
*Department of Studies and Research in Chemistry, Gulbarga University, Kalaburagi 585106, Karnataka, India
Email: bhmmswamy53@rediffmail.com
Received: 09 Oct 2015 Revised and Accepted: 18 Nov 2015
ABSTRACT
Objective: The present communication deals with the synthesis and characterization of biologically active Cu (II), Co (II), Ni (II) and Zn (II) complexes of ONO donor Schiff base ligand derived from the condensation of 5-methyl-3-phenyl-1H-indole-2-carbohydrazide with 2-hydroxy-1-napthaldehyde.
Methods: The chemical structures of the Schiff base ligand and its metal complexes were elucidated by elemental analysis and various physicochemical techniques like IR, 1H NMR, ESI mass, double beam UV-visible spectra, ESR, thermal analysis, powder XRD, conductometric and magnetic susceptibility measurements. Newly synthesized compounds were screened for their antibacterial and antifungal activities.
Results: Spectral investigations suggested octahedral coordination geometrical arrangement for Cu (II), Co (II) and Ni (II) complexes, having 1:2 stoichiometric ratio of the type [M(L)2] whereas the tetrahedral coordination geometric arrangement of Zn(II) complex, with 1:1 stoichiometric ratio of the type [Zn(L)Cl]. The antimicrobial activity results revealed that the metal complexes were found to be more active than the free ligand. Furthermore, the DNA cleavage activity was also studied using plasmid DNA pBR322 as a target molecule, and the compounds showed moderate activity.
Conclusion: A new Cu (II), Co (II), Ni (II) and Zn (II) complexes were prepared with tridentate ONO donor novel Schiff base ligand (L) and characterized by various physicochemical techniques and all the complexes are found to be non-electrolytic in nature. In addition, all the newly prepared compounds are found to be biologically active.
Keywords: Indole, 2-hydroxy-1-napthaldehyde, Transition metal complexes, Antimicrobial, DNA cleavage, Powder XRD, ESR, Thermal analysis.
© 2016 The Authors. Published by Innovare Academic Sciences Pvt Ltd. This is an open access article under the CC BY license (http://creativecommons.org/licenses/by/4.0/)
INTRODUCTION
A significant growing attention in the synthesis of new metal complexes as drugs and symptomatic agents is presently observed in the field of medicinal inorganic chemistry [1]. A lot of research work in this field is mainly focused on the speciation of metal ions in the biological media based on the possible interaction of different metal ions with different biomolecules, which may lead to the development of new therapeutics or diagnostic agents [2,3]. Several reports revealed that a wide variety of metallic elements play a vital role in biological systems [4-6]. The characteristic property of metals is that they readily lose electrons from the familiar elemental/metallic states to form positively charge ions, which tend to be readily soluble in biological fluids and the metal in this cationic form play a role in the biological system. Metal ions are electron deficient, but most of the biomolecules such as DNA and proteins are electron rich. The general tendency of the attraction of these oppositely charged species will make these ions bind and interact with various biomolecules [7].
Indole and its derivatives are drawing the interest of the researchers for the development of newer drugs owing to their wide variety of biological activities such as antimicrobial [8], anti-malarial [9], anticonvulsant [10], anti-inflammatory [11], anti vascular [12], chronic diabetes [13], HIV inhibitors [14]and particularly in the treatment of cancer [15]. Furthermore, numerous reports suggest that indole 2-carbohydrazides and associated compounds may exhibit antihistaminic [16], antidepressant [17] and antimicrobial activities [18]. On the other hand, Schiff bases derived from 2-hydroxy-1-napthaldehyde have been studied extensively due to their wide range of biological applications [19, 20]. Furthermore, Schiff bases containing 2-hydroxy-1-napthaldehyde group forms stable complexes with various metal ions due to the presence of a phenolic hydroxyl group at their o-position, which coordinates to the metal ion via deprotonation. Recently, we have reported the synthesis, spectral characterization, thermal study and biological screening of some metal (II) complexes derived from the Schiff base containing thiazole moiety [21-23]. Furthermore, a survey of the literature reveals that no work has been carried out on the synthesis of metal complexes with Schiff base ligand derived from 5-methyl-3-phenyl-1H-indole-2-carbohydrazide and 2-hydroxy-1-napthaldehyde. In the present manuscript we hereby report the synthesis, characterization, thermal and biological relevance of novel Schiff base ligand N'-((2-hydroxynaphthalen-1-yl) methylene)-5-methyl-3-phenyl-1H-indole-2-carbohydrazide (L), containing azomethine nitrogen, amide carbonyl and the oxygen atom of the naphthol group as potential cheating sites and its Cu (II), Co (II), Ni (II) and Zn (II) complexes and to investigate their antimicrobial and DNA cleavage properties.
MATERIALS AND METHODS
Materials
All chemicals and solvents were of commercial reagent grade and used as received from Sigma-Aldrich. The metal and chloride contents of the complexes were determined as per standard methods [24]. Precursor molecule 5-methyl-3-phenyl-1H-indole-2-carbohydrazide was prepared by the literature method [25].
