
1Department of Research, Innovation and Consultancy, Punjab Technical University, Jalandhar-Kapurthala Highway, Kapurthala 144603, Punjab, India, 2Chitkara College of Pharmacy, Chandigarh-Patiala National Highway, Rajpura, Patiala 140401, Punjab, India, 3Lord Shiva College of Pharmacy, Sirsa 125055, Haryana, India
Email: singh.sukhbir12@gmail.com
Received: 23 Sep 2015 Revised and Accepted: 02 Dec 2015
ABSTRACT
Objective: To develop and validate simple, sensitive, accurate, specific, precise, rugged, robust and reproducible UV spectrophotometry method for the quantitative estimation of Nefopam hydrochloride (NFH) loaded in polymethacrylate nanospheres (NFH-NS) as per ICH guidelines.
Methods: Polymethacrylate nanospheres of NFH were fabricated by quasi-solvent diffusion technique. The analytical method used phosphate buffer, pH 7.4 as a solvent for the estimation of NFH which has the absorption maxima (λmax) value 266 nm. The calibration curve was plotted for NFH in beer’s range of 50-400 μg/ml. linear regression of calibration curve was performed by Graph Pad Prism version 5.01 for windows to find a p-value of the regression coefficient. The amount of NFH in polymethacrylate nanospheres (NFH-NS) was analyzed spectrophotometrically using regression equation obtained from the calibration curve. The analytical method was validated for linearity, range, accuracy, specificity, precision, ruggedness and robustness. Sandell’s sensitivity value was determined for validation of sensitivity. The drug content of polymethacrylate nanospheres (NFH-NS) was estimated using regression equation.
Results: Polymethacrylate nanospheres of NFH were successfully fabricated by quasi-solvent diffusion technique. Regression equation obtained from calibration curve was y = 0.002x+0.001. The estimated amount of NFH in 50 mg of NFH-NS analyzed by UV spectrophotometry using regression equation was found 10.19 mg. Developed analytical method for NFH was found linear in the concentration range of 50-400 μg/ml with high correlation coefficient of 0.9994 with p-value 0.008325 (*p<0.05). Molar absorptivity (ε), sandell’s sensitivity and best-fit value slope was found to be 2.5 × 10-3, 0.115 and 0.002509±0.00002569, respectively. Mean percentage recovery was found in accepted limit of 98%-102% which validated the accuracy of the method. Method exhibited system precision as well as intra-day precision as exemplified by % RSD of 0.570 and 0.704%, respectively. The proposed analytical method was validated for ruggedness, sensitivity, and robustness.
Conclusion: It was concluded that developed UV spectrophotometry method was accurate, precise, linear, specific, rugged, robust and sensitive and, therefore, can be used for routine analysis and quantitative estimation of NFH loaded in polymethacrylate nanospheres.
Keywords: UV spectrophotometry, Nefopam hydrochloride, Ruggedness, Sandell’s sensitivity.
© 2016 The Authors. Published by Innovare Academic Sciences Pvt Ltd. This is an open access article under the CC BY license (http://creativecommons.org/licenses/by/4.0/)
INTRODUCTION
The development and validation of analytical method ensure an appropriate technique for analysis of a particular analyte in more specific, accurate and precise manner. UV Spectroscopy method is simple, easy, less time consuming and an economical method that has been widely used in pharmaceutical industries for the assay of pharmaceutical products [1]. Nefopam hydrochloride (NFH) with IUPAC name 1, 3, 5, 6-Tetrahydro-5-methyl-1-phenyl-1H-2,5-benzo-xazocine hydrochloride is a non-opioid, non-steroidal, centrally acting analgesic drug (fig. 1). It has been an exclusive drug for relief of dental, severe hiccups, musculoskeletal, acute traumatic, acute wound, post-incisional, neuropathic and cancer pain [2-6]. It is the white crystalline powder, scentless, a little bitter taste with molecular formula C17H19NO. HCl and molecular weight 289.8 g/mol.
