
1Pharmaceutical Biotechnology, Bandung Institute of Technology, 2Section of Molecular Pharmacology, Research Innovation and Invention, Dexa Laboratories of Biomolecular Sciences, Dexa Medica, Cikarang, 3Pharmaceutical Science, Ma Chung University, Malang
Email: raymond@dexa-medica.com
Received: 23 Sep 2015 Revised and Accepted: 08 Apr 2016
ABSTRACT
Objective: DLBS3233 is a standardized extract combination containing Lagerstroemia speciosa and Cinnamomum burmannii. The effect of DLBS3233 on adipocyte differentiation was examined in this study.
Methods: 3T3-L1 pre-adipocyte was used to investigate gene expression using the real-time reverse transcription polymerase chain reaction (RT-PCR) method. Oil red-O staining for detecting lipid formation was also carried out in this experiment.
Results: DLBS3233 caused cell differentiation of 3T3-L1 pre-adipocytes into adipocytes which were indicated by positive results on staining cells with oil red-O on day 6 of the differentiation process. Analysis of gene expressions associated with adipogenesis (C/EBP-α, PPAR-γ, C/EBP-δ, FASn and adiponectin) showed an increase compared to control. In this study, DLBS3233 at a concentration of 5 μg/ml exhibited better differentiation effect than DLBS3233 at a concentration of 10 μg/ml.
Conclusion: DLBS3233 can stimulate differentiation of 3T3-L1 pre-adipocytes into adipocytes.
Keywords: DLBS3233, Adipogenesis, Gene expression analysis, Real-time RT-PCR
© 2016 The Authors. Published by Innovare Academic Sciences Pvt Ltd. This is an open access article under the CC BY license (http://creativecommons.org/licenses/by/4.0/)
INTRODUCTION
Adipose tissue plays an important role in lipid metabolism. This includes the storage of triglycerides, release of fatty acid and insulin sensitivity [1]. The cells in this tissue express adipocyte glucose transporter 4 (GLUT-4) protein [2]. The use of glucose in muscle and adipose tissue are mediated through transmembrane protein expression of GLUT-4 [3]. In patients with type-2 diabetes or obesity, the gene expression of GLUT-4 decreased in adipose tissue but not in human muscle tissue [4].
Adipose tissue is composed of several types of cell components. Among the cellular components, we can find adipocytes, preadipocytes, fibroblasts, endothelial cells and stem cells that can differentiate into multiple cell types. Pre-adipocytes have the ability to proliferate and differentiate into mature adipocytes. This process is known as adipogenesis. Pre-adipocytes are also instrumental in the expansion of adipose tissue [1]. Pre-adipocytes that resemble fibroblasts can be cultured in vitro. Metabolic studies using pre-adipocytes can be done by inducing the differentiation into mature adipocytes.
Adipogenesis involves transcription factors and proteins that regulate the gene expression related to cells differentiation. Several positive and negative regulators of this network have been reported in recent years [5]. The most obvious characteristic observed in adipogenesis is a drastic change in cell physiology, such as changes in cells of fibroblasts to form a ball shape. These morphological changes are in line with changes in level and type of extracellular matrix components (ECM) and cytoskeletal [2]. At the molecular level, a number of transcription factors regulating adipogenesis, such as CCAAT/enhancer binding proteins (C/EBPs) and peroxisome proliferator-activated receptor γ (PPAR-γ). C/EBP-β and C/EBP-δ are expressed first, thus inducing the expression of PPAR-γ and C/EBP-α. PPAR-γ and C/EBP-α activates a number of genes that induce cell differentiation of adipocytes including genes that are responsible for lipid accumulation and insulin sensitivity [6].