Elemental analyses were performed by using a Vario EL III CHNS analyzer. FT-IR spectra (4000 to 250 cm-1, KBr pellets) were recorded on a Perkin-Elmer Spectrum RX-I FTIR spectrophotometer. 1H NMR spectra was recorded on Bruker AVANCE II, 400 MHz spectrometer using 𝑑6-DMSO as solvent. Proton chemical shifts are reported in ppm relative to an internal standard of Me4Si. ESI mass spectra were recorded on a mass spectrometer equipped with electro spray ionization (ESI) source having the mass range of 4000 amu in quadruple and 20,000 amu in Tof. Electronic spectra were obtained on an ELICO SL-164 double beam UV-visible spectrophotometer (ca. 10-3 M in DMF). Molar conductivity of freshly prepared ca. 10-3 M DMF solution of metal complexes was measured using an Elico-CM180 Conductivity Bridge. Electron spin resonance (ESR) measurements of solid [Cu(L)2] complex were carried out on a BRUKER Bio Spin spectrometer working at a microwave frequency of 8.75-9.65 GHz is using 2,2-diphenylpyridylhydrazone (DPPH) as reference with field set at 3000 Gauss using tetracynoethylene as the ‘g’ marker (g = 2.00277). TGA/DTA plots were obtained using Perkin Elmer thermal analyzer in flowing N2 with a heating rate of 20 °C min-1. The magnetic susceptibility measurements were determined on a Gouy balance at room temperature using Hg [Co (SCN)4] as the calibrant. Powder XRD patterns were recorded on Bruker AXS D8 Advance diffractometer.
Synthesis of N'-((2-hydroxynaphthalen-1-yl) methylene)-5-methyl-3-phenyl-1H-indole-2-carbohydrazide (L)
The Schiff base ligand (L) has been synthesized by refluxing an equimolar mixture of a hot ethanolic solution of 5-methyl-3-phenyl-1H-indole-2-carbohydrazide (0.001 mol) and 2-hydroxy-1-napthadlehyde (0.001 mol) (30 ml) with an addition of a catalytic amount of glacial acetic acid (2-3 drops) for about 5-6 h. The characteristic pale yellow colored product, which separated in hot was filtered, washed with hot ethanol, dried and crystallized from hot 1, 4-dioxane. The pathway for the synthesis of Schiff base ligand (L) is presented in Scheme 1.
Scheme 1: Synthesis of N'-((2-hydroxynaphthalen-1-yl) methylene)-5-methyl-3-phenyl-1H-indole-2-carbohydrazide (L)
Synthesis of metal Schiff base complexes
The hot pale yellowish solution of L in 20 ml of ethanol (0.001 mol) was taken in RB flask; a solution of the respective metal (II) chlorides (0.001 mol) in 20 ml of ethanol was added. The reaction mixture was heated under reflux for about 6-7 h. The pH of the reaction mixture adjusted (ca.7.0-7.5) by adding sodium acetate (0.5 g) and reflux is continued for about an hour more. The reaction mixture was cooled to room temperature and poured into distilled water. The resultant precipitate was filtered, washed several times with distilled water, then with hot ethanol to remove any traces of un-reacted starting materials and dried in a vacuum over fused calcium chloride in the desiccator.
Biological activity
Antibacterial and antifungal assay
The antimicrobial activity of L and its Cu (II), Co (II), Ni (II) and Zn (II) complexes have been studied for their antibacterial and antifungal activities by using Muller-Hinton agar and potato dextrose agar (PDA) diffusion methods respectively. These activities were carried out in four different concentrations (100, 50, 25 and 12.5 μg/ml in DMSO solvent). The antibacterial activity was tested against four bacteria [Staphylococcus aureus (MTCC 3160), Bacillus subtilis (MTCC 736), Escherichia coli (MTCC 46) and Salmonella typhi (MTCC 98)] and antifungal activity against four fungi [Candida albicans (MTCC 227), Cladosporium oxysporum (MTCC 1777), Aspergillus flavus (MTCC 1883) and Aspergillus Niger (MTCC 1881)] by a minimum inhibitory concentration (MIC) method [26]. The lowest concentration of each tested compound where the growth of bacteria/fungi was clearly inhibited is reported as MIC. The obtained results were compared under similar conditions using Gentamycin and Fluconazole, a broad-spectrum antibiotic for bacterial and fungal strains respectively. The experiment was done in triplicate, and the average values were calculated.
DNA cleavage studies
The DNA cleavage experiment was conducted using supercoiled plasmid DNA pBR322 as a target molecule as per the literature method [27].
