
1Department of Microbiology,Vivekanandha College of Arts and Science for Women Tiruchengode 637205 Tamil Nadu, India,2Department of Biotechnology, Muthayammal College of Arts and Science, Rasipuram 637408,Tamil Nadu,India, 3Department of Medical Microbiology, School of Medicine, College of Health and Medical Sciences, Haramaya University, P. O. Box 235, Harar, Ethiopia, 4School of Chemical and Food Engineering, Bahir Dar Institute of Technology, Bahir Dar University,P.O.Box 26, Bahir Dar,Ethiopia, 5Department of Medical Biochemistry, School of Medicine, College of Health and Medical Sciences, Haramaya University, P. O. Box 235, Harar, Ethiopia
Email: nbenthilkumar@gmail.com
Received: 30 Oct 2015 Revised and Accepted: 25 Jan 2016
ABSTRACT
Objective: This study is aimed to determine the antibacterial effect of Jasminum sambac against foodborne pathogens.
Methods: Antibacterial activity of methanol and chloroform extract of J. sambac flowers against foodborne pathogens (Bacillus cereus, Listeria monocytogenes, Shigella flexeneri, Salmonella serovar enterica Typhi, Staphylococcus aureus and Escherichia coli) were performed using disc diffusion method and their minimal inhibitory concentration (MIC) was also determined. The preliminary phytochemical screening and gas chromatography-mass spectroscopic (GC-MS) analysis of methanol and chloroform extract of J. sambac was analyzed using GC Clarus 500 Perkin Elmer System and gas chromatograph interfaced with a mass spectrometer.
Results: Phytochemical and GC-MS studies revealed the presence of bioactive compounds and found to possess antibacterial activity against foodborne pathogens.
Conclusion: The present study supports the possible use of these phytotherapeutic agents in the clinical management of foodborne diseases.
Keywords: GC-MS analysis, Foodborne pathogens, Jasminum sambac L., Antibacterial activity
© 2016 The Authors. Published by Innovare Academic Sciences Pvt Ltd. This is an open access article under the CC BY license (http://creativecommons.org/licenses/by/4.0/)
INTRODUCTION
Foodborne illness is caused by food or drinking beverages contaminated with pathogenic microorganisms. Foodborne illness can cause symptoms that range from a stomach upset to more serious symptoms, including diarrhea, fever, vomiting, abdominal cramps, and dehydration. The most common foodborne illness causing bacteria are Escherichia coli and Salmonella serovar enterica Typhi, and other species of Salmonella also have been implicated in a significant number of cases. The continuing research has been focused on new and novel antimicrobials and anti-pathogenic agents. The plants surviving in an environment with high bacterial density have been identified to possess protective means against infections [1]. The rapid spread of multi-drug resistance and the development of new antimicrobial or anti pathogenic agents that act upon new microbial targets has become a very pressing priority [2].
Jasminum sambac belonging to the family Oleac are an important group of flowers, and they are widely cultivated for their attractive, fragrant flowers. Traditionally, different parts of the plant such as the leaf, stem, bark, and roots are very useful medicine in India for a number of skin diseases [3]. The extracts of their flowers also contain Seco iridoids, [4-6] triterpenoid saponins and some other glycosides [7]. They have antiulcer and antioxidant properties [8] and contain enzyme inhibitors to convert angiotensin [9]. Their antimicrobial assay revealed that the extracts showed comparatively better activity and can be used as antibiotics [10]. Plants provide abundant resources of antimicrobial compounds and have been used for centuries to inhibit microbial growth. The present study focuses on antimicrobial compounds from J. sambac and its antibacterial efficacy on foodborne illness causing bacterial strains.
MATERIALS AND METHODS
Collection of plant materials
The fresh flowers of J. sambac were collected from Hosur, Krishnagiri District, Tamil Nadu, India. The collected plant was identified and authenticated by Dr. G. Prabakaran, Assistant Professor, Research Department of Botany, Government Arts College, Dharmapuri, Tamil Nadu, India. Fresh flowers were washed, shade-dried and then powdered using the blender and stored in airtight bottles.