Fig. 1: Chemical structure of nefopam hydrochloride (NFH)
Starek et al. established and validated a simple, selective, precise and accurate thin-layer chromatographic method for quantification of nefopam hydrochloride in formulations [7]. Starek and Dąbrowska established and validated a quantitative densitometry thin-layer chromatographic method for determination of nefopam hydrochloride in pharmaceutical preparations [8]. Shama and Amin established simple and rapid spectrophotometry procedures for quantitation of nefopam hydrochloride, mebeverine hydrochloride and phenylpropanolamine hydrochloride [9]. Schuppan et al. developed a sensitive and specific method for the quantitative determination of plasma nefopam levels in humans by gas liquid chromatography for pharmacokinetic studies at therapeutic doses [10]. Burton et al. developed a suitable liquid chromatographic method for the determination of plasma nefopam for pharmacokinetic studies [11]. Chang and Wang developed a simple and rapid liquid chromatographic method for the determination of nefopam in plasma by HPLC system with fluorimetric detector [12]. Fatema et al. developed UV spectroscopic method for nefopam and Escitalopram as INN drugs in tablet dosage form [1].
The literature revealed that very few methods have been reported for nefopam hydrochloride estimation by UV spectroscopy method [1, 9, 13]. However, UV spectrophotometry study for estimation of NFH in polymethacrylate nanospheres has not been reported in literature survey. In present research work, polymethacrylate nanospheres of NFH (NFH-NS) were fabricated by quasi-solvent diffusion technique [14]. The novelty of this research work was the development of UV spectroscopic analytical method for detection and quantitative analysis of NFH in fabricated NFH-NS. The analytical method was validated for suitable system parameters i.e. linearity, range, accuracy, precision, specificity, sensitivity, ruggedness, and robustness. The objective of this analytical method validation was to illustrate that method was appropriate for the intended purpose and capable of producing reproducible results in assay of NFH loaded in polymethacrylate nanospheres (NFH-NS).
MATERIALS AND METHODS
Materials
Nefopam hydrochloride (CAS NO-23327-57-3, 99.57% purity, 5-methyl-1-phenyl-1, 3, 4, 6-tetrahydro-2, 5-benzoxazocine hydrochloride, Mw 289.8 g/mol) was purchased from Hangz Hou-Daying-Chem. Company Ltd. China. Eudragit RL 100 and RS 100 were received as a gift sample amiably supplied by Evonik Industries AG, Mumbai, India. Acetone (2-Propanone, C3H6O, Mw 58.08 g/mol), Heavy liquid paraffin and n-hexane (C6H14, Mw 86.18) were obtained from Merck Specialties Private Limited, Mumbai. Span 80 (sorbitan monooleate, HLB-4.3), Magnesium Stearate (magnesium octadecanoate, 591.27 g/mol), Potassium dihydrogen phosphate (AR Grade), Sodium hydroxide and Methanol were procured from Loba Chemicals Private Limited, Mumbai, India. Petroleum ether was purchased from Thomas Bakers Chemical Private Limited, Mumbai. Nefopam hydrochloride loaded polymethacrylate nanospheres were prepared in the laboratory. All other ingredients used were of analytical grade. The double beam UV-visible spectrophotometer (Systronics AU-2701, Ahmedabad, India) and (Systronics 2202, Ahmedabad, India) having two matched quartz cells with 1 cm light path were used for measuring absorbance. An electronic analytical weighing balance (0.1 mg sensitivity, Denver Instrument SI-234, Ambala, India) and digital pH meters (Deluxe model 101, Ambala, India) were used in this study.
Fabrication of polymethacrylate nanospheres loaded with NFH
Polymethacrylate nanospheres of NFH were fabricated by quasi-solvent diffusion technique [14]. The accurate quantity of NFH, eudragit RL 100 and RS 100 was dissolved in an acetone-ethanol mixture (DP). Resulting mixture was extruded through syringe #20 gradually to heavy liquid paraffin (CP). Sorbitan monooleate and n-hexane was utilized as a surfactant and a hardening agent, respectively. The mixture was continuously stirred with a magnetic stirrer (Remi Instruments Division, India) at 38±0.5 oC, centrifuged and washed with petroleum ether. Nanospheres were collected by filtration utilizing 0.22 μm membrane filters succeeded by ultracentrifugation at 20,000 rpm for 30 min applying cooling centrifuge (RIS-24 BL, Remi Instruments Division, and India) and freeze drying using lyophilizer (ISIC Make, India).
