
aBiology Division, Department of Basic Sciences, College of Applied Sciences, A’Sharqiyah University, Ibra, Oman
Email: hakkim.faruck@asu.edu.om
Received: 01 Oct 2015 Revised and Accepted: 12 Dec 2015
ABSTRACT
Objective: The objective of this work is to evaluate antioxidant and anti-microbial activity of methanolic extract of Omani Cymbopogan schoenanthus.
Methods:Antibacterial activity of mehanolic extract of Cymbopogan was evaluated by agar well diffusion method along with positive controls (Streptomycin, tetracycline and chloramphenicol). Antioxidant activity of the mehanolic extract of C. schoenanthus was done by 1, 1-diphenyl-2picrylhydrazyl (DPPH) free radical scavenging assay.
Results:The results indicate that the methanolic extract of C. schoenanthus is able to restrict the growth of organisms such E. coli, Klebsiella, Staphylococcus and Bacillus partially and it is not an effective antibacterial agent. In addition, the extract can scavenge the DPPH in vitro better than ascorbic acid (1 mg/ml).
Conclusion:To the best of our knowledge this is the first report on Omani C. schoenanthus as an antibacterial and antioxidant agent. Characterization of active principle responsible for observed biological activities is ongoing in our laboratory.
Keywords: Antibacterial, Antioxidant, Cymbopogon, Oman.
© 2016 The Authors. Published by Innovare Academic Sciences Pvt Ltd. This is an open access article under the CC BY license (http://creativecommons.org/licenses/by/4.0/)
In spite of the advent of the modern medicines, tribal populations are still relying on the art of herbal medicine [1, 2]. Medicinal plants have been used since the prehistoric period for the cure of various diseases. Since such plants are in high demand, lots of people get engaged in the trade of important medicinal herbs throughout the world. Nearly about 80% of the world’s population still depends upon traditional remedies together with folklore system mainly based on phytotherapy [3]. The ethno botanical use of medicinal plants was transmitted from generation to generation [4]. Extraction of medicinally active portions of the plant tissues can be done using selective solvents following standard procedures. Metabolites of relatively complex structures constitute the products so different components can be obtained in liquid, semisolid state or, after removing the solvent, in dry powder form. These products are intended for oral or external use [5]. Studying the biological and pharmacological properties of medicinal plant extracts is a rational approach in our quest for new drugs [6-9]. Emerging drug resistance is one of the consequences of the extensive worldwide use of antibiotics, and the acute challenge for health care is to find measures to combat efficiently resistant organisms [10]. This issue challenges the researchers to search for alternative remedies. In addition deteriorated effect of free radicals generated by cellular machinery should be alleviated or neutralized to protect the cells transformation. Existing antioxidants are well neutralizing free radicals, but their extreme toxicity limits their human use. WHO always prefer to approve natural products rather than synthetic products for human use, finding an antioxidant and antimicrobial agents from medicinal plants would overcome above-mentioned hurdles.
In this context, Cymbopogon species attracted much attention due to their enormous biological activities. In particular bioactive principles (extracts and essential oil) of Cymbopogon citratus reported for number of biological activities such as antimicrobial [11,12], neuro pharmacodynamic [13, 14], anti-inflammatory [15], antioxidant [16], antitumor [17], anti-mutagenic [18], anti-obesity and anti-diabetic [19, 20]. Despite of these reports still a number of Cymbopogon species exists in different part of the world, and it remains to be tested for possible biological activities.
As an attempt to explore the medicinal value of Omani wild plants, Cymbopogon were collected and identified asC. schoenanthus by Jackson Anchakunju, Botanist, A’Sharqiyah University (ASU). Voucher specimen is deposited in our herbarium collections. Collected plants were shade dried for seven days and pulverized by a mechanical grinder. Methanolic extract was obtained by soxhlet extraction procedure briefly, 20 g of C. schoenanthus powder was packed in filter paper and placed in soxhlet extractor, and 500 ml of methanol (Analytical grade) was used for extraction. Obtained methanolic extract dried at room temperature in a fume hood and dried extract stored at-20 °C until used for anti-bacterial and antioxidant experiments. Different concentrations such as 10, 25, 50, 75 and 100 mg/ml of C. schoenanthus methanolic extract were prepared using dimethyl sulfoxide (DMSO). Both gram positive and gram negative bacterial strains: namely E. coli, Klebsiella, Staphylococcus and Bacillus, were used. The antibacterial activity of C. schoenanthus methanolic extract was determined by agar well diffusion method [21]. DPPH free radical scavenging activity was performed as described by Yamasaki et al. (1994) [22].
