
1JNT University Anantapur, Ananthapuramu 515002, Andhra Pradesh, India, 2R and D Center, MSN Laboratories Pvt. Ltd, Medak 502307, Telangana, India, 3Government Polytechnic for Women, Kadapa 516002, Andhra Pradesh, India
Email: potturipavankumar@gmail.com
Received: 01 Nov 2015 Revised and Accepted: 03 Feb 2016
ABSTRACT
Objective:The present study was aimed to develop once-daily controlled release tri-layer matrix tablets of tolcapone, to achieve zero-order drug release for sustained plasma concentration by Geomatrix.
Methods:Tolcapone trilayer matrix tablets were prepared by direct compression method and consisted of active middle layer with different grades of hydroxypropyl methylcellulose (HPMC), ethyl cellulose and sodium CMC. Barrier layers were prepared with Eudragit L100-55, guar gum, sodium CMC and DCP.
Results: Based on the evaluation parameters, drug dissolution profile and release order kinetics, formulation HF16 was found to be optimized formulation. The developed drug delivery system provided prolonged drug release rates over a period of 24 h. The release profile of the optimized formulation (HF16) was described by the zero-order and best fitted to Higuchi model. FT-IR and DSC studies confirmed that there was no chemical interaction between drug and excipients used in the formulation. The Tmax of the optimized formulation HF16 was significantly different (p<0.05) from that of the marketed product. Low Tmax value for the marketed product (2.02±0.02 h) indicates rapid absorption while the higher Tmax of the optimized formulation (6.00±0.04 h) suggests slower absorption. This delayed absorption of test preparation is most likely due to the sustained release of the drug.
Conclusion: The results indicate that the approach used could lead to a successful development of a controlled release formulation of the drug. In vivo studies revealed that the optimized formulation HF16 was shown significant plasma concentration with the controlled release and maintained for 24 h with patient compliance by reducing the dosage frequency when compared with Marketed product in the efficient management of Parkinson’s disease.
Keywords: Tolcapone, Eudragit L100-55, Geomatrix, Tri-layer matrix tablet, In vivo bioavailability studies
© 2016 The Authors. Published by Innovare Academic Sciences Pvt Ltd. This is an open access article under the CC BY license (http://creativecommons.org/licenses/by/4.0/)
INTRODUCTION
Oral ingestion has long been the most convenient and commonly employed route of drug delivery due to its ease of administration and flexibility in the design of the dosage form. There are many ways to design modified release dosage forms for oral administration, and one of them is multi-layered matrix tablet. One to three layer matrix tablets is a drug delivery device, which comprises a matrix core containing the active solute and one or more barriers incorporated during tableting process [1]. The barrier layers delay the interaction of an active solute with dissolution medium, by limiting the surface available for the solute release and at the same time controlling solvent penetration rate [2, 3].
Hydrophilic polymers have been given considerable attention in the formulation of controlled release drug delivery systems for various drugs. HPC, HPMC and Sodium CMC & Carbopol are a few representative examples of the hydrophilic polymers that have been extensively used in the formulation of controlled release systems [4].Guar gum is soluble in water; it swells in gastric fluid to produce a highly viscous layer around the tablet through which the drug can slowly diffuse [5], and is used for the fabrication of matrices with uniform drug release characteristics [6, 7].
There have been different approaches to achieve zero-order drug release from dosage forms for sustained plasma concentration. Among different approaches to achieve zero-order release from hydrophilic matrix technologies, multilayer matrices have been widely evaluated and developed for commercial products under the trade name of Geomatrix. The technology makes use of bilayer or trilayer tablets to modulate the release and to achieve constant release [8].
Tolcapone is a selective, reversible inhibitor of peripheral and central catechol-O-methyl transferase (COMT). Tolcapone is used to treat patients with Parkinson’s disease. Parkinson’s disease is a progressive brain disorder that causes shaking, slow movement and muscle stiffness [9].