Preparation of phosphate buffer, pH 7.4
6.82 g of KH2PO4 was accurately weighed and dissolved in 250 ml water in a volumetric flask to produce 0.2M KH2PO4. 2 g of NaOH was weighed accurately and dissolved in 250 ml water in a volumetric flask to produce 0.2M KH2PO4. Accurately measured 195.5 ml of 0.2M NaOH was mixed with 250 ml of 0.2M KH2PO4 in a 1000 ml volumetric flask followed by adjustment of volume up to 1000 ml with distilled water to get phosphate buffer, pH 7.4.
Preparation of standard stock solution
50 mg of NFH was accurately weighed and dissolved in 50 ml of phosphate buffer pH 7.4 in a volumetric flask to produce a solution of 1000 µg/ml. 25 ml solution was withdrawn and diluted to 50 ml with phosphate buffer, pH 7.4 to give a standard stock solution having a concentration of 500 µg/ml.
Determination of absorption maxima (λmax) of NFH
UV absorption maximum (λmax) of NFH was determined in phosphate buffer, pH 7.4. A standard stock solution of NFH was appropriately diluted to obtain a concentration of 200 µg/ml. The resultant solution was scanned in the range of 200-400 nm using double beam UV spectrophotometer (Systronics AU-2701, Ahmedabad, India) to obtain absorption maxima (λmax) of NFH.
Preparation of calibration curve of NFH
Aliquots (i.e. 1 ml, 2 ml, 3 ml, 4 ml, 5 ml, 6 ml, 7 ml and 8 ml) were withdrawn from standard stock solution and transferred into a series of 10 ml volumetric flasks and volume was adjusted to 10 ml with phosphate buffer, pH 7.4 to give a concentration of 50 µg/ml, 100 µg/ml, 150 µg/ml, 200 µg/ml, 250 µg/ml, 300 µg/ml, 350 µg/ml and 400 µg/ml, respectively. The absorbance of various dilutions was measured against blank phosphate buffer, pH 7.4 at 266 nm. Calibration curve was plotted between concentration and absorbance [15].
Estimation of NFH in polymethacrylate nanospheres (NFH-NS)
50 mg NFH-NS which has been previously prepared as aforementioned was precisely weighed and extracted with phosphate buffer, pH 7.4 for 24 h succeeded by centrifugation at 3500 rpm for 10 min. Supernatant was analyzed spectro-photo-metrically at 266 nm using double beam UV spectrophotometer (Systronics AU-2701, Ahmedabad, India). The measurement was performed in triplicate [14]. The NFH content was estimated using regression equation y = 0.002x+0.001 obtained from the calibration curve.
UV spectrophotometry analytical method validation
Validation is the method of establishing documented evidence, which provides a high degree of assurance that a specific activity will consistently produce a desired result or product meeting its predetermined specifications and quality characteristics [15]. Method validation demonstrates that analytical procedures are suitable for intended use and support the identity, quality, purity, and potency of drug substances and drug products. Validation for UV spectrophotometry method was performed according to ICH Q2B guidelines using parameters like linearity, range, accuracy, specificity, precision, sensitivity, robustness and ruggedness [16].
Linearity
The linearity of analytical procedure was determinedusing standard concentration of NFH ranging from 50-400 µg/ml in phosphate buffer, pH 7.4. Standard solutions of NFH were prepared in triplicate and subjected to determination of absorbance at 266 nm. A standard curve was prepared by plotting actual concentration (μg/ml) vs. absorbance and correlation coefficient was calculated. The correlation coefficient was used for evaluation of linearity of analytical procedure [14, 17].
