
Department of Pharmaceutical Sciences, Faculty of Pharmacy, Chiang Mai University, Chiang Mai 50200, Thailand, 2Health Innovation Institute, Chiang Mai-50230, Thailand
Email: chaiyavat@gmail.com
Received: 21 Sep 2015 Revised and Accepted: 18 Nov 2015
ABSTRACT
Objective: The aim of the study was to evaluate the chemical stability and antioxidant ability of selected anthocyanidin (ACN) upon various commonly used physical treatments.
Methods: Pure compounds of representative ACNs (cyanidin, peonidin) were subjected to microwave, heat, and sonication treatments followed by analyzing the rate of degradation by LC-MS. The changes in the antioxidant ability of ACNs were also assessed by DPPH and ABTS assay.
Results: All the tested treatment strategies accelerated the degradation and diminished the antioxidant capacity of pure ACN, more specifically heat exposure cause ~ 90% of degradation and ~3 fold reduction in antioxidant capacity. About 91.34% and 87.73% of cyanidin and peonidin degradation were documented after heat treatment, respectively. Relatively sonication has not accelerated the ACN debasement, but significant level of degradation (p<0.05) was observed.
Conclusion: The study results suggested that the maximum concern is required for the selection of the method of the degerming process during the production of precious formulations. This study revealed that microwave and sonication processes are better than dry heat based aseptic methods for pure ACNs based product, especially in pharmaceuticals with respect to the stability and bioactivity of ACN.
Keywords: Anthocyanidin, Antioxidant capacity, Physical treatment, Phenolic acids.
© 2016 The Authors. Published by Innovare Academic Sciences Pvt Ltd. This is an open access article under the CC BY license (http://creativecommons.org/licenses/by/4.0/)
INTRODUCTION
Anthocyanins are phenolic, water-soluble and prevalent flavonoids present in plants. Anthocyanins are the largest pigments responsible for a range of colors from red to violet and blue [1]. About 20 chromophores of anthocyanins are there, conflicting in the number and site of their hydroxyl and methyl groups. Anthocyanins are tailored by aromatic or aliphatic acyl and glycosyl moieties, ensuring in some anthocyanin molecules that diverged in shade and stability. Anthocyanins have an excellent perspective for application in pharmaceutical products as nutraceuticals and therapeutic compounds. Proper anthocyanins supplementation helps to reduce the risk of coronary heart diseases and stroke. Anthocyanins are known for anti-carcinogenic activity, antioxidant activity, and anti-inflammatory effects [2-4]. Moreover, the extracts of plant and its parts are commonly used in cosmetics as antioxidants, moisturizers, whitening agents, sunscreens, colorants, and preservatives [5]. Anthocyanins are glycosylated forms of anthocyanidins (aglycone).
Cyanidin, peonidin, delphinidin, malvidin, pelargonidin, and petunidin are the anthocyanidins (ACNs) commonly present in the plants [6]. Cyanidin (CYN) is the most common ACN and all these six ACNs are the important dietary flavonoids [7]. Delphinidin and CYN followed by malvidin and peonidin (PEN) are reported for their highest free radical scavenging activity. ACNs are more active than their glycosylated forms (anthocyanins) in scavenging the free radicals in the human low-density lipoprotein (LDL) model [8]. CYN possess antioxidant and anti-inflammatory properties [9]. CYN and malvidin isolated from the aleurone layer of Oryza sativa cv. Heuginjubyeo reported for its cytotoxicity and induction of apoptosis on human leukemia cell (U937)[10]. A study has suggested that dietary anthocyanins would exhibit higher activities after getting digested and evidenced that CYN possessed higher antidiabetic activity compared to its glycoside form, cyanidin-3,5-diglucoside [11]. ACNsare commonly used in the pharmaceutical preparations. Thus, CYN and PEN are selected as a representative ACN for the current study.
The stability of anthocyanins depends on pH, co-pigmentation with parallel colorless flavonoids and development of complexes with metal ions [12]. Many studies and reviews are detailing the biosynthesis and molecule composition of anthocyanin [13-16]. Anthocyanins are sensitive to temperature; particularly above 70 °C. Anthocyanins degradation parameters were already kinetically analyzed [17]. A comprehensive review by Oren-Shamir [18] explains the evidence of existence and degradation of anthocyanin in plants. The majority of the anthocyanins derived from berries and grapes are used in pharmaceutical and other health associated products. Sterility of the products can be ensured by the sterilization processes like heating, radiation, and other physical treatments. During aseptic processing, the chances of degradation of anthocyanins are high. Heat (95 °C) mediated degradation, and structural changes of anthocyanins were analyzed at pH 3.5, which was isolated from black carrot, elderberry, and strawberry. The study suggested that degradation pathway of anthocyanins was varied from pH 1 and 3.5. The antioxidant properties of anthocyanins also were affected by heat [19]. The degradation pathway and rate of transformation of anthocyanins during different physical sterilization methods are yet to be explored in detail. Thus, the current study was intended to evaluate the degradation rate and antioxidant properties of ACNs upon physical treatments such as heat, microwave, and sonication.