Tolcapone is eliminated fairly quickly, with an elimination half-life of 1.6 to 3.4 h [10]. The short half-life of tolcapone necessitated for fabricating extended release matrix tablets to provide a therapeutic amount of drug and maintain the desired drug concentration. Sustained release tablets are intended to take once or twice daily when compared with conventional dosage forms that may have to take three or four times daily to achieve the same therapeutic effect. The objective of the present study was to develop a tri-layered controlled release matrix tablet of tolcapone with different hydrophobic and hydrophilic polymers to achieve zero-order drug release for sustained plasma concentration. The results indicate that the optimized tri-layer tolcapone tablet can be successfully used for the treatment of Parkinson’s disease.
MATERIALS AND METHODS
Materials
Tolcapone (200 mg) film coated tablets were purchased from Roche Inc, Mumbai. Tolcapone pure drug was a generous gift from Optimus Generics Ltd., Hyderabad, India. Sodium carboxyl methyl cellulose, Ethyl cellulose, HPMC K 4 M, HPMC K 15 M & HPMC K 100 M was obtained from Rubicon labs, Mumbai. Eudragit L100–55 was obtained from Aurobindo Pharma Ltd., Hyderabad, and Guar gum was gifted from MSN Labs Ltd. Hyderabad. All other chemicals used were of analytical grade.
Methods
Micromeritic studies of tolcapone
Angle of repose
The angle of repose is the maximum angle that can be obtained between the free standing surfaces of the powder heap and the horizontal plane. It is a characteristic related to the inter-particulate friction or resistance to movement between particles. The method used to find the angle of repose is to pour the powder in the form of a conical heap on a flat surface and measure the inclined angled with the horizontal pile [11].
Tanθ = h/r θ = tan-1(h/r)
Where h = height of the heap r = radius of the heap
Bulk density
Bulk density is given by the mass “m” of the powder occupying a known volume “v” according to the relationship
Pb = (m/v) g/cc
It depends on particle size, shape, tendency of the particle to adhere.
Tapped density
Weighed powder sample was transferred to a graduated cylinder and was placed on tapped density apparatus, was operated for a fixed number of taps (100). It is the ratio of the weight of the sample to tapped volume.
![]()
Carr’s index
Based on the apparent bulk density and the tapped density, the percentage compressibility of the bulk drug was determined by using the following formula [12].

Formulation of controlled release tolcapone tri-layer matrix tablets
The trilayered matrix tablets of tolcapone were prepared by direct compression method [13]. The first step in the formulation was to develop the active middle layer so as to give at least 90%drug release during 12 h. The release profile of this layer might not be of constant rate type but would be preferably of constantly falling rate type. This layer would then be sandwiched between barrier layers (Upper & Lower layers) so as to continue the drug release for 24 h.
Preparation of active middle layer
Sixteen formulations (F1-F16) for active layer were prepared by direct compression method using polymers like different HPMC grades, Sodium CMC and Ethyl Cellulose. All the formulations were varied in concentration of polymers, talc (1.5 mg) & magnesium stearate (1.5 mg) constituted in all the formulations.
These materials were screened through ?60 and mixed together in motor by using a pestle. Final mixtures were compressed by using 12 mm diameter flat punches on a sixteen station rotary tablet press. Formulation of active layer was depicted in table 1. The prepared tablets were subjected to dissolution studies.
Preparation of barrier layers
The barrier layers (Upper & Lower layers) were formulated employing hydrophobic polymers Eudragit L100-55 and guar gum,which include water-soluble DCP & EC. The composition of barrier layers was depicted in table 1 and 2.