Preparation of flower extracts
The flowers powder was loaded into the clean, dry Soxlet apparatus tightly using the soft metal rod. Then the apparatus was run to get flower extract with methanol and chloroform. The time was noted to get clear solvent in the side tube. Then, the methanol and chloroform extracts of this plant were evaporated using a rotary vacuum evaporator to remove the solvents. The appearance and amount of the extract of this plant were observed and measured using electronic balance. A loop full of this plant extract was streaked on sterile nutrient agar plates to check the sterility of the extract.
Preliminary phytochemical screening
The extracts were tested for the presence of active phytochemicals constituent viz. alkaloids, proteins, amino acids, anthraquinone, glycosides, flavonoids, tannin and phenolic compounds, carbohydrates, saponins and steroids [11].
Phytochemicals analysis by gas chromatography–mass spectrometry (GC-MS)
GC-MS analysis of methanol and chloroform extracts of J. sambac was performed using GC Clarus 500 Perkin Elmer system and gas chromatograph interfaced with a mass spectrometer equipped with Elite–5 MS (5% diphenyl/95% Dimethylpolysiloxane), 30 x 0.25 mm x 0.25 µm df. For GC/MS detection, an electron ionization system with ionization energy of 70 eV was used. Helium gas (99.99%) was used as the carrier gas at a constant flow rate of 1 ml/min and an injection volume of 2 µl was employed (Spilt ratio 10:1). The injector temperature was programmed at 250 °C; the ion source temperature was maintained at 200 °C. The oven temperature was programmed from 110 °C (isothermal for 2 min), with an increase of 10 °C/min, to 200 °C, then 5 °C/min to 280 °C, ending with a 9 min isothermal at 280 °C, Mass spectra were taken at eV; a scan interval of 0.5 sec and fragment from 45-450 Da. Total GC running time was 36 min. The relative percentage amount of each component was calculated by comparing its average peak area to total areas. Software adapted to handle mass spectra and chromatograms were Turbo Mass Ver 5.2.
Bacterial strains
Bacterial strains (Listeria monocytogenes MTCC-1143, Shigella flexeneri MTCC-1457, Staphylococcus aureus MTCC-3381, Escherichia coli MTCC-443, Salmonella serovar enterica Typhi MTCC-1251, Bacillus cereus MTCC-1305) were obtained from the Microbial Type Culture Collection (MTCC), Chandigargh, India.
Preparation of discs using flower extracts
The observing capacity of 5 mm, sterile discs (Hi-media, India) ranges from 10 µl to 40 µl was selected. For the preparation of the stock solution, 10 mg of each different crude extract was dissolved in 1 ml of DMSO (Dimethyl sulfoxide). From these stocks, 10 µl, 20 µl, 30 µl and 40 µl was added on the sterile discs to get 100 µg, 200 µg, 300 µg and 400 µg respectively of plant extracts. Then, these prepared discs were used for testing antibacterial activity against the bacterial strains.
Antibacterial activity of plant extracts
Antibacterial activity of plant extracts was determined by the agar disc diffusion method using Muller-Hinton agar (Hi-media, India) medium. The bacterial strains were inoculated separately into the culture plates and allowed to dry for 5 min. Then, the prepared discs with compounds were placed on the upper layer of the inoculated plates using sterile forceps. All the plates were incubated at 37 °C for 24 h. Then, the presence of a zone of inhibition was observed and measured on the plates [12]. All the experiments were done in triplicate.
Minimal inhibitory concentration (MIC)
The MIC of the methanol and chloroform extracts was determined using serial dilution technique according to the method of John et al. [13]. All the experiments were done in triplicate.
Statistical analysis
The significance of the antimicrobial activity was determined statistically using one-way analysis of the variance (Minitab version 15) via T-test. Significant differences were determined using the Duncan multiple range test at P= 0.05. The graphs were analyzed using Microcal Origin 6.0 (Microcal software, Inc.).