Agarose gel electrophoresis (AGE) method
Each test compound (100 μg) was added separately to the 225 μg of DNA sample, and these sample mixtures were incubated at 37 °C for 2 h. The 600 mg of agarose was dissolved in 60 ml of TAE buffer (4.84 g Tris base, pH 8.0, 0.5 M EDTA L-1) and heated to boil for a few minutes. When the gel attains approximately 55 °C, it was then poured into glass cassette fitted with a comb. The gel was allowed to solidify by cooling to room temperature and then carefully comb was removed. The solidified gel was placed in the electrophoresis chamber flooded with TAE buffer. The 20 μL of DNA sample (mixed with bromophenol blue dye at 1:1 ratio) was loaded into the electrophoresis chamber wells along with standard DNA marker and constant 50 V of electricity was supplied for around 30 min. The gel was removed carefully, stained with ethidium bromide (EtBr) solution (10 μg/ml) for 10-15 min and bands were observed under UV-transilluminator (UVP, Germany) and photographed to determine the extent of DNA cleavage and the results were compared with the standard DNA marker.
RESULTS AND DISCUSSION
Chemistry
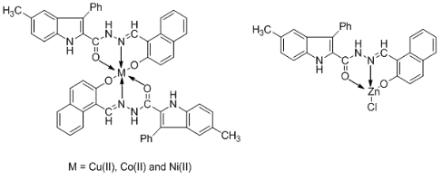
The synthesized Cu (II), Co (II), Ni (II) and Zn (II) complexes are colored solids, stable at room temperature and infusible at high temperatures. The complexes are insoluble in water and many common organic solvents, but soluble to a large extent in DMF and DMSO. The elemental analysis data depicted in table 1, are agreeing well with the proposed composition of L and its metal complexes. These data support the metal to ligand stoichiometric ratio of the complexes is 1:2 of the type [M (L)2] (M = Cu, Co and Ni) and 1:1 stoichiometry of the type [Zn(L)Cl] for Zn complex (where, ‘L’ stands for a deprotonated ligand). The observed molar conductance values are too low to account for any dissociation of the metal complexes indicating that complexes are non-electrolytic in nature.
Table 1: Physical and analytical data of Schiff base ligand (L) and its metal complexes
Compounds |
M. W. |
M. P. ( °C) |
Elemental Analysis, found (Calc.) [%] |
λm |
µeff (BM) |
||||
C |
H |
N |
M |
Cl |
|||||
C27H21N3O2 (L) |
419 |
280 |
77.36 (77.32) |
5.11 (5.01) |
10.14 (10.02) |
-- |
-- |
-- |
-- |
[Cu(C27H20N3O2)2] [Cu(L)2] |
899.54 |
>300 |
72.09 (72.03) |
4.32 (4.44) |
9.44 (9.33) |
7.14 (7.06) |
-- |
21 |
1.83 |
[Co(C27H20N3O2)2] [Co(L)2] |
894.93 |
>300 |
72.51 (72.40) |
4.35 (4.46) |
9.44 (9.38) |
6.65 (6.58) |
-- |
19 |
4.83 |
[NiC27H20N3O2)2] [Ni(L)2] |
894.69 |
>300 |
72.54 (72.42) |
4.40 (4.47) |
9.49 (9.38) |
6.69 (6.56) |
-- |
20 |
2.97 |
[Zn(C27H20N3O2)Cl] [Zn(L)Cl] |
518.40 |
>300 |
62.51 (62.49) |
3.75 (3.85) |
8.15 (8.10) |
12.71 (12.61) |
6.62 (6.75) |
22 |
Dia. |
IR spectral studies
The IR spectrum of L, displayed a broadband at 3431 cm-1, high-intensity strong bands at 1684 cm-1, 1633 cm-1 and 1215 cm-1 are due to phenolic OH, amide carbonyl function ν (C=O), azo methine function ν (C=N) and phenolic C-O respectively. The medium intensity weak bands observed at 3281 cm-1 and 3109 cm-1 are due to amide NH and indole NH respectively.
In comparison with the IR spectra of the L with that of metal complexes, it was observed that the absence of an absorption band due to phenolic OH at 3431 cm-1 of ligand in all the complexes indicates the formation of a coordination bond between the metal ion and phenolic oxygen atom via deprotonation. This is further confirmed by an increase in the absorption frequency about 23-75 cm-1 of phenolic ν (C-O) which appeared in the region 1238-1290 cm-1 in all the metal complexes indicating the participation of an oxygen atom of the phenolic OH in the coordination and formation of the metal-oxygen bond. The most notable change is the shift of amide carbonyl ν(C=O) to lower frequency side about 85-29 cm-1 which appeared in the region 1599-1655 cm-1 in all the complexes confirm coordination of an oxygen atom of the amide ν(C=O) with the metal ions as such without undergoing enolization [28] Also, the shift of azomethine ν(C=N) function to lower frequency side about 76-13 cm-1 and appeared in the region 1557-1620 cm-1 in all the metal complexes indicating the involvement of nitrogen atom of azomethine function in coordination [29].
The medium intensity weak bands observed at 3276-3291 cm-1 and 3100-3114 cm-1 were due to amide NH and indole NH respectively, which appeared almost at about the same region as in the case of L, confirms their non-involvement in coordination.