Table 1: Formulation trails for active layer (F1-F8)
Ingredients (mg) |
F1 |
F2 |
F3 |
F4 |
F5 |
F6 |
F7 |
F8 |
Tolcapone |
200 |
200 |
200 |
200 |
200 |
200 |
200 |
200 |
HPMC K 4M |
60 |
65 |
70 |
--- |
--- |
---- |
50 |
55 |
HPMC K 15M |
--- |
---- |
---- |
60 |
70 |
75 |
55 |
50 |
HPMC K 100M |
--- |
--- |
--- |
---- |
--- |
---- |
---- |
---- |
Ethyl cellulose |
35 |
35 |
30 |
42 |
40 |
40 |
20 |
22 |
Sodium carboxy methyl cellulose |
37 |
32.5 |
27 |
18 |
17 |
15 |
15 |
15 |
Dibasic calcium phosphate |
15 |
15 |
20 |
27 |
20 |
17 |
17 |
15 |
Table 2: Formulation trails for active layer (F9-F16)
Ingredients (mg) |
F9 |
F10 |
F11 |
F12 |
F13 |
F14 |
F15 |
F16 |
Tolcapone |
200 |
200 |
200 |
200 |
200 |
200 |
200 |
200 |
HPMC K 4M |
---- |
---- |
---- |
---- |
---- |
---- |
---- |
---- |
HPMC K 15M |
---- |
---- |
---- |
---- |
---- |
---- |
---- |
---- |
HPMC K 100M |
45 |
50 |
55 |
57.5 |
60 |
62.5 |
65 |
70 |
Ethyl cellulose |
40 |
35 |
32 |
30 |
32 |
30 |
27 |
30 |
Sodium carboxy methyl cellulose |
37 |
34 |
30 |
30 |
30 |
30 |
25 |
22 |
Dibasic calcium phosphate |
25 |
30 |
30 |
29.5 |
25 |
22.5 |
30 |
25 |
Total wt of the tablet = 350 mg
Table 3: Formulation trials of tolcapone tri layer matrix tablets
Ingredients (mg) |
AF16 |
BF6 |
CF16 |
DF16 |
EF16 |
FF16 |
GF16 |
HF16 |
Middle layer (F16) |
||||||||
Tolcapone |
200 |
200 |
200 |
200 |
200 |
200 |
200 |
200 |
HPMC K 100M |
70 |
70 |
70 |
70 |
70 |
70 |
70 |
70 |
Ethyl cellulose |
30 |
30 |
30 |
30 |
30 |
30 |
30 |
30 |
Sodium carboxy methyl cellulose |
22 |
22 |
22 |
22 |
22 |
22 |
22 |
22 |
Dibasic calcium phosphate |
25 |
25 |
25 |
25 |
25 |
25 |
25 |
25 |
Barrier layer |
||||||||
Eudragit L100-55 |
20 |
25 |
30 |
35 |
40 |
42.5 |
45 |
50 |
Guar gum |
45 |
40 |
35 |
30 |
35 |
35 |
32.5 |
35 |
Ethyl cellulose |
15 |
12 |
15 |
20 |
15 |
12.5 |
12.5 |
15 |
Dibasic calcium phosphate |
42 |
45 |
42 |
37 |
32 |
32 |
32 |
22 |
Magnesium stearate |
1.5 |
1.5 |
1.5 |
1.5 |
1.5 |
1.5 |
1.5 |
1.5 |
Talc |
1.5 |
1.5 |
1.5 |
1.5 |
1.5 |
1.5 |
1.5 |
1.5 |
Weight of each middle layer is 350 mg & Barrier layer is 125 mg.
Formulations of tolcapone try layer tablets
The powder mixtures required for active and barrier layers were weighed accurately and thoroughly mixed using mortar and pestle for about 20 min. Initially, the volume of die cavity (12 mm, round) was adjusted equivalence to the weight of trilayered matrix tablets (600 mg). Then the pre-weighed amount of powder equivalent to the bottom layer (125 mg) was taken and placed in the die cavity and slightly compressed for uniform spreading. The upper punch was lifted up and 350 mg of the drug containing middle active layer optimized formulation (F16) was placed over the bottom layer in the die cavity and again slightly compressed. The remaining volume of the die cavity was filled with a pre-weighed (125 mg) amount of powder equivalent to the top layer and compressed with the full force of compression on rotary tablets press to obtain tri-layered tablets. Tri-layered matrix tablets of each composition were compressed and tested for their friability, hardness, drug content and drug release characteristics with a suitable number of tablets for each test.
Evaluation of tri-layer matrix tablets of tolcapone [14]
Hardness
The hardness often randomly picked tablets was determined using Monsanto hardness tester.
Thickness
The thickness of the tablets was measured using vernier calipers.
Friability
A sample of twenty randomly selected tablets were accurately weighed and placed in a Roche friabilator. The friabilator was operated for 4 min at a speed of 25 rpm. The tablets were removed from the friabilator, de-dusted and reweighed. The percent loss in weight due to abrasion and impact was calculated as,
%Friability= (Loss in weight/Initial weight) X 100.
