer matrix than wet granulation technique for the preparation of ER formulations so that lesser quantities of polymers are sufficient to get the desired control release. Therefore, it can be concluded that even for the high water soluble drugs like Diltiazem HCl, extended or controlled release matrix tablets can be effectively prepared with less quantity of polymers by the embedment technique.
ACKNOWLEDGEMENT
The authors are acknowledged to the authorities of Sri Sai Aditya Institute of Pharmaceutical Sciences and Research, Suramplaem, Kakinada, Andhra Pradesh and Acharya Nagarjuna University, Guntur, Andhra Pradesh for providing the necessary facilities to carry out the work.
CONFLICT OF INTERESTS
Declared None
REFERENCES