Appearance of new weak intensity, non-ligand bands in the region 519-545 cm-1, 471-493 cm-1 in all the complexes nd at 329 cm-1 (in case of [Zn(L)Cl]) in the IR spectra of metal complexes are assigned to frequencies of ν(M-O), ν(M-N) and ν(M-Cl) stretching vibration respectively. The prominent IR spectral data are listed in table 2.
Table 2: IR spectral data (cm-1) of Schiff base ligand (L) and its metal complexes
Ligand/ Complexes |
νOH (Phenolic) |
νNH (Indole) |
νNH (Amide) |
νC=O |
νC=N |
νC-O |
νM-O |
νM-N |
νM-Cl |
L |
3431 |
3281 |
3109 |
1684 |
1633 |
1215 |
-- |
-- |
-- |
[Cu(L)2] |
-- |
3288 |
3100 |
1614 |
1581 |
1249 |
522 |
492 |
-- |
[Co(L)2] |
-- |
3286 |
3100 |
1655 |
1620 |
1238 |
519 |
493 |
-- |
[Ni(L)2] |
-- |
3276 |
3114 |
1599 |
1557 |
1290 |
534 |
471 |
-- |
[Zn(L)Cl] |
-- |
3291 |
3112 |
1654 |
1582 |
1242 |
545 |
478 |
329 |
1H NMR spectral studies
The 1H NMR spectrum of L displayed three singlets each at 12.6, 11.8 and 11.7 ppm are ascribed to protons of phenolic OH, amide NH and indole NH respectively. A characteristic singlet appeared at 9.2 ppm is assigned to azo methine proton (HC=N). In addition to this, the fourteen aromatic protons have resonated as a multiplet in the region 7.1-8.2 ppm and signal at 2.4 ppm is due to three protons of the methyl group of the indole moiety. The 1H NMR spectrum of [Zn (L) Cl] displayed two singlets each at 12.2 and 11.6 ppm are ascribed to protons of amide NH and indole NH respectively. A characteristic singlet proton signal at 10.6 ppm is assigned to azo methine proton (HC=N). In addition to this, the fourteen aromatic protons have resonated as a multiplet in the region 7.2-8.3 ppm and signal at 2.6 ppm is due to three protons of the methyl group of the indole moiety.
In comparison, the most notable change is observed in the 1H NMR spectrum [Zn (L) Cl] complex is the disappearance of signal due to the proton of phenolic OH substantiates the involvement and bonding of a phenolic oxygen atom to metal ion via deproteination. Also, the signals due to all the protons have been shifted towards down field strength proves the coordination of Zn (II) ion with L.
ESI mass spectral studies
The ESI mass spectrum of the L showed M+1+1 peak at 420 (100%), which is also a base peak. Similarly, the ESI mass spectra of [Cu (L)2] and [Ni(L)2] complexes displayed a molecular ion peak recorded at M+ 899 (2%) and M+ 894 (2%) respectively, which are equivalent to their molecular weights.
Mass spectral fragmentation pattern study of Schiff base ligand (L)
The ESI mass spectrum of L displayed M+1+1 peak at 420 (100%), which is also a base peak. The M+1 molecular ion peak recorded at m/z 419 (1%) undergone a fragmentation by two routes, first on loss of C10H7O radical and the H2 molecule gave a fragment ion peak recorded at m/z 274 (3%). Further, this on the loss of CHN2 and CH3 radicals simultaneously gave a fragment ion peak recorded at m/z 218 (4%). Another route, the molecular ion underwent fragmentation and gave a peak recorded at m/z 338 (4%) which is due to the loss of the benzene molecule of the indole moiety, a hydrogen radical and two H atom. This schematic mass spectral fragmentation pattern of L is in consistency with its structure, Scheme 2.
Scheme2: Mass spectral fragmentation pattern of L
Electronic spectral studies
The information regarding the proposed geometry of the metal complexes was confirmed from their electronic absorption spectral study and magnetic susceptibility measurement data, table 3. The electronic spectra of green colored [Cu (L)2] complex displayed a low-intensity single broad asymmetric band in the region 15426-17867 cm-1. The broadness of the band designates the three transitions 2B1g → 2A1g (ν1), 2B1g → 2B2g (ν2) and 2B1g → 2Eg (ν3), which are similar in energy and give rise to only one broadband and the broadness of the band may be due to dynamic Jahn-Teller distortion. The obtained data suggest the distorted octahedral geometry around the Cu (II) ion [30].
The brown colored [Co (L)2] complex displayed two absorption bands at 16760 cm-1 and 19892 cm-1. These bands are assigned to be 4T1g (F) → 4A2g (F) (ν2) and 4T1g (F) →4T2g (P) (ν3) transitions, respectively, which are in good agreement with the literature values for octahedral geometry [31]. The lowest band, ν1 could not be observed due to the limited range of the instrument used, but it could be calculated using the band fitting procedure suggested by Underhill and Billing [32]. The transition values of ν1, ν2 andν3 suggest the octahedral geometry for [Co (L)2] complex.