This research aims to analyze the influence of DLBS3233, a combination of herbal extracts containing Lagerstroemia speciosa and Cinnamomum burmannii, in adipogenesis of 3T3-L1 pre-adipocytes. In previous studies, it has been known that DLBS3233 increased gene expression associated with improvement in signaling and insulin sensitivity such as PPAR-γ, phosphatidylinositol-3-kinase (PI3K), Akt and GLUT-4. This extract has also been known to increase glucose uptake and significantly reduce the secretion of adiponectin and resistin [7]. DLBS3233 was also found to enhance the expression of genes associated with increased insulin signaling and sensitivity, such as PPAR-γ and PPAR-δ [8]. Previous studies have also shown that extract of L. speciosa leaves that was used to reduce blood glucose levels in mice with a genetic disorder and diabetes could increase glucose uptake into adipose cells. It is also believed that L. speciosa works as an activator of glucose transport in 3T3 Swiss albino [9]. This research studied the effect and mechanism of DLBS3233 in stimulating adipogenesis through the method of gene expression analysis approach by real-time reverse transcription-polymerase chain reaction (RT-PCR).
MATERIALS AND METHODS
Materials
3T3-L1 pre-adipocytes culture (ATCC® CL-173TM), Dubelcco's Modified Eagle's Medium (DMEM) high glucose (Gibco BRL), Bovine Calf Serum (Gibco BRL), Fetal Calf Serum (Gibco BRL), penicillin/streptomycin (Gibco BRL), Tris/EDTA (Gibco BRL), aqua bidestilata, dimethyl sulfoxide (DMSO) (Sigma Aldrich), 70% ethanol, Trizol® (Invitrogen), chloroform (Merck), isopropanol (Merck), NaOH (Merck), GoScript TM (TM (trademark symbol) is written with superscript) reverse transcriptase reverse Go-script transcriptase (Promega), reverse transcriptase buffer (Promega), Oligo-dT primer (Promega), Random primer (Promega), RNAse inhibitor (Promega), DNase type I (Thermo Scientific), MgCl2 (Thermo Scientific), DNase buffer (Thermo Scientific), 0.2 μm membrane filter (Iwaki), Eva Green SSO fast (Promega), oil red-O (Sigma Aldrich), formaldehyde, isobutyl-methylxanthine (IBMX) (Sigma Aldrich), dexamethasone (Sigma Aldrich), insulin (Gibco) and DLBS3233, obtained from Dexa Laboratories of Biomolecular Sciences (DLBS).
Primer design
Analysis of gene expression was performed at mRNA level. PCR was performed to amplify a specific gene using specific primers. Specific primers were designed using software primer3. National Center for Biotechnology Information (NCBI) is the source of gene sequences. Six gene-specific primers are shown in table 1. The specificity and efficiency of primer sequences were determined prior to analysis. Specificity was determined by PCR resulting in a single band with the size of a target gene in accordance to gene primer design results. Efficiency was determined using RT-PCR by sample dilution of complementary DNA (cDNA) in several concentrations mixed with cDNA primer sample. The concentration at t time (Ct) obtained was plotted with the logarithm of cDNA concentration. R2 linearity expected was a straight line at 0.99. Efficiency was determined by logarithmic plot of amplification amount (copy number) of Ct which resulted in a straight line with slope=-(1/log E) [10]. The range of acceptable efficiency is 1.85 to 2.05.
3T3-L1 pre-adipocytes subcultures
Subcultures of 3T3-L1 pre-adipocytes performed in 10 cm petri dish with the medium of DMEM containing 10% bovine serum and 1% penicillin/streptomycin at a temperature of 37 °C with a humidity of 5% CO2. After 3-4 d or after cells confluence has reached 80%, the cultured cells were ready to be treated by DLBS3233 and differentiation medium in 6 cm petri dish [11].
Concentration determination of DLBS3233
5-8x103 3T3-L1 preadipocytes were cultured into a 96-well plate. Cultures in DMEM medium, 10% bovine serum and 1% penicillin/streptomycin were incubated at 37 °C with humidity of 5% CO2 for 24 h. Then the culture medium was replaced by medium without serum. DLBS3233 was given at concentrations of 5, 10 and 25 μg/ml. Medium without serum with DMSO as solvent served as the control. At this stage, the cell cultures were incubated for 8-12 h. 20 μl 3-(4,5-dimethylthiazol-2-yl)-2,5-(3-carboxymethoxyphenyl)-2-(4-sulfophenyl)-2H-tetrazolium (MTS) reagent was added to each well then incubated for 2-4 h. The absorbance was measured at 570 nm.