MATERIALS AND METHODS
Chemicals and stock preparation
ACNs (cyanidin, peonidin), phenolic acids (protocatechuic acid, vanillic acid), and phloroglucinaldehyde were purchased from Extra synthesis, France. Stock solutions of ACN, phenolic acids, and phloroglucinaldehyde were prepared at the concentration of 1 mg in acidified alcohol (95% Ethanol: 0.1 N HCl at the ratio of 85: 15). Calibration curve was prepared in the range of 0.01-0.50 mM for cyanidin (R2 = 1.000), peonidin (R2 = 0.999), and 0.003-0.50 mM for protocatechuic acid (R2 = 0.999), vanillic acid (R2 = 1.000), and phloroglucin aldehyde (R2 = 1.000). All the experiments in this study were performed in triplicates.
Conditions for anthocyanin degradation
ACNs prepared in acidified alcohol were subjected to different physical treatments as follows. 1. Storage at -20 °C (as control), 2. Microwave (MW) (at (~100 °C) 600 W for 5 min), 3. Heat (HT) (at 95 °C for 2 h), 4. Sonication (SN) (at 120 Hz for 1 h at room temperature (RT)). After treatments, samples were filtered through 0.45 µm nylon membrane filter before LC-MS analysis.
LC-MS analysis
ACN, phenolic acids, and phloroglucin aldehyde were analyzed by LC-MS. HPLC equipped with DAD and MSD SL model MS (Agilent technologies LC/MSD SL, USA) was used for the analysis. The Shodex® pack C18-4E column (250 mm × 4.6 mm; 5 μm) (Showa Denko, Japan) was used. The ACN was detected with DAD at 520 nm, and phenolic acids and phloroglucin aldehyde were detected at 280 nm. CYN and PEN at the concentration of 0.33 mg/ml were used for LC-MS with an injection volume of 20 µL. LC-MS analysis was performed with the capillary voltage of 4000 V (positive) and 3500 V (negative). The drying gas (N2) flow rate was 13 L/min, at 320 °C with 60 psi of nebulizer pressure. The data was collected in API-ES mode over a scanning mass spectral range of 80 to 500 m/z. The peaks were identified by the molecular mass of the respective phenolic acids and aldehyde reported in previous literature [20-22].
DPPH assay
The 1,1-diphenyl-2-picryl-hydrazil (DPPH), free radical scavenging activity of ACN, was assessed before (control) and after physical treatments [23]. In short, 2.9 ml of 0.1 mM DPPH solution was mixed with 100 μL of samples (25-200 µg/ml) or Trolox (positive control)(stock: 1 mg/ml of acidified alcohol; 6.25-200 µg/ml for standard curve preparation) and incubated at RT for 30 min. After incubation, absorbance was measured at 517 nm. The DPPH radical scavenging activity was calculated as follows:
ABTS assay
The 2,2′-azino-bis-3-ethylbenzthiazoline-6-sulphonic acid (ABTS) assays were performed by modified method [23]. Briefly, ABTS•+ stock solution (7 mM ABTS and 2.45 mM potassium persulfate) was prepared. The working solution was prepared by mixing 1 ml of ABTS•+ stock solution and 50 ml of deionized water (absorbance of 0.7-0.9±0.05 at 734 nm). Two milliliters of ABTS•+ working solution and 100 μL of sample (25-200 µg/ml) or Trolox (stock: 1 mg/ml of acidified alcohol; 6.25-200 µg/ml for standard curve preparation) as a positive control, was mixed and incubated at RT for 3 min. The results were expressed as mg trolox equivalents antioxidant capacity (TEAC).
Statistical analysis
Data is represented as mean±SD. Analysis of variance (ANOVA) was carried out to evaluate the differences in antioxidant activities. Duncan’s new multiple range tests was executed at the 95% confidential level (p<0.05) using statistical SPSS software version 17 (Chicago, SPSS Inc, U. S. A) to determine the significant differences.