The brown colored [Ni(L)2] complex exhibited two absorption bands in the region 15735 cm-1and 25563 cm-1, which are assigned to 3A2g→ 3T1g (F) (ν2) and 3A2g (F) → 3T1g (P) (ν3) transitions respectively in an octahedral environment [33]. The transition value of band ν1 was also calculated by using a band fitting procedure [32]. The orange-colored [Zn (L)(Cl)] complex is found to be accordingly diamagnetic in nature, it is proposed to have a tetrahedral geometry.
The proposed octahedral geometry of [Cu(L)2], [Co(L)2] and [Ni(L)2] complexes was further supported by the calculated values of ligand field parameters, such as Racah interelectronic repulsion parameter (B’), nephelauxetic parameter (β), ligand field splitting energy (10 Dq) and ligand field stabilization energy (LFSE) [34]. The calculated B’ values for the [Co (L)2] and [Ni(L)2] complexes are lower than the free ion values, which is due to the orbital overlap and delocalization of d-orbitals. The β values are important in determining the covalency for the metal-ligand bond, and they were found to be less than unity, suggesting a considerable amount of covalency for the metal-ligand bonds. The β value for the [Ni(L)2] complex was less than that of the [Co(L)2] complexes, indicating the greater covalency of the Metal-Ligand (M-L) bond.
Table 3: Electronic spectral data and ligand field parameters of the [Cu(L)2], [Co(L)2] and [Ni(L)2] complexes
Complexes |
Transitions in cm-1 |
Dq (cm-1) |
B′ (cm-1) |
β |
β% |
ν2/ν1 |
LFSE (k cal.) |
||
ν1* |
ν2 |
ν3 |
|||||||
[Cu(L)2] |
15426-17867 |
-- |
-- |
-- |
-- |
-- |
28.53 |
||
[Co(L)2] |
7820 |
16760 |
19892 |
894 |
879 |
0.905 |
9.47 |
2.14 |
15.32 |
[Ni(L)2] |
9830 |
15735 |
25563 |
983 |
785 |
0.754 |
24.51 |
1.60 |
33.70 |
*Calculated values
Magnetic susceptibility studies
For the complexes [Cu (L)2], [Co(L)2] and [Ni(L)2], the magnetic susceptibility measurements were carried out, and obtained data are presented in table 1 and they were found to be paramagnetic in nature. The obtained magnetic moment value for [Cu (L)2] complex is 1.83 BM. This value is slightly higher than the spin-only value 1.73 BM due to one unpaired electron, suggesting the octahedral geometry for [Cu (L)2] complex [35]. Thus, the present [Cu (L)2] complex is devoid of any spin interaction with distorted octahedral geometry. In octahedral [Co (L) 2] complex the ground state is 4T1g. A large orbital contribution to the singlet state lowers the magnetic moment values for the various [Co (L)2] complexes, which are in the range 4.12-4.70 for tetrahedral and 4.70-5.20 BM for the octahedral geometry of the complexes respectively [36]. In the present study, the observed magnetic moment value is 4.83 BM suggests the octahedral geometry. Further, the observed magnetic moment value for [Ni (L)2] complex is 2.97 BM, which is also well within the expected range of 2.83-3.50 BM, suggesting the consistency with its octahedral environment [37].
ESR spectral study of [Cu (L)2] complex
The ESR spectrum provides the evidence about the environment of the metal ion within the complex, i.e., the geometry and nature of the ligating sites of the ligand and metal ion. In octahedral geometry with the g-tensor parameter g⊥>g||>2.0023, the unpaired electron lies in the dz2 orbital and g||>g⊥>2.0023, the unpaired electron lies in the dx2–y2orbital in the ground-state [38]. The observed measurements of [Cu(L)2] complex are g|| (2.1394)>g⊥(2.0316)>2.0023 indicate that the complex is an axially symmetric and the copper site has a dx2–y2 ground state characteristic of octahedral geometry [39]. The g|| value is an important function for indicating the metal-ligand (M-L) bond character, for covalent and ionic character g|| value <2.3 and g|| value>2.3 respectively [40]. In the present case, g|| value of [Cu (L)2] complex is <2.3, indicating an appreciable covalent character for the M-L bond.
The geometric parameter (G) is the measure of the extent of exchange interactions and is calculated by using the g-tensor values by using the expression G = g||-2.0023/g⊥-2.0023. According to Hathaway and Billing [41], if the G value is greater than 4, the exchange interaction between the copper centers is negligible, whereas if its value is less than 4 and the exchange interaction is noticed. In present investigations, it was found that G value is 4.68, indicate the exchange coupling effects are not operative. The ESR spectra of [Co(L)2], [Ni(L)2] and [Zn(L)(Cl)] complexes at room temperature, do not show ESR signals because the rapid spin-lattice relaxation of the [Co(L)2] and [Ni(L)2] complexes, which broadens the lines at a higher temperature [42] and the diamagnetic nature of the [Zn(L)(Cl)] complex. Generally, the ESR spectra show signals that may be accounted for the presence of free radicals that can result from the cleavage of any double bond and distribution of the charge on the two neighbor atoms. The presence of unpaired electrons from any source inside the molecule can be responsible for the appearance of this signal [43].