Adipocytes differentiation
8x104 3T3-L1 preadipocytes were cultured in 6 cm petri dish with a maintenance medium of pre-adipocytes. The cells in the medium were conditioned to keep the confluence up to 100%. Replacement of medium-keeping was done every 2-3 d. Once the cells reached the confluence of 100%, cells will be allowed to grow up to 48 h. After 48 h, maintenance medium was replaced with differentiation medium. Differentiation medium consists of DMEM, 10% fetal calf serum, 0.25 μM dexamethasone, 0.25 mM IBMX and 1 mg/ml insulin (medium 1). This medium replacement was counted as day 0. After 48 h (day 2), the medium was replaced by medium 1 without dexamethasone and IBMX (medium 2). The medium was replaced by medium 2 every 48 h. This differentiation process was carried out from day 0 to day 7. Cell culture medium was given cell culture differentiation to control differentiation process [11].
Treatment of 3T3-L1 pre-adipocytes with DLBS3233
After 48 h post-confluent, maintenance medium of 3T3-L1 pre-adipocytes was replaced by DMEM medium, 1% fetal calf serum and 1 mg/ml insulin. DLBS3233 at concentration of 5 and 10 μg/ml was added [7]. After 48 h, the medium was replaced with DMEM high glucose, 10% fetal calf serum, 1 mg/ml insulin and DLBS3233 with the same concentration. The medium was replaced with medium mentioned above every 48 h. Cell cultures were observed from day 0 to day 7 by taking samples on day 0, 1, 3, 5 and 7. Analysis of gene expression was performed using real-time RT-PCR.
Oil red-O staining
Oil red-O staining is the method used to determine adipocytes formation. Cell cultures that have been treated with differentiation medium were stained with oil red-O on day 6. After the medium has been discarded, cell cultures were washed twice with phosphate-buffered saline (PBS). The cell cultures were fixed with 10% formalin (in PBS) then allowed for standing for approximately 1 h. Formalin was then discarded, and the remaining formalin residual was rinsed with 60% isopropanol. The cell cultures were allowed to dry. Afterward 1 ml of oil red-O was added into the cell cultures. Cell cultures were incubated for 1 h at room temperature. Oil red-O was removed after 1 h and rinsed with ddH2O. At this stage, the cells can be photographed. Therefore, the cells were allowed to dry. Then 100% isopropanol was added to dissolve the oil red-O [12]. The staining result can be quantified at 520 nm.
RNA isolation
Isolation of total RNA was performed using Trizol® reagent (Invitrogen). Generally, the cells were lysed in reagent Trizol®. 3T3-L1 pre-adipocytes cell cultures were extracted using chloroform followed by precipitation using isopropanol a temperature of . The resulting pellets were resuspended in nuclease-free water and stored a temperature of the concentration and purity of RNA were determined using optical density calculation by spectrophotometer at 260 nm. RNA integrity was determined using gel electrophoresis to detect 28S and 18S bands. The isolated RNA was performed using PCR to determine the contamination of genomic DNA. RNA act as a template and internal control primers compared to the ddH2O control [7]. The presence of DNA amplification was indicated if the results give bands in the gel electrophoresis. If DNA contamination was known, the total genomic DNA in RNA was degraded using DNase. 1 μg of total RNA was added into 1μl DNase 1U. RNA mixture was incubateda temperature of for 30 min. To degrade DNase, 1 ml of 50 mM EDTA was added to total RNA and incubated a temperature of for 10 min. The purity of RNA was determined by PCR using an internal control. If the gel electrophoresis showed no band of an internal control gene, RNA is ready to use for reverse transcription.