RESULTS AND DISCUSSION
Degradation of ACN
The possible degradation pathway of the selected ACN was represented in fig. 1 and the degradation products were measured by LC-MS analysis (fig. 2-4). Initially, cyanidin (CYN) and peonidin (PEN) are converted into chalcone form and further degraded to protocatechuic acid (PA), and vanillic acid (VA), respectively [19] (fig. 1). Both the ACN can produce phloroglucinaldehyde (PG) as one of their degraded products. In all physical treatments, immense degradation was observed in both CYN and PEN. In both cases, heat at 95 °C for 2 h treatment drive the degradation faster compare to other treatments. Microwave and sonication are subsequently strong in accelerating the ACN degradation (fig. 5A, B). The percentage of degradation was also observed in heat treatment. About 91.34% and 87.73% of CYN and PEN degradation were recorded after heat treatment, respectively. Comparatively sonication has not accelerated the ACN debasement, but significant level of degradation (p<0.05) was observed (fig. 5C).
Fig. 1: Diagrammatic representation of possible degradation pathway of selected ACN. Initially, cyanidin and peonidin transformed to chalcone form, which further degrades into protocatechuic acid, and vanillic acid, respectively. Both the ACN produces phloroglucinaldehyde as one of the major degradation product
Fig. 2: Representative chromatogram of the cyanidin (A, B) and peonidin (C, D) degradation products monitored by diode array detector (DAD). Panel A and C: detection of phenolic compounds and phloroglucinaldehyde at 280 nm, Panel B and D: detection of anthocyanidin at 520 nm. In both cyanidin and peonidin degradation products, three distinct peaks were detected at different retention time. The cyanidin was detected in both 280 and 520 nm, whereas peonidin was detected only at 520 nm. (Peaks: 1 = Protocatechuic acid; 2, 6 = Phloroglucinaldehyde; 3 = Cyanidin; 4 = Vanillic acid; 5 = Peonidin). HPLC system equipped with DAD and MSD SL model (Agilent Technologies LC/MSD SL, USA) was used for the analysis.The Shodex® pack C18-4E column (250 mm × 4.6 mm; 5 μm) (Showa Denko, Japan) was used
Fig. 3: LC-MS separation of cyanidin degradation products. As detailed in fig. 2, all three predominant peaks (1, 2, and 3) were selected and analyzed through LC-MS and identified that the peaks 1, 2, and 3 were protocatechuic acid (155.1 m/z) (A), phloroglucinaldehyde (155.1 m/z) (B), and cyanidin (287 m/z) (C), respectively. Several peaks in MS chromatogram were due to other glycosyl forms of cyanidin. LC equipped with DAD and MSD SL model MS (Agilent Technologies LC/MSD SL, USA) was used for the analysis
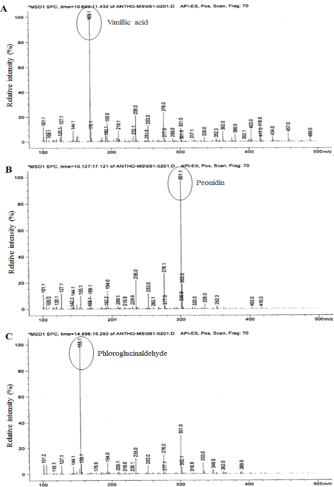
Fig. 4: LC-MS separation of peonidin degradation products. As detailed in fig. 2, all three predominant peaks (4, 5, and 6) were selected and analyzed through LC-MS and identified that the peaks 4, 5, and 6 were vanillic acid (169.1 m/z) (A), peonidin (301.1 m/z) (B), and phloroglucinaldehyde (155.1 m/z) (C), respectively. Several peaks in MS chromatogram were due to other glycosyl forms of peonidin. LC equipped with DAD and MSD SL model MS (Agilent Technologies LC/MSD SL, USA) was used for the analysis
Fig. 5: Degradation profile of cyanidin (A) and peonidin (B) after various physical treatments. The initial concentration of each ACN samples is 1000 µg in acidified ethanol. The values were denoted as µg of CYN, PEN, phenolic acid, and phloroglucin aldehyde in samples, respectively. In all the treatment process, ACN dissociation was observed. (C) The percentage of degradation was observed at the maximum of ~ 90% in the heat-exposed sample. MW: Microwave; HT: Heat; SN: Sonication. *** p<0.001
ACN are prone to degradation when exposed to endogenous polyphenol oxidase during milling and depectinization of the highbush blueberries (Vacciniumcorymbosum L.)[24]. Thermal processing of food can be preferably followed to remove harmful bacteria and inactivate the endogenous enzymes that facilitate the degradation of ACN. Degradation of ACN with time and temperature dependent manner was reported in blueberries while processing into juice and jam [24]. About 74% mM TEAC of ACN degradation was observed during extrusion of corn meal with blueberry and grape juices [25]. Even though ACNs are of great interest in the pharmaceutical, cosmetic and food industries, their use is limited due to the instability of anthocyanins [26]. Several alternative thermal based treatment strategies were followed to minimize the degradation of ACN. The impact of ohmic heating (which is also known as electro conductive heating) process on blueberry pulp ACN has been reported [27]. In the current study, the maximum level of ACN degradation was observed in the samples exposed to heat (fig. 5). The concentration of initial ACN was decreased drastically compared to control. The sum of respective phenolic acids, phloroglucin aldehyde, and residual ACN concentrations were not equal to the initial concentration of CYN and PEN in all conditions which suggested that intensive physical treatments decay the ACN into several undetectable forms.