Range
Lambert-beer’s range for NFH was determined from the calibration curve. The concentration range in which calibration curve was found linear is beer’s range for NFH [18].
Accuracy
The accuracy of analytical method was checked by the spiking method. 1, 2 and 3 mg of NFH were dissolved in 10 ml phosphate buffer, pH 7.4 to give concentrations of 100 µg/ml, 200 µg/ml and 300 µg/ml, respectively. The absorbance of prepared dilution was determined at 266 nm. The accuracy was calculated as the mean percentage drug recovery from each dilution. The accepted limits of mean percentage recovery are 98%-102% [15, 17-19].
Precision
Precision studies were performed to evaluate the magnitude of total precision of proposed analytical method [17].
System precision
System precision was determined by measuring the absorbance of six independently prepared dilutions of NFH (200 µg/ml) at 266 nm. The calculated % relative standard deviation (% RSD) should be less than 2% for acceptable reproducibility and precision of system [14].
Method precision (Intra-day precision)
Six consecutive recording of absorbance at 266 nm of 200 µg/ml NFH solution were performed. The calculated % relative standard deviation (% RSD) should be less than 2% for acceptable repeatability [18].
Specificity
Specificity of analytical method was determined by analyzing 200 µg/ml of NFH alone and NFH along with excipients to be present in the formulation, both in replicates. Concentration of NFH was determined using calibration curve and percentage agreement was determined using following formula:
Where, TP is tested result in the presence of excipients (poly-methacrylate nanospheres), and TA is tested results in the absence of excipients. % RSD was calculated for % agreements which should be less than 2% for validating the specificity of the analytical method.
Ruggedness
Ruggedness is a measure of reproducibility of test results under normal and expected operational conditions from analyst to analyst and instrument to instrument. Appropriate concentrations of NFH were analyzed using different UV spectrophotometry equipment, on different days and by a different analyst to obtain various regression equations and coefficients were obtained. % RSD were calculated using regression coefficients obtained on different days, instrument and analyst and values should be less than 2%.
Robustness
Robustness of the UV spectrophotometry analytical method was determined by the analysis of appropriate concentrations of NFH at different wavelengths (266±2 nm) and at different temperatures (room temperature and 15 oC) to get various regression equations and coefficients was obtained. Values of % RSD calculated using regression coefficients should be less than 2% [18].
Sensitivity
For sensitivity measurement of UV spectrophotometry analytical method for NFH detection, Sandell's sensitivity was calculated using following formulas:
Where, εs is the specific absorptivity and its value (in ml/g/cm) corresponds to the determinant in a cuvette with an optical length of 1 cm, ε is molar absorptivity, C is the molar concentration of the determinant, and d is path length (1 cm) [15, 17, 18].
Statistical analysis
Linear regression of calibration curve was performed using Graph Pad Prism version 5.01 for windows (Graph Pad Software, San Diego California, USA). The statistical difference (*p<0.05) was considered significant.
RESULTS AND DISCUSSION
Simple, rapid and reproducible UV spectroscopic method was developed and validated as per ICH guideline for centrally acting analgesic drug viz. nefopam hydrochloride.
Fig. 2: UV scans of blank phosphate buffer, pH 7.4
Absorption maxima (λmax) of NFH
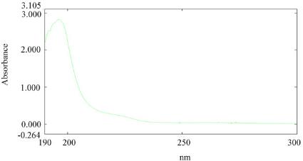
UV scans of blank phosphate buffer, pH 7.4 and NFH solution in phosphate buffer obtained using UV spectroscopy has been depicted in fig. 2 and 3, respectively. UV absorption maximum (λmax) of NFH was found to be about 266 nm.
Fig. 3: UV scan of NFH solution in phosphate buffer, pH 7.4
Calibration curve of NFH
Calibration curve of NFH was obtained using UV spectrophotometric method by plotting a graph between the concentration of NFH and its respective absorbance value obtained at 266 nm (fig. 4).