Weight variation
The weight variation test was performed as per the I. P. guidelines. Twenty randomly taken tablets were weighed together, and the average weight was determined. Each tablet was then weighed individually, and deviation from average weight was calculated.
Drug content/Assay
Five tablets were weighed individually and powdered. Then the powder of tablet equivalent to 200 mg was weighed and dissolved in phosphate buffer 7.4 pH, the solution was filtered and diluted using phosphate buffer pH7.4 and then the drug content was analyzed using UV spectrophotometer at 257 nm.
Swelling and erosion studies
The swelling experiment was conducted on the prepared tablets using USP dissolution apparatus II at a rotational speed of 50 rpm. The medium used was 900 ml phosphate buffer pH 7.4 at 37 °C. The swelling study was done up to 10h. The tablets were removed using a small basket, and swollen weight of each tablet was determined. The % of swelling was calculated according to the formula:
![]()
In-vitro drug releases profile
In vitro drug release studies for developed trilayer matrix tablets were carried out by using dissolution apparatus II paddle type (Electrolab TDL-08L). The drug release profile was studied in 900 ml Phosphate buffer pH 7.4 at 37±0.5 °C temperature. The amount of drug release was determined by UV-visible spectrophotometer (Shimadzu UV 1800) at 257 nm.
Drug release kinetics
To describe the kinetics of the drug release from matrix tablet, mathematical models such as Zero order. First order, and Higuchi, models were used. The criterion for selecting the most appropriate model was chosen on the basis of the goodness or fit test.
Drug-excipient compatibility studies
Fourier transforms infrared spectroscopy (FTIR)
FTIR spectra for the pure drug, physical mixture and optimized formulations were recorded using a Fourier transform Infrared spectrophotometer. The analysis was carried out in Shimadzu-IR Affinity 1 Spectrophotometer. The samples were dispersed in KBr and compressed into disc/pellet by application of pressure. The pellets were placed in the light path for recording the IR spectra. The scanning range was 400-4000 cm-1 and the resolution was 1 cm-1.
Differential scanning calorimetry (DSC)
Differential scanning calorimetry (DSC) studies were carried out using DSC 60, having TA60 software, Shimadzu, Japan. Samples were accurately weighed and heated in sealed aluminum pans at a rate of 10 °C/min between 25 and 350 °C temperature range under a nitrogen atmosphere. Empty aluminum pan was used as a reference.
Stability studies
The stability study of the formulated tolcapone trilayer tablets was carried out under different conditions according to ICH guidelines using stability chamber (REMI make). Accelerated Stability studies were carried out at 40 °C/75 % RH for the best formulations for 6 mo. The tablets were characterized by the hardness, friability, drug content and cumulative % drug released during the study stability period.
Pharmacokinetic studies
Animal preparation
Male rabbits were (weighing 2-3 kg) selected for this study, all the animals were healthy during the period of the experiment. Animals were maintained at room temperature 25 °C, Relative Humidity 45% and 12 h alternate light and dark cycle with 100 % fresh air exchange in animal rooms, uninterrupted power and water supply and rabbits were fed with standard diet and waterad libitum. The protocol of animal study was approved by the institutional animal ethics committee (IAEC NO: P34/VCP/IAEC/2015/2/DBP/AE12).
In vivo study design
The Rabbits were randomly divided into two groups each group contains six animals. The group A was received prepared tolcapone matrix tablets (200 mg); marketed product was administered group B with an equivalent dose of animal body weight. Blood samples (approximately 0.5 ml) were obtained with syringes by marginal ear vein at 0, 0.5, 1, 1.5, 2, 4, 6, 8, 12, 16, 20 and 24h post-dose. During collection, blood sample has been mixed thoroughly with heparin in order to prevent blood clotting. Plasma was separated by centrifugation of the blood at 5000 rpm in cooling centrifuge for 5 min to 10 min and stored frozen at -20 °C until analysis.
Preparation of plasma samples for HPLC analysis
Rabbit plasma (0.5 ml) samples were prepared for chromatography by precipitating proteins with 2.5 ml of ice-cold absolute ethanol for each 0.5 ml of plasma. After centrifugation, the ethanol was transferred into a clean tube. The precipitate was resuspended with 1 ml of acetonitrile by vortexing for 1 min. After centrifugation (5000–6000 rpm for 10 min), the acetonitrile was added to the ethanol and the organic mixture was taken to near dryness by a steam of nitrogen at room temperature.