RESULTS AND DISCUSSION
Preliminary phytochemicals analysis
Preliminary phytochemical analysis of J. sambac methanol and chloroform extracts revealed the presence of alkaloids, flavonoids, saponins, tannins, proteins and amino acids, phytosterols, anthraquinone glycosides, phenolic compounds and absence of carbohydrates (table 1). Interpretation and correlation of spectral data of this plant J. sambac showed the presence of more compounds in methanol and chloroform extracts of the plant. Saponins have been reported to possess a wide range of activities. The toxicity of saponinsto insects, parasite worms, mollusks and fish, and their antifungal, antiviral, antibacterial activities have been well documented by Lacaille-Duois and Wagnor [14]. Flavonoids are known to synthesize by plants in response to microbial infection, and they have been found to be containing effective antimicrobial substances against a wide array of microorganisms [15].
Table 1: Preliminary phytochemical screening of methanol and chloroform extracts of J.sambac
Constituents/tests |
J. sambac (Methanol) |
J. sambac (Chloroform) |
Alkaloids |
||
Mayer’s test |
++ |
++ |
Dragendorff’s test |
++ |
++ |
Hangers test |
++ |
++ |
Wagers test |
++ |
++ |
Proteins and amino acids |
||
Millon’s test |
+ |
+ |
Ninhydrin test |
+ |
+ |
Biuret test |
+ |
+ |
Anthraquinone glycosides |
||
Borntragerstest |
+ |
+ |
Flavonoids |
||
Shinoda’s test |
++ |
++ |
Ferric chloride test |
++ |
++ |
Tannins and Phenols |
||
Ferric chloride test |
++ |
++ |
Lead acetate test |
++ |
++ |
Gelatin contains NaCl test |
++ |
++ |
Carbohydrates |
||
Molisch’s test |
- |
- |
Barfoed’s test |
- |
- |
Fehling test |
- |
- |
Saponins |
||
Frothing test |
++ |
++ |
Steroids |
||
Liebermann-Burchard test |
++ |
++ |
(++) = moderately present; (+) = slightly present; (-) = absent
Determination of bioactive phytochemicals compounds by GC-MS
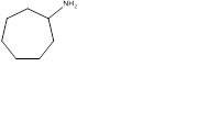
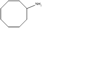
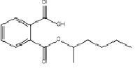
The GC-MS study of methanol and chloroform extracts of J. sambac was performed and their active compounds were identified with their retention time, molecular formula, molecular structure, molecular weight and concentration (%). The prevalent compounds in chloroform extract of J. sambac are 2-methyl-3-oxobutyro nitrile, propanimidamide, 2-chloro-N-(1,2-dichloro-1-propenyl), propanal, 2-methyl-, oxime N-chloro-2-methyl aziridine, 1,2-trans, 1,2, 4, 5-tetrazine, 3,6-diethyl, 2-propen-1-amine, 2-methyl-N-(2-propynyl)-N-ethylamine, cycloheptylamine, cyclo-octanamine, 2–propen–1-amine, N–2-propenyl-[diallyl-amine], E-2-octadecadecen-1-ol and 3-[3-[1-aziridinyl] propoxy]-2, 5-dimethylpyrazine. The major compounds in methanol extract of J. sambac are methoxy carbonyl isothiocyanate [carbon isothiocyanic acid, methyl ester], dibutyl phthalate [phthalic acid, dibutyl ester], 1,2-benzene dicarboxylic acid, diisooctyl ester [di isooctyl phthalate], cyclo butane carbonitrile, 3,3-dimethyl-[3,3-dimethylcyclobutanecarbonitrile], acetonitrile, hydroxy-[glycolo-nitrile], 1, 2–benzene dicarboxylic acid, butyl octyl ester [phthalic acid, butyl octyl ester], didodecyl phthalate, phthalic acid, 2-hexyl ester, 2-benzene dicarboxylic acid, monobutyl ester [phthalic acid, monobutyl ester], ethane peroxoic acid, 1–cyano–1-[2-(2-phenyl-1, 3–dioxolan–2-yl) ethyl] pentyl ester, 1, 2-benzene dicarboxylic acid and butyl 2-ethylhexyl ester [phthalic acid, butyl 2-ethylhexyl ester] (table 2 and 3).