Fig. 4: Calibration curve of NFH in phosphate buffer, pH 7.4 using UV spectroscopy
Linear regression of calibration curve of NFH was performed for statistical analysis. Calibration curve of NFH in the concentration range of 50-400 μg/ml was found with high correlation coefficient of 0.9994. The p value was 0.008325 (*p<0.05) which indicated that proposed method was statistically significant (table 1). The optical characteristics of the calibration curve of NFH such as molar absorptivity (ε), Sandell's sensitivity and best-fit slope value was found to be 2.5 × 10-3, 0.115 and 0.002509±0.00002569, respectively (table 2) [15].
Table 1: Linear regression statistical data of calibration curve for NFH
Parameter |
Value |
Best-fit values |
|
Slope |
0.002509±0.00002569 |
Y-intercept when X=0.0 |
0.001321±0.006486 |
X-intercept when Y=0.0 |
-0.5268 |
1/slope |
398.6 |
95% Confidence intervals |
|
Slope |
0.002446 to 0.002571 |
Y-intercept when X=0.0 |
-0.01455 to 0.01719 |
X-intercept when Y=0.0 |
-7.011 to 5.674 |
Goodness of fit |
|
R square |
0.9994 |
P value |
0.008325 |
Table 2: Optical characteristics of calibration curve of NFH
Parameter |
Value |
λmax (nm) |
266 |
Beer’s law limits (μg/ml) |
50-400 |
Molar absorptivity, ε (l/mol/cm) |
2.5 × 10-3 |
Sandell’s sensitivity (μg/cm2.0.001 absorbance unit) |
0.115 |
Regression equation (y= mx+c) |
y = 0.002x+0.001 |
Correlation coefficient (r2) |
0.999 |
Estimated amount of NFH in polymethacrylate nanospheres (NFH-NS)
The estimated amount of NFH in 50 mg of NFH-NS analyzed by UV spectrophotometry using regression equation obtained from calibration curve was found 10.19 mg.
Analytical method validation
UV spectrophotometry analytical method was validated for linearity, range, accuracy, precision, specificity, sensitivity, ruggedness, and robustness.
Linearity
The linearity range for NFH was studied at 266 nm in the concentration range of 50-400 μg/ml. The beer`s range was found to be 50-400 μg/ml with a correlation coefficient of 0.997, which is within the limit not less than 0.99 and confirms the linearity of the method (table 3 and fig. 5) [14].
Fig.5: Graphical representation of linearity
Table 3: Data for linearity determination of UV spectrophotometry analytical procedure
Concentration (µg/ml) |
Replicate 1 (absorbance) |
Replicate 2 (absorbance) |
Replicate 3 (absorbance) |
Average absorbance |
Statistical Analysis |
50 |
0.135 |
0.134 |
0.136 |
0.135 |
Mean = 0.5601 SD = 0.2985 % RSD = 53.29 |
100 |
0.243 |
0.244 |
0.248 |
0.245 |
|
150 |
0.371 |
0.372 |
0.373 |
0.372 |
|
200 |
0.497 |
0.498 |
0.494 |
0.496 |
|
250 |
0.636 |
0.635 |
0.639 |
0.638 |
|
300 |
0.758 |
0.762 |
0.763 |
0.761 |
|
350 |
0.876 |
0.876 |
0.879 |
0.877 |
|
400 |
0.956 |
0.957 |
0.958 |
0.957 |
Accuracy
The accuracy of UV spectrophotometry analytical method was validated by the spiking method. The accuracy of an analytical procedure expresses the closeness of agreement between an accepted reference value and value actually found. Average % recovery of NFH was 100.26 which indicated the accuracy of the analytical procedure. The accuracy was calculated as the mean percentage drug recovery from 100 μg/ml, 200 μg/ml and 300 μg/ml solutions. The % mean recovery of NFH was found to be 99.8%, 100.7%, 101.4% respectively for 100 μg/ml, 200 μg/ml and 300 μg/ml solutions (table 4).