Changes in antioxidant property
The antioxidant property of selected ACN was assessed by DPPH and ABTS assays before (control) and after physical treatments. The free radical scavenging ability of ACN has been reduced with respect to degradation and procedures. The values are represented as Trolox equivalence of antioxidant capacity (TEAC, mM) of respective ACN (fig. 6). The control samples of CYN showed 1.96±0.07 and 3.85±0.09 mM TEAC in DPPH, and ABTS assays, respectively. Whereas, the treated samples showed the reduction in the radical scavenging activity of CYN in both DPPH (0.78±0.04, 0.66±0.03, and 1.22±0.05 mM TEAC of MW, HT, and SN samples, respectively), and ABTS (1.53±0.08, 1.29±0.06, 2.40±0.02 of MW, HT, and SN samples, respectively) assays. PEN also showed reduced radical scavenging activity compared to the respective control. The control samples of PEN showed 1.07±0.05 and 2.09±0.03 mM TEAC in DPPH, and ABTS assays, respectively. Whereas, the treated samples showed a reduction in radical scavenging capacity of PEN in both DPPH (0.52±0.03, 0.16±0.02, and 0.72±0.04 mM TEAC of MW, HT, and SN samples, respectively) and ABTS (1.02±0.05, 0.31±0.02, and 1.40±0.07 mM TEAC of MW, HT, and SN samples, respectively) assays. The result suggested that the antioxidant property of the tested ACN was significantly reduced (~ 3 fold) due to the heat treatment (fig. 6).
Oligomeric procyanidins are superior in antioxidant properties [28]. Processing of flavonoids, cyanidin and plant anthocyanin by heat liberates more protocatechuic acid [29, 30], and it is known that protocatechuic acid and vanillic acid are potent antioxidants [31]. Rat administrated with heat exposed Chinese quince polyphenols solution displayed increased amount of protocatechuic and vanillic acids in its plasma. It suggested that heat facilities the conversion of ACN to phenolic acids. The antioxidant property of the degraded products of CYN and PEN in the present study suggested that free radical scavenging property of ACNs were affected by the treatment strategies.
Fig. 6: Assessment of totally free radical scavenging capacity of the degraded product by DPPH and ABTS assays. Antioxidant ability of CYN and its degraded products (A), and PEN and its degraded products (B) has been diminished after treatment, especially after heat exposure almost a three-fold reduction of scavenging activity was noticed. MW: Microwave; HT: Heat; SN: Sonication. ** p<0.01, *** p<0.001
Notably, Chinese quince phenolic solution exposed to heat for 2 h displayed the increased in vitro antioxidant properties than control, and this was possibly due to the changes in composition and proportions of compounds or formation of new components through altered degree of polymerization. Moreover, it suggested that heat treatment of Chinese quince polyphenols improves the biological activity in vivo condition [32]. But, the bioactivity of pure ACN such as CYN and PEN was almost nullified by heat (fig. 6). This data suggested that pure ACN compounds are more vulnerable to the heat mediated degradation and inactivation. Thus, the maximum concern is required for maintaining sterility and selection of the method of the degerming process during the production of precious formulations with pure ACNs, especially in pharmaceuticals.
CONCLUSION
The current study compared the commonly used physical sterilization methods with respect to ACN degradation and its antioxidant properties. The results suggested that microwave and sonication processes are better than dry heat based aseptic methods for pure ACNs based products and formulas with respect to the stability and bioactivity of ACN. Further, detailed study of other processes concerning the stability of ACN based products and it's in-vitro and in vivo bioactivity are needed, which may reveal the effective aseptic processes for pharmaceutical formulations.
ACKNOWLEDGMENT
All the authors gratefully acknowledge the Faculty of Pharmacy and Chiang Mai University, Chiang Mai for the necessary support. BSS also gratefully acknowledges the CMU Post-Doctoral Fellowship.
CONFLICT OF INTERESTS
Declared None
REFERENCES