Table2: Bioactive components identified in the J. sambac methanol extract by GC-MS analysis
RT |
Compounds |
Molecular formula |
MW |
Peak Area % |
Molecular structure |
10.82 |
Methoxycarbonyl isothiocyanate [Carbonisothiocyanic acid, methyl ester] |
C3H3NO2S |
117 |
11.92 |
![]() |
13.06 |
Dibutyl phthalate [Phthalicacid, dibutyl ester] |
C16H22O4 |
278 |
0.33 |
![]() |
20.94 |
1,2-Benzene dicarboxylicacid, di isooctyl ester [Di isooctyl phthalate] |
C24H38O4 |
390 |
74.83 |
![]() |
23.70 |
Cyclobutane carbonitrile, 3,3-dimethyl-[3,3-dimethyl cyclo butane carbonitrile] |
C7H11N |
109 |
0.99 |
![]() |
24.17 |
Acetonitrile hydroxy-[Glycolonitrile] |
C2H3NO |
57 |
2.65 |
![]() |
24.51 |
1,2-Benzenedicarboxylicacid,butyloctyl ester [Phthalicacid, butyloctylester] |
C20H30O4 |
334 |
1.99 |
![]() |
24.89 |
Di-dodecyl phthalate |
C32H54O4 |
502 |
0.33 |
![]() |
25.26 |
Phthalic acid, 2-hexyl ester |
C14H18O4 |
250 |
2.65 |
![]() |
25.37 |
1,2-Benzene dicarboxylic acid, mono butyl ester [Phthalicacid, monobutyl ester] |
C12H14O4 |
222 |
2.32 |
![]() |
25.65 |
Ethane peroxoic acid, 1-cyano-1-[2-(2-phenyl-1, 3-dioxolan-2-l)ethyl] pentyl ester |
C19H25NO5 |
347 |
1.66 |
![]() |
26.04 |
1,2-Benzene dicarboxylic acid, butyl 2-ethyl hexylester [Phthalic acid, butyl 2-ethyl hexyl ester] |
C20H30O4 |
334 |
0.33 |
![]() |
Table 3: Bioactive components identified in the J. sambac chloroform extract by GC-MS analysis
RT |
Name of the compound |
Molecular formula |
MW |
Peak area % |
Molecular structure |
11.62 |
2-Methyl-3-oxo butyronitrile |
C5H7NO |
97 |
0.09 |
![]() |
14.95 |
Propanimidamide, 2-chloro-N-(1,2-dichloro-1-propenyl) |
C6H9Cl3N2 |
214 |
0.09 |
![]() |
21.73 |
Propanal, 2-methyl-, oxime |
C4H9NO |
87 |
0.23 |
![]() |
23.11 |
1-Chloro-2-methyl aziridine |
C3H6ClN |
91 |
0.32 |
![]() |
23.13 |
1,2,4,5-Tetrazine, 3,6-diethyl |
C6H10N4 |
138 |
0.05 |
![]() |
24.47 |
2-Propen-1-amine, 2-methyl |
C4H9N |
71 |
0.37 |
![]() |
24.64 |
N-(2-Propynyl)-N-ethyl amine |
C5H9N |
83 |
0.78 |
![]() |
25.80 |
Cyclo heptyl amine |
C7H15N |
113 |
0.69 |
![]() |
27.12 |
Cyclo octanamine |
C8H17N |
127 |
0.73 |
![]() |
28.52 |
2-Propen-1-amine, N-2-propenyl [Diallyl amine] |
C6H11N |
97 |
3.62 |
![]() |
28.93 |
E-2-Octa decadecen-1-ol |
C18H36O |
268 |
81.08 |
![]() |
30.44 |
3-[3-[1-Aziridinyl] propoxy]-2,5- dimethyl pyrazine |
C11H17N3O |
207 |
11.91 |
![]() |
Antibacterial activity of flower extracts
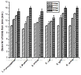
The methanol and chloroform extracts of J. sambac showed maximum antibacterial activity against L. monocytogenes, S. flexeneri, S. aureus, E. coli, S. typhi and B. cereus. Both the extracts were able to inhibit the growth of all tested organisms (Fig.1 and 2). The significant number of studies has been used to obtain purified plant chemicals, and very few screening programs have been initiated on crude plant materials [16]. Heinrich and Simon [17] suggested that the extract of J. sambac was effective against the tested pathogens. The ethanol extracts of J. sambac was tested and proved their activity against an array of Gram-positive (S. aureus, B. subtilis and B. cereus) and Gram-negative bacteria (E. coli, K. pneumoniae, P. aeruginosa and S. typhimurium) [10, 18].