For HPLC C8 column with 5µm particle size and the mobile phase consisting of Acetonitrile: Methanol (90:10). The flow rate was 1.0 ml/min, and the effluents were monitored at 270 nm. Internal standard carbidopa was used. The retention time of tolcapone and carbidopa was 2.3 min and 4.2 respectively [15].
Pharmacokinetic analysis
The pharmacokinetic parameters, peak plasma concentrations (Cmax) and time to reach peak concentration (tmax) were directly obtained from concentration-time data. In the present study, AUC0-t refers to the AUC from 0 to 24 h, which was determined by linear trapezoidal rule and AUC0-a refers to the AUC from time at zero hours to infinity.
The AUC0-a was calculated using the formula AUC0-t+[Clast/K] where C last is the concentration in mg/ml at the last time point and K is the elimination rate constant.
Various pharmacokinetic parameters like the area under the curve [AUC], elimination half-life (t½). The volume of distribution (Vd), total clearance (ClT) and mean residence time for each subject using a non-compartmental pharmacokinetic programme. The pharmacokinetic parameters were performed by non-compartmental analysis using Win Nonlin 3.3® pharmacokinetic software (Pharsight Mountain View, CA USA). All values are expressed as the mean±SD. Statistical analysis was performed with Graph Pad Instate software (version 3.00, Graph Pad Software, San Diego, CA, USA) using one-way analysis of variance (ANOVA) followed by Tukey–Kramer multiple comparison test. The difference with p<0.05 was considered statistically significant.
RESULTS AND DISCUSSION
Micromeritic studies of tolcapone
All the powder mixture belonging to different formulations of tolcapone trilayer tablets was tested for micrometric studies like bulk density, tapped density, the angle of repose and Carr’s index in order to determine the flow properties. All the formulations AF16 to HF16 showed good flow properties and the results are summarized in table 4.
Table 4: Powder flow properties of tri layer tablets
Powder properties |
AF16 |
BF16 |
CF16 |
DF16 |
EF16 |
FF16 |
GF16 |
HF16 |
Bulk density (g/cc) |
0.7251±0.07 |
0.7125±0.41 |
0.612±0.21 |
0.7050±0.54 |
0.719±0.23 |
0.682±0.68 |
0.645±0.67 |
0.722±0.46 |
Tapped density (g/cc) |
0.774±0.18 |
0.760±0.94 |
0.679±0.18 |
0.768±0.22 |
0.785±0.83 |
0.756±0.83 |
0.791±0.044 |
0.795±0.83 |
Angle of repose(o) |
32.69±0.64 |
33.93±0.67 |
32.12±0.32 |
32.09±0.41 |
27.76±0.65 |
32.09±0.27 |
27.15±0.02 |
25.39±0.66 |
Carr’s index |
12.02±0.95 |
12.22±0.13 |
11.29±0.61 |
10.81±0.51 |
9.23±0.44 |
11.72±0.55 |
9.38±0.55 |
8.25±0.94 |
n=3±SD
Table 5: Cumulative % drug release of different formulations of tolcapone active layer (F1-F8)
Time (h) |
F1 |
F2 |
F3 |
F4 |
F5 |
F6 |
F7 |
F8 |
1 |
23.1±0.05 |
18.6±0.02 |
19.55± |
19.5± |
34.2±0.06 |
18.4±0.08 |
35.7±0.01 |
30.7±0.05 |
2 |
32.1±0.01 |
27.2±0.05 |
45.89±0.04 |
46.7±0.05 |
49.5±0.02 |
58.4±0.06 |
63.9±0.08 |
45.9±0.08 |
4 |
32.1±0.02 |
58.2±0.05 |
65.48±0.05 |
49.4±0.06 |
50.7±0.05 |