Real-time RT-PCR
To generate cDNA by real-time RT-PCR, 1 μg of DNA-free RNA was mixed with the oligo-dT reagent. Reverse transcription reaction was performed using 0.5 μl RNase inhibitor 2500U, 5 μl 5x buffer, 2 μl 10 mM nucleotides, 1μl GoScript TM (TM (trademark symbol) in superscript) reverse transcriptase and 1.5 μl 25 mMMgCl2 (2 in subscript). Reverse transcription reaction condition including hybridization a temperature of for 5 product storage at 4 °C [7].
Table 1: List of gene-specific primers
Target |
Primer |
Size (bp) |
|
C/EPB-δ |
Forward |
5' ACACCCTGGCCCACAGAAC 3' |
159 |
Reverse |
5' GGAGTCAATGTAGGCGCTGA 3' |
||
C/EPB-α |
Forward |
5' GAGTCGGCCGACTTCTACGAG 3' |
98 |
Reverse |
5' AAAGCCAAAGGCGGCGT 3' |
||
FASn |
Forward |
5' AGGATCTCTCCAAGTTCGACG 3' |
121 |
Reverse |
5' ATACCTCCATCCACAATTGCT 3' |
||
PPAR-γ |
Forward |
5' AATCCTTGGCCCTCTGAGAT 3' |
232 |
Reverse |
5' TTCTCAAGGGTGCCAGTTTC 3' |
||
Adiponectin |
Forward |
5' GTTGCAAGCTCTCCTGTTCC 3' |
192 |
Reverse |
5' TCTCCAGGAGTGCCATCTCT 3' |
||
Beta actin |
Forward |
5' ACCCACACTGTGCCCACTTA 3' |
289 |
Reverse |
5' CGGAACCGCTCATTGCC 3' |
||
Analysis of gene expression
cDNA obtained from real-time RT-PCR will be used to analyze the five genes. Gene amplification reaction performed in a mixture containing SYBR green (SSO fast green Biorad) with a pair of specific target gene primer or internal control and cDNA. PCR condition for each target gene is similar to each other and generally comprises an initial denaturation at 95 °C for 3 min, 30-40 cycles of denaturation at 95 °C for 30 s, annealing at 56-60 °C for 30 s, extension at 72 °C for 1 min and extension reaction at 72 °C for 10 min. Real-time RT-PCR was performed using iCycler PCR (Biorad). The level of quantitative target gene expression, which reflects the ratio of the target gene product and the internal control, based on the value of primary efficiency has been obtained [7].
Statistical analysis
The control and test difference were statistically determined by student's t-test [10]. The data presented are obtained in duplicate.
RESULTS AND DISCUSSION
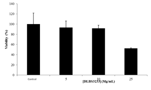
Before performing the treatment, the concentration of DLBS3233 was determined to 3T3-L1 cells. For this purpose, 3T3-L1 cells were conditioned in medium without serum with DLBS3233 at concentration of 5, 10 and 25 μg/ml for 24 h. MTS reagent was added and incubated for 2-4 h at 37 °C. Results were measured by UV-Vis at 490 nm. The result of analysis (fig. 1) showed that DLBS3233 at concentration of 5 and 10 μg/ml did not cause cell death while concentrations of 25 μg/ml caused cell death by 50% of control. From these results, DLBS3233 at concentration of 5 and 10 μg/ml were used for the treatment.