Fig. 6: Graphical representation of accuracy
The accepted limits of mean percentage recovery are 98%-102% and all observed data are within the required range which indicated good recovery values and accuracy of the developed analytical method. A graph was plotted between amount added (μg/ml) vs. amount recovered (μg/ml) as depicted in fig. 6. The correlation coefficient for the plot was found 0.997 and % RSD was 0.79 indicating good accuracy [15, 17-19].
System precision
% relative standard deviation (% RSD) of absorbance six replicate measurement of standard solution was found to be 0.57% which indicated that the system is precise to analyze NFH as the limit for % RSD is not more than (NMT) 2% (table 5) [14, 17].
Method precision (intra-day precision)
The % RSD of six consecutive recording of absorbance of the standard solution at 266 nm was found to be 0.704% (limit NMT 2%), which indicated that developed method is precise and gives consistently reproducible results (table 6) [18].
Specificity
Specificity of UV spectrophotometry analytical method was determined by analyzing NFH alone and with excipients to be present in the formulation. % RSD for percentage agreement values was found 0.55 (limit NMT 2%) which indicated the specificity of an analytical method for detection of NFH at 266 nm (table 7) [20].
Table 4: Data for accuracy determination of UV spectrophotometry analytical procedure
Solution No. |
Amount added (µg/ml) |
Amount recovered (µg/ml) |
% Mean recovery |
Statistical analysis |
1 |
100 |
105.8 |
99.8 |
Mean = 100.63 SD = 0.8201 % RSD = 0.79 |
2 |
200 |
198.4 |
100.7 |
|
3 |
300 |
307.2 |
101.4 |
Table 5: Data for system precision of NFH
Standard concentration (µg/ml) |
n |
Absorbance |
Statistical analysis |
1 |
0.498 |
Mean= 0.4972 SD= 0.002858 % RSD= 0.570 |
|
2 |
0.496 |
||
200 µg/ml |
3 |
0.499 |
|
4 |
0.500 |
||
5 |
0.492 |
||
6 |
0.498 |
Table 6: Data for intraday precision of NFH
Standard concentration (µg/ml) |
n |
Absorbance |
Statistical analysis |
1 |
0.493 |
Mean= 0.4952 SD= 0.003488 % RSD= 0.704 |
|
2 |
0.494 |
||
200 µg/ml |
3 |
0.497 |
|
4 |
0.501 |
||
5 |
0.495 |
||
6 |
0.491 |
Table 7: Data for specificity determination of UV spectrophotometry analytical procedure
Test results in the absence of excipients (TA) |
Test results in the presence of excipients (TP) |
(TP/TA)*100 |
Statistical Analysis |
||
Absorbance |
Concentration (µg/ml) |
Absorbance |
Concentration (µg/ml) |
% Agreement |
|
0.502 |
200.2 |
0.505 |
201.1 |
100.45 |
Mean = 101.3 SD= 0.5590 % RSD = 0.55 |
0.503 |
200.0 |
0.507 |
202.2 |
101.1 |
|
0.501 |
199.8 |
0.511 |
203.8 |
102.0 |
|
0.499 |
199.0 |
0.506 |
201.8 |
101.4 |
|
0.504 |
200.0 |
0.508 |
202.6 |
101.3 |
|
Table 8: Data for determination of ruggedness of UV spectrophotometry analytical method
Variable parameter |
Regression equation |
Regression coefficient (r2) |
Statistical analysis |
||
Mean |
SD |
% RSD |
|||
Day-1 |
y= 0.0025x+0.0016 |
0.9994 |
|||
Day-2 |
y= 0. 0025x+0.0024 |
0.9995 |
0.9994 |
0.0001 |
0.010 |
Day-3 |
y= 0. 0025x+0.0033 |
0.9993 |
|||
Analyst-1 |
y= 0. 0024x+0.0035 |
0.9997 |
0.99975 |
0.000007 |
0.00007 |
Analyst-2 |
y= 0. 0024x+0.0055 |
0.9998 |
|||
Equipment-1 |
y= 0. 0024x+0.0080 |
0.9996 |
0.99955 |
0.000007 |
0.00007 |
Equipment-2 |
y= 0. 0024x+0.0099 |
0.9995 |
|||
Ruggedness
% RSD of regression coefficients obtained on three different days was found 0.01% (limit NMT 2%) which indicated that analytical method rugged enough to take care of inter-day variation in the analysis. The value of % RSD obtained changing analyst and instrument was found 0.00007 (limit NMT 2%) indicating ruggedness of developed analytical method (table 8).