Fig.1: Antibacterial activity of methanol extract of J. sambac against foodborne pathogens
Minimal Inhibitory concentration (MIC) of flower extracts
The MIC values of J. sambac flower extracts were determined by the microdilution method and spread plate method. The dilution range was 1000 µg/ml to 7.25 µg/ml. The MIC value of methanol and chloroform extracts of J. sambac against L. monocytogenes, S. typhi and B. cereus were found to be 62.5µg/ml. The MIC values of both extracts against S. aureus and E. coli were 125µg/ml and for S. flexeneri was 250 µg/ml, respectively (table 4). This study is also consistent with the earlier reports on the minimal inhibitory concentration of Phyllanthusamarus [19] and Aervalanata [20] against all the tested bacterial strains.
Fig.2: Antibacterial activity of chloroform extract of J. sambac against foodborne pathogens
Table 4: Minimal inhibitory concentration (MIC) of J. sambac against foodborne pathogens
Flower extracts |
Concentration (µg/ml) |
|||||||
7.25 |
13.65 |
31.25 |
62.5 |
125 |
250 |
500 |
1000 |
|
L. monocytogenes |
||||||||
Methanol extract |
+ |
+ |
+ |
ß |
- |
- |
- |
- |
Chloroform extract |
+ |
+ |
+ |
ß |
- |
- |
- |
- |
S. flexeneri |
||||||||
Methanol extract |
+ |
+ |
+ |
+ |
+ |
? |
- |
- |
Chloroform extract |
+ |
+ |
+ |
+ |
+ |
? |
- |
- |
S. aureus |
||||||||
Methanol extract |
+ |
+ |
+ |
+ |
ß |
- |
- |
- |
Chloroform extract |
+ |
+ |
+ |
+ |
ß |
- |
- |
- |
E. coli |
||||||||
Methanol extract |
+ |
+ |
+ |
+ |
ß |
- |
- |
- |
Chloroform extract |
+ |
+ |
+ |
+ |
ß |
- |
- |
- |
S. typhi |
||||||||
Methanol extract |
+ |
+ |
+ |
ß |
- |
- |
- |
- |
Chloroform extract |
+ |
+ |
+ |
ß |
- |
- |
- |
- |
B. cereus |
||||||||
Methanol extract |
+ |
+ |
+ |
ß |
- |
- |
- |
- |
Chloroform extract |
+ |
+ |
+ |
ß |
- |
- |
- |
- |
Note: (-)–No growth; (+)–Growth; ß–MIC value
CONCLUSION
The present study concludes that J. sambac extracts were found to have potential antibacterial activity against both Gram positive and Gram negative bacterial pathogens. These antibacterial principles can be used to overcome the antibiotic resistance, which poses a great problem with treating bacterial diseases.
ACKNOWLEDGEMENT
Authors wish to thank the Muthayammal College of Arts & Science, Rasipuram, Tamil Nadu, India, for providing the laboratory facilities and Department of Food Quality and Testing, Indian Institute of Crop Processing Technology (IICPT), Tanjore, Tamil Nadu, India for permitting to perform GC-MS studies. We also deeply acknowledge the guidance and cooperation rendered by Haramaya University, Ethiopia.
CONFLICT OF INTERESTS
We declare that we have no conflict of interest
REFERENCES