Interest in the medicinal plant investigation by scientists increased as the bacterial resistance toward the used chemicals increased besides the transfer of this resistance to several other bacteria. Furthermore, since the use of antibiotics and other synthetic compounds leads to adverse effects on human and animal health, interest in the fields of phytochemistry, phytopharmacology, phytomedicine and phytotherapy during the last decade has been generated [23]. In this scenario, Oman’s medicinal plants received much interest due to their large diversity and abundant presence of bioactive compounds in them. A number of reports reveals that Oman’s frankincense is the most potent medicinal plant with numerous biological properties [24]. Recently we found that soxhlet extraction derived bioactive constituents from Oman’s frankincense can restrict the growth of pathogenic organisms [25, 26]. In addition Omani basil and Propolis are also reported to be potent anti-microbial agents [27, 28]. As our laboratory involved in finding non-toxic bioactive natural products from Omani medicinal plants, we tested anti-microbial property of C. schoenanthus. Cymbopogan species are well known for numerous biological activities such as antimicrobial [11, 12], anti-inflammatory [15], anti-tumor [17] etc. In this study, we found that methanolic extract of C. schoenanthus considerably restricts the growth of pathogens such as E. coli, Klebsiella, Staphylococcus and Bacillus of each concentration tested (table 1).
Table 1: Antibacterial activity of Cymbopogan schoenanthus on E. coli, Klebsiella, Staphylococcus and Bacillus
Organism |
||||
Zone of inhibitiondiameter(mm) |
||||
Concentration (mg/ml) |
E. coli |
Klebsiella |
Staphylococcus |
Bacillus |
10 |
2.5±0.5 |
2.75±0.9 |
5±2.6 |
3±0.8 |
25 |
1.75±0.5 |
3±1.3 |
5±1.3 |
3.75±0.88 |
50 |
2.25±0.5 |
6.75±2.1 |
3.75±1.4 |
6.5±2.2 |
75 |
2.25±0.5 |
12.25±6.2 |
6.5±0.9 |
4.25±1.3 |
100 |
3.25±0.5 |
10.75±1.6 |
6±1.7 |
5.25±1.9 |
Streptomycin standard |
6.1±1.57 |
7.6±0.57 |
5.5±1 |
5.95±0.57 |
Tetracyclin standard |
4±1 |
3.6±0.57 |
5±1.73 |
3.8±0.78 |
chloramphenicol standard |
3.8±0.86 |
6.3±1.5 |
4.5±1.4 |
2.95±0.57 |
Data presented as mean±SD (n=3).
Among the different organism tested Klebsiella shows the modest sensitivity for C. schoenanthus extract treatment, followed by staphylococcus, Bacillus, and E. coli. The observed antibacterial activity of extract is not appreciable due to the very low zone of inhibition. Further dose-dependent zone of inhibition was not observed and this might be due to experimental error. Mechanism of sensitization of C. schoenanthus on these microbes remains unclear.
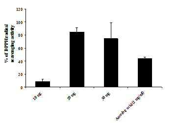
Use of plant-derived antioxidants for scientific research as well as industrials purpose is well established. Numerous natural products based antioxidants are available commercially for various clinical purposes. This is mainly due to their strong biological activity, exceeding those of many synthetic antioxidants which have possible activity as promoters of carcinogenesis [29]. Therefore, the need exists for safe, economical, powerful and natural antioxidants to replace synthetic ones [30]. Wild herbs are always subjected to such investigations due to these facts. DPPH radical scavenging assay is well-known assay to determine the antioxidant potential of any plant and microbial based products [31]. In this study, we found that appreciable DPPH radical scavenging activity of C. schoenanthus extract of each concentration tested (fig. 1).
Fig. 1: Evaluation of DPPH radical scavenging activity of methanolic extract of Cymbopogan schoenanthus
Data presented as mean±SD of triplicates
The mechanism of in vitro antioxidant potential of natural products is likely to be through the scavenging of free radicals by hydrogen donation [32, 33] and by interfering with the chain-propagating reaction of lipid peroxidation [34]. Though the antioxidant activity was not better than ascorbic acid, combinatorial biological activities (anti-microbial and antioxidant) of Omani C. schoenanthus reflects scientific merits of this plant. Further characterization of the bioactive principles from C. schoenanthus responsible for antimicrobial and antioxidant activities is ongoing in our laboratory.
CONFLICT OF INTERESTS
Declare none
REFERENCES