Fig. 1: TGA-DTA curve of [Cu (L)2] complex
Thermal studies
The thermogram of [Cu(L)2] complex (fig. 1), specifies that the complex is steady up to 274 °C, no weight loss occurred before this temperature. The complex underwent degradation in three succeeding stages. The first stage of degradation occurred at 275 °C, due to the loss of two phenyl groups of indole moieties (Obs. 15.00%, Calc. 17.11%). The resultant complex on further degradation furnished a break at 325 °C by the loss of two C10H6species (Obs. 33.45%, Calc. 33.80%). Further, the resulting complex underwent the third stage of decomposition at 386 °C due to loss of C10H7NO molecule of indole moiety (Obs. 30.72%, Calc. 31.81%). Further, complex showed steady decomposition up to 715 °C and onwards due to the loss of remaining organic moiety. The final weight of the residue corresponds to cupric oxide. Similarly, [Co(L)2], [Ni(L)2] and [Zn(L)Cl] complexes underwent a decomposition in various stages due to the loss of different organic moieties with respect to temperature, table 4. The results are in good agreement with the formulae suggested from the physical and analytical data.
Table 4: Thermal degradation pattern of metal (II) complexes
Metal Complexes |
Temp. ( °C) |
Weight loss (%) |
Metal oxide (%) |
Inference |
||
Obs. |
Calc. |
Obs. |
Calc. |
|||
[Cu(L)2] |
275 |
15.00 |
17.11 |
-- |
-- |
Loss due to two phenyl groups of indole moieties. |
325 |
33.45 |
33.80 |
-- |
-- |
Loss due to two C10H6 species. |
|
386 |
30.72 |
31.81 |
-- |
-- |
Loss due to C10H7NO molecule of indole moiety. |
|
Up to 715 |
-- |
-- |
11.95 |
12.45 |
Loss due to remaining organic moiety |
|
[Co(L)2] |
304 |
8.62 |
8.60 |
-- |
-- |
Loss due to a phenyl group. |
406 |
13.02 |
13.08 |
-- |
-- |
Loss due to a phenyl group and two CH3 species of indole moieties. |
|
427 |
39.13 |
39.10 |
-- |
-- |
Loss due to two C11H7 species. |
|
477 |
26.78 |
26.56 |
-- |
-- |
Loss due to C8H5N species. |
|
Up to 715 |
-- |
-- |
12.34 |
13.97 |
Loss due to remaining organic moieties. |
|
[Ni(L)2] |
311 |
4.43 |
3.35 |
-- |
-- |
Loss due to two CH3 groups of indole carboxamide moieties. |
343 |
52.92 |
54.35 |
-- |
-- |
Loss due to two moles of C15H11N2O molecule of indole moieties. |
|
411 |
31.55 |
31.92 |
-- |
-- |
Loss due to C10H6 species. |
|
Up to 716 |
-- |
-- |
10.67 |
12.23 |
Loss due to remaining organic moiety. |
|
[Zn(L)Cl] |
257 |
5.50 |
6.75 |
-- |
-- |
Loss due to a coordinated chlorine atom. |
339 |
51.05 |
51.71 |
-- |
-- |
Loss due to C16H14N2O molecule of indole carboxamide moiety. |
|
432 |
58.68 |
59.12 |
-- |
-- |
Loss due to C11H6 species. |
|
Up to 715 |
-- |
-- |
13.47 |
14.29 |
Loss due to remaining organic moiety. |
|
Powder X-ray diffraction studies (Powder-XRD)
Though our newly synthesized metal complexes were soluble only in some polar organic solvents like DMSO and DMF, crystals that are appropriate for single crystal studies are not achieved. In order to test the degree of crystallinity of metal complexes, we obtained the powder X-ray diffraction pattern. In powder X-ray diffraction pattern, it was observed that the trend of curves decreases from maximum to minimum intensity indicating the amorphous nature of the complexes. Powder X-ray diffraction pattern of [Cu(L)2], [Co(L)2] and [Zn(L)Cl] complexes displayed an eleven, nine and five reflections respectively, with maxima at 2θ = 36.674, 41.006 and 26.496 corresponding to observed values 2.450 Å, 2.201 Å and 3.364 Å respectively.
The Bragg’s equation (nl=2d sinq) were used for calculating the interplanar spacing (d). The calculated inter-planar d-spacing together with relative intensities with respect to the most intense peak have been recorded.