Robustness
Regression coefficient value at 264, 266 and 268 nm was found 0.9994, 0.9995 and 0.9996. The % RSD value was found 0.010 (limit NMT 2%) which indicated that proposed analytical method remain unaffected by small but deliberate variations in method parameters and provides an indication of its reliability during normal usage. % RSD due to temperature change was found 0.0141 (limit NMT 2%) which concluded that method is robust despite deliberate variations were done (table 9) [18].
Sensitivity
The sensitivity of measurement of NFH by proposed method was estimated sandell’s sensitivity value. Sandell’s sensitivity (μg/cm2/0.001 absorbance unit) was found 0.115 which illustrated that method is highly sensitive [17, 18]. Results of various validation parameters of UV spectrophotometry analytical method for NFH is summarized (table 10).
Table 9: Data for determination of robustness of UV spectrophotometry analytical method
Variable parameter |
Regression equation |
Regression coefficient (r2) |
Statistical analysis |
||
Wavelength |
Mean |
SD |
% RSD |
||
268 nm |
y= 0.0024x+0.0093 |
0.9996 |
|||
266 nm |
y= 0. 0024x+0.0010 |
0.9995 |
0.9995 |
0.0001 |
0.010 |
264 nm |
y= 0. 0024x+0.0117 |
0.9994 |
|||
Temperature |
|||||
Room temperature |
y= 0. 0024x+0.0075 |
0.9997 |
0.9996 |
0.000141 |
0.0141 |
15 oC |
y= 0. 0024x+0.0133 |
0.9995 |
|||
Table 10: Validation parameters of UV spectrophotometry analytical method for NFH
Parameter |
Value (%) |
(% RSD) System precision |
0.570 |
(% RSD) Intra-day precision (repeatability) |
0.704 |
(% RSD) Accuracy |
0.79 |
Accuracy (% mean recovery) |
|
100 μg/ml |
99.8 |
200 μg/ml |
100.7 |
300 μg/ml |
101.4 |
(% RSD) Specificity |
0.55 |
Ruggedness |
|
(% RSD) Inter-day (intermediate precision) |
0.01 |
(% RSD) Analyst |
0.00007 |
(% RSD) Equipment |
0.00007 |
Robustness |
|
(% RSD) Wavelength (±2 nm) |
0.01 |
(% RSD) Temperature change |
0.0141 |
CONCLUSION
UV spectrophotometry method was developed and validated for the quantitative estimation of NFH as per ICH guidelines. Developed analytical method exhibited linearity in the concentration range of 50-400 μg/ml. Method exhibited system precision as well as intra-day precision as exemplified by % RSD of 0.570 and 0.704%, respectively. The accuracy of the method was validated by mean percentage recovery which was found to be in the acceptable range of 98‐102%. The proposed analytical method was rugged enough to take care of inter-day variation in the analysis, change of analyst or instrument. The method remains unaffected by small variations in method parameters and provides an indication of its robustness. The sensitivity of measurement of proposed analytical method was high as estimated by sandell’s sensitivity value. It was concluded that developed UV spectrophotometry method was accurate, precise, linear, specific, rugged, robust and sensitive and, therefore, can be used for routine analysis of NFH loaded in polymethacrylate nanospheres.
ACKNOWLEDGEMENT
The authors wish to thank Chitkara University for providing platform for conducting this analytical research. The support for providing access to Science Direct and anti-plagiarism software from the department of Research, Innovation, and Consultancy, Punjab Technical University, Jalandhar, is greatly acknowledged.
CONFLICT OF INTERESTS
The authors report no conflicts of interest in this work.REFERENCES