Fig. 1: Results of 3T3-L1 cell viability to DLBS3233 extract at concentrations of 5, 10, and 25 μg/ml
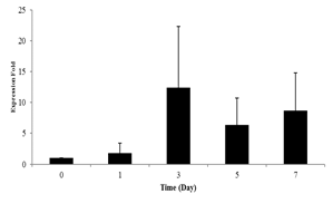
To analyze the changes of gene expression of transcription factors that might affect adipogenesis, post-confluent 3T3-L1 cell cultures were treated with DLBS3233 at concentration of 5 and 10 μg/ml. DMSO was used as a control and 3T3-L1 cell cultures with differentiation medium as a process controller of adipogenesis. This procedure began at day 0 to day 7. C/EBP-δ is an important transcription factor in adipogenesis. In the early stages of adipogenesis, C/EBP-δ was transiently induced due to hormonal stimulation. C/EBP-δ began to increase its expression within 24 h after the induction of adipogenesis [1]. Accumulation of C/EBP-δ expression was response to the presence of methylisobutylxanthine (MIX) in the differentiation medium. After MIX has been removed from the medium, the expression of C/EBP-δ was decreased in the following 48 h [14]. In this experiment, post-confluence 3T3-L1 cell cultures were conditioned with the differentiation medium. Accumulation of C/EBP-δ began to occur 24 h after administration of differentiation medium. The highest expression level was on day 3. On day 2 of differentiation, the medium was replaced by eliminating MIX and dexamethasone from the basic medium. The expression of C/EBP-δ was decreased in 48 h after MIX and dexamethasone removal from the medium, as shown in fig. 2. Gene expression of C/EBP-δ in cell cultures treated with DLBS3233 showed different results between concentration of 5 and 10 μg/ml. Fig. 2 showed that DLBS3233 at concentration of 5 and 10 μg/ml were increased when compared to control on day 1. On day 3, DLBS3233 at concentration of 5 μg/ml showed that the level of C/EBP-δ expression was higher than control, but the level of C/EBP-δ expression in DLBS3233 at concentration of 10 μg/ml was lower than control. The pattern of C/EBP-δ expression with DLBS3233 at concentration of 5 μg/ml was similar to the expression pattern shown in cell cultures with medium differentiation. Activity of C/EBP-δ associated with CEBP-β can stimulate the expression of PPAR-γ, which was expressed after 2 d of the induction of differentiation and maximally expressed on day 3 to 4. C/EBP-δ and C/EBP-β have also mediated the expression of C/EBP-α that were began two days after induction with MIX, dexamethasone, and insulin [14]. Increased PPAR-γ gene expression as shown in fig. 3, is shown in positive control with differentiation medium that occurred on day 3. Compared to DLBS3233 at concentration of 5 μg/ml, increased gene expression that occurred on day 3 followed by a significant increase on day 5 and decreased expression on day 7 and it increased significantly compared to control. The result showed that the gene expression was also increased on day 3 compared to control, which was slightly different to DLBS3233 at concentration of 10 μg/ml. On day 5 and day 7, the gene expression was decreased compared to control. Expression of C/EBP-α with differentiation medium began to increase on day 3. On day 5 and 7, there was an increase compared to day 0 and day 1 (fig. 4). Treatment with DLBS3233 at concentration of 5 μg/ml can increase C/EBP-α expression significantly on day 3, as well as day 5 and day 7. C/EBP-α expression appeared higher on day 5. DLBS3233 at concentration of 10 μg/ml yielded an increase in C/EBP-α expression on day 3 followed by day 5 and day 7, and the highest increase of gene expression was on day 5. But overall, the increased C/EBP-α expression at concentration of 10 μg/ml was not as good as those at concentration of 5 μg/ml.
Fig. 2: Expression of C/EBP-δ in 3T3-L1 cell culture with differentiation medium (above) and treatment of DLBS3233 (bottom). Solvent DMSO was used as control. Data is the mean and standard deviation of two independent experiments. * T-test; P <0.05 on day 0 control
To detect cells differentiation into adipocytes, detection of specific adipocyte genes was performed. In this case, expressions detected were fatty acid synthase (FASn) and adiponectin. FASn is one of the proteins involved in the metabolism of triacylglycerol. Expression was increased 10 to 100-fold in the final phase of differentiation [2]. FASn expression in late differentiation phase can be used to detect the formation of adipocytes. FASn gene expression increased from day 3 to day 7 compared to the expression on the first day. A significant increase occurred on day 3. This expression was observed in the conditioned cell culture medium differentiation as a differentiation process control (fig. 5). FASn expression on DLBS3233 at concentration of 5 μg/ml showed a significant increase from day 3 to day 7. This increase was exceeding the control because the expression was increased nearly 150-fold on day 3, 50-fold on day 5 and 60-fold on day 7. In DLBS3233 at concentration of 10 μg/ml, the increased gene expressions began to occur on day 3 to day 7.