From all the high intense peaks, unit cell calculations have been calculated, and h2+k2+l2 values were determined. The observed inter-planar d-spacing values have been compared with the calculated one, and it was found to be in good agreement with experimental values. The h2+k2+l2 values of [Cu(L)2] complex are 1, 1, 4, 5, 6, 11, 15, 19, 20, 24 and 36 (fig. 2) and calculated lattice parameter for [Cu (L) 2] complex is a=b=c=14. 818 Å (table 5). The presence of forbidden number15 indicates that the complex may belong to hexagonal or tetragonal systems.
Fig. 2: Powder XRD spectrum of [Cu (L)2] complex
Similar calculations were done for [Co(L)2] and [Zn(L)Cl] complexes and all the important peaks have been indexed, and observed values of interplanar distances (d) have been compared with the calculated once, and it was found to be in good agreement. The presence of forbidden number 27 in the case of [Co(L)2] complex indicated that this complex may belong to hexagonal or tetragonal systems. The absence of forbidden numbers (7, 15, 23, etc.) in [Zn(L)Cl] complex indicates that complex belongs to cubic symmetry. The calculated lattice parameter for [Co (L)2] and [Zn(L)Cl] complexes are a=b=c=11. 478 Å and a=b=c=14. 058 Å respectively.
Table 5: Powder X-ray data of [Cu (L)2] complex
Peak |
2q |
q |
Sinq |
Sin2q |
1000 Sin2q |
1000 Sin2q/CF (h2+k2+l2) |
h k l |
d |
a in Å |
|
Obs. |
Calc. |
|||||||||
1 |
6.048 |
3.024 |
0.052 |
0.002 |
2.783 |
1.00 (1) |
1 0 0 |
14.611 |
14.807 |
14.818 |
2 |
7.355 |
3.677 |
0.064 |
0.004 |
4.113 |
1.47 (1) |
1 0 0 |
12.018 |
12.031 |
14.579 |
3 |
12.717 |
6.358 |
0.110 |
0.012 |
12.265 |
4.40 (4) |
2 0 0 |
6.961 |
7.000 |
14.623 |
4 |
13.825 |
6.912 |
0.120 |
0.014 |
14.484 |
5.20 (5) |
2 1 0 |
6.405 |
6.416 |
14.637 |
5 |
14.805 |
7.402 |
0.128 |
0.016 |
16.599 |
5.96 (6) |
2 1 1 |
5.983 |
6.015 |
14.634 |
6 |
19.951 |
9.975 |
0.173 |
0.030 |
30.007 |
10.78 (11) |
3 1 1 |
4.450 |
4.450 |
14.596 |
7 |
23.582 |
11.791 |
0.204 |
0.041 |
41.755 |
15.00 (15) |
--- |
3.772 |
3.774 |
14.603 |
8 |
26.526 |
13.263 |
0.229 |
0.052 |
52.634 |
18.91 (19) |
3 3 1 |
3.360 |
3.362 |
14.683 |
9 |
27.477 |
13.738 |
0.237 |
0.056 |
56.401 |
20.26 (20) |
4 2 0 |
3.246 |
3.248 |
14.648 |
10 |
29.873 |
14.936 |
0.257 |
0.066 |
66.434 |
23.87 (24) |
4 2 2 |
2.990 |
2.996 |
14.643 |
11 |
36.674 |
18.337 |
0.314 |
0.098 |
98.976 |
35.56 (36) |
4 4 2 |
2.450 |
2.452 |
14.667 |
Biological activity results
Antibacterial and antifungal assay results
The newly synthesized compounds have been evaluated for their antibacterial and antifungal activity. The size of inhibition zone (mm) formed at different concentrations of the tested compounds against the respective bacterial and fungal strains along with the standards are summarized in table 6. In most of the cases, it was observed that the metal complexes revealed moderate antimicrobial activity than the free ligand, the activity was found to be improved on the coordination of the hetero atoms (ONO) of the L with different metal ions. This enhancement in the antimicrobial activity of the complexes over the free ligand can be explained based on chelation theory [44, 45]. It is known that chelation enhances the ligand to act as more powerful and potent bactericidal/fungicidal agents by inhibiting the growth of bacteria/fungi, a thus zone of inhibition of metal complexes was found to be higher compared to the ligand. The enhancement in the antimicrobial activity may be rationalized on the basis that ligands mainly possess azomethine group (C=N).
Moreover, in metal complexes, the positive charge of the metal ion is partially shared by the hetero donor atoms (N and O) present in the ligand and there may be π-electron delocalization over the whole chelating system [46, 47].
Hence, the increase in the lipophilic character of the metal chelates favour their permeation through the lipid layer of the bacterial cell membranes and blocking of the metal binding sites for the enzymes of microorganisms. In general, metal complexes are more active than the ligands because metal complexes may serve as a vehicle for activation of ligands as the principal cytotoxic species [48].