This is compared to the expression on day 0 and 1. The expression of the series showed a significant increase on day 3. Adiponectin is known to its specific extracellular protein expressed in differentiated adipose namely AdipoQ. The role of adiponectin including improving insulin sensitivity, anti-inflammatory and slowing the formation of atherosclerosis [6]. Adiponectin gene expression in differentiation process control (fig. 5) showed that gene expression was likely to increase dramatically on day 3. This increment continued on day 5 and day 7. This indicates that adipogenesis occurred in which most pre-adipocytes turned into adipocytes. The result of treatment with DLBS3233 at concentration of 5 and 10 μg/ml showed two totally different things.


Increased gene expression of adiponectin in DLBS3233 at concentration of 5 μg/ml began to appear on day 5 and day 7. It showed that adipocytes began to form on day 5. DLBS3233 at concentration of 10 μg/ml did not show significant increase in gene expression of adiponectin compared to control. Lipid droplets accumulated in 3T3-L1 cells can be used to identify the presence of adipocytes. The lipid droplets can be characterized using oil red-O. As shown in fig. 7, it can be seen visually by microscope that the amount of lipid droplets at most to least formed in cell culture are DLBS3233 treatment at concentration of 10 μg/ml followed by DLBS3233 at concentration of 5 μg/ml and cells cultured with differentiation medium. This is confirmed by the number of UV-Vis absorbance at 520 nm.

Fig. 4: Expression of C/EBP-α in 3T3-L1 cell culture with differentiation medium (above) and treatment of DLBS3233 (bottom). Solvent DMSO was used as control. Data are the mean and standard deviation of two independent experiments. * T-test; P <0.05 on day 0 control.

Fig. 5: FASn expression in 3T3-L1 cell culture with differentiation medium (above) and treatment of DLBS3233 (bottom). Solvent DMSO was used as a control.

Fig. 6: Adiponectin expression in 3T3-L1 cell culture with differentiation medium (above) and treatment of DLBS3233 (bottom). Solvent DMSO was used as control. Data are the mean and standard deviation of two independent experiments. * T-test; P <0.05 on day 0 control.
Fig. 7: Visualization of oil red-O staining on day 6 under the microscope at magnification of 100 times.
Fig. 8: Percentage of absorbance of oil red-O staining on day 6, λ = 520 nm
From the results of absorbance as shown in fig. 8, it shows that the percentage of lipid droplets formed in the cell culture of DLBS3233 at concentration of 10 μg/ml is more than 14%, while DLBS3233 at concentration of 5 μg/μl is more than 7% and 5% medium controls differentiation is more than the DMSO control.
CONCLUSION
From this experiment it can be concluded that DLBS3233 at concentration of 5 μg/ml and 10 μg/ml may affect the increase of gene expression of transcription initiation of adipogenesis. The emergence of the expression of specific genes proved that 3T3-L1 pre-adipocytes began to turn into adipocytes. DLBS3233 at concentration of 5 μg/ml may affect the increase of gene expression of transcription initiation of adipogenesis better than 10 μg/ml. The mechanism of 3T3-L1 pre-adipocytes into adipocytes was characterized by an increase in C/EBP-δ expression which stimulates PPAR-γ and C/EBP-α expressions. An increased expression of adipocyte-specific genes, FASn and adiponectin, on day 5 and day 7 marked the formation of adipocytes. Further study is needed both at transcription and protein level to further clarify the effect of DLBS3233 on adipogenesis.
ACKNOWLEDGEMENT
The authors acknowledge Dexa Laboratories of Biomolecular Sciences (DLBS)–PT. Dexa Medica for financial support. The authors would like to thank Destrina Grace and Isabela Anjani for critical review on this manuscript.
CONFLICT OF INTERESTS
The authors declared no conflicts of interest with respect to the authorship and/or publication
REFERENCES