Table 6: Size of inhibition zone (mm) formed at different concentrations (12.5, 25, 50 and 100 μg/ml in DMSO solvent) against various Bacteria and fungi
Compounds |
Bacteria |
Fungi |
||||||
B. Subtilis |
S. aureus |
E. coli |
S. typhi |
C. albicans |
C. oxysporum |
A. Flavus |
A. niger |
|
L |
10.09±0.12 |
11.10±0.11 |
10.34±0.52 |
9.59±0.32 |
9.19±0.34 |
10.10±0.21 |
12.21±0.09 |
10.09±0.22 |
[Cu(L)2] |
13.12±0.53 |
13.49±0.23 |
12.20±0.10 |
10.41±0.12 |
10.10±0.32 |
12.12±0.32 |
14.34±0.13 |
13.11±0.31 |
[Co(L)2] |
12.26±0.24 |
12.36±0.24 |
13.21±0.24 |
12.26±0.23 |
12.31±0.31 |
11.16±0.40 |
14.12±0.18 |
13.12±0.12 |
[Ni(L)2] |
13.34±0.58 |
12.34±0.58 |
12.34±0.28 |
11.24±0.36 |
11.23±0.10 |
12.14±0.15 |
13.21±0.24 |
14.23±0.16 |
[Zn(L)Cl] |
12.69±0.43 |
11.69±0.03 |
12.19±0.51 |
12.19±0.33 |
12.13±0.32 |
11.09±0.22 |
14.09±0.11 |
14.19±0.19 |
Gentamicin |
18.40±0.52 |
19.53±0.12 |
18.30±0.52 |
19.30±0.27 |
-- |
-- |
-- |
-- |
Fluconazole |
-- |
-- |
-- |
-- |
19.10±0.12 |
20.15±0.11 |
18.34±0.11 |
19.34±0.31 |
Note: The stock solutions of the test compounds were prepared by dissolving 10 mg of the test compound in 10 ml of freshly distilled DMSO (1 mg/ml).
DNA cleavage activity
The gel picture (fig. 3) showing the cleavage of plasmid pBR322 DNA molecule. From the figure, it is evident that the L and its newly synthesized metal complexes have acted on DNA because of a difference in their molecular weights between the control and the treated DNA sample. The gel electrophoresis clearly revealed that there was a difference in the migration of the lanes of L, [Cu(L) 2], [Co(L)2], [Ni(L)2] and [Zn(L)Cl] complexes respectively as compared to the control plasmid DNA pBR322 (C) at 100 μg/l concentration. It is clearly observed that the lanes of [Cu (L)2] and [Co(L)2] complexes showed complete cleavage of supercoiled DNA, whereas L, [Ni(L)2] and [Zn(L)2] complexes showed partial cleavage of supercoiled DNA. This shows that the control DNA alone does not show any apparent cleavage, whereas the L and its metal complexes do show. Based on these outcomes, it can be concluded that all the newly synthesized compounds under present study are good pathogenic microorganism inhibitors.
CONCLUSION
New Cu (II), Co (II), Ni (II) and Zn (II) complexes were prepared with tridentate ONO donor Schiff base ligand (L) derived from the condensation of 5-methyl-3-phenyl-1H-indole-2-carbohydrazide and 2-hydroxy-1-napthaldehyde and characterized them by various spectral techniques. Spectral study and elemental analysis data indicate octahedral geometry for Cu (II), Co (II) and Ni (II) complexes having 1:2 stoichiometric ratio of the type [M(L)2] and tetrahedral geometry for Zn (II) complex having 1:1 stoichiometry ratio of the type [M(L)Cl].
Fig. 3: DNA cleavage on plasmid pBR 322
M: Standard DNA, C: Control DNA (untreated pBR 322), L: Schiff base ligand (L), Cu5: [Cu (L)2] complex, Co5: [Co(L)2] complex, Ni5: [Ni(L)2] complex and Zn5: [Zn(L)Cl] complex
From the biological activity study, it was observed that the antimicrobial activity of all the complexes was found to be enhanced on complexation. Also, DNA cleavage studies revealed that all the compounds showed good efficiency towards DNA cleavage. Hence, from all these extensive observations, it is concluded that the newly prepared L and its metal complexes gave remarkable, versatile and valuable information of new coordination compounds and also they may be used as powerful biologically active agents with reduced toxicity and higher efficiency. Based on the physicochemical evidence, we proposed the following structures for the metal complexes.
Proposed structures of the metal complexes
ACKNOWLEDGEMENT
Authors are thankful to the Professor and Chairman, Department of Chemistry, Gulbarga University, Kalaburagi for providing the necessary facilities. One of the authors (Nagesh GY) is grateful to DST New Delhi for the award of DST-INSPIRE SRF [DST/AORC-IF/UPGRD/2014-15/IF 120091]. The authors extend their thanks to SAIF Punjab University, IIT Bombay, STIC Cochin University, for providing spectral data. Authors are also thankful for Bio Genics Research and Training Centre in Biotechnology, Hubli for biological studies.
CONFLICT OF INTERESTS
Declared none
REFERENCES