58.8±0.04 |
67.5±0.07 |
59.4±0.08 |
6 |
49.2±0.04 |
90.1±0.02 |
76.78±0.06 |
80.7±0.08 |
51.5±0.03 |
63.7±0.02 |
77.7±0.08 |
90.7±0.02 |
8 |
54.4±0.02 |
91.2±0.03 |
94.15±0.02 |
83.7±0.05 |
54.7±0.04 |
76.4±0.01 |
81.7±0.06 |
91.8±0.09 |
10 |
57.3±0.04 |
95.1±0.06 |
95.28±0.03 |
85.7±0.04 |
63.7±0.07 |
80.7±0.03 |
90.4±0.08 |
95.7±0.05 |
12 |
67.2±0.05 |
94.4±0.05 |
96.47±0.05 |
89.1±0.06 |
65.7±1.06 |
86.4±0.03 |
95.5±0.07 |
93.4±0.06 |
n=3±SD
Table 5: Cumulative % drug release of formulations F9-F16
Time(h) |
F9 |
F10 |
F11 |
F12 |
F13 |
F14 |
F15 |
F16 |
1 |
11.4±0.01 |
15.1±0.07 |
20.4±0.04 |
17.5±0.07 |
19.7±0.05 |
23.5±0.08 |
20.7±0.05 |
22.5±0.04 |
2 |
23.5±0.05 |
27.7±0.08 |
36.5±0.05 |
26.6±0.08 |
34.5±0.06 |
45.7±0.05 |
34.5±0.04 |
35.5±0.07 |
4 |
32.6±0.04 |
58.8±0.06 |
49.8±0.09 |
40.5±0.06 |
40.6±0.06 |
63.8±0.06 |
46.8±0.05 |
50.6±0.03 |
6 |
33.2±0.07 |
67.5±0.06 |
67.8±0.07 |
49.5±0.06 |
45.8±0.05 |
72.8±0.09 |
78.5±0.04 |
70.6±0.05 |
8 |
49.5±0.05 |
90.5±0.02 |
76.9±0.05 |
72.8±0.06 |
54.5±0.05 |
79.2±0.04 |
80.2±0.05 |
81.8±0.05 |
10 |
54.9±0.05 |
91.3±0.03 |
81.8±0.06 |
80.5±0.04 |
63.2±0.06 |
90.8±0.05 |
90.6±0.07 |
90.8±0.06 |
12 |
77.5±0.05 |
94.2±0.04 |
95.4±0.09 |
83.7±0.05 |
68.9±0.07 |
92.5±0.04 |
94.6±0.05 |
98.5±005 |
n=3±SD
Preparation of active middle layer
The matrix tablets of tolcapone were prepared without the barrier layers. All the formulation trails were subjected to in vitro dissolution to determine the release profiles.

Fig.1: Cumulative % drug release of formulations F1-F8

Fig.2: Cumulative % drug release of formulationsF8-F16
From the above results, the formulation F16 was decided as optimized formulation based on the highest drug release i.e. 98.5±005% within 12h when to compare with other formulations (table 5 and 6; fig. 1 and 2).Formulation F16 was choosen as an active layer for further studies.

Fig.3: Tolcapone trilayer matrix tablets
Evaluation of trilayer matrix tablets of tolcapone
The tolcapone, trilayer matrix tablets, are shown in fig. 3. Sustained/Controlled release tablets generally have hardness in the range of 7-10 kg/cm2. In the case of trilayer tablets the hardness of the tablets was found to be 7.1 to 8.6 kg/cm2. The friability of the formulations was found to be less than 1% and hence the tablets with lower friability may not break during handling on machines and or shipping. All the batches of the tablets complied with the variation weight limits as per the IP. The drug content in the different formulation was highly uniform, and the results are depicted in table 6.
Table 6: Evaluation parameters tolcapone trilayer matrix tablets
Formulation code |
Thickness* (mm) |
Hardness* (kg/cm2) |
Friability* (%) |
Weight variation** (mg) |
%Drug content*** |
AF16 |
5.60 |
7.1±0.23 |
0.34 |
473±10 |
97.1 |
BF16 |
5.72 |
7.6±0.42 |
0.23 |
473±14 |
96.4 |
CF16 |
5.54 |
7.4±0.41 |
0.35 |
476±16 |
98.8 |
DF16 |
5.73 |
7.1±0.32 |
0.26 |
473±14 |
97.6 |
EF16 |
5.71 |
8.2±0.59 |
0.33 |
473±13 |
97.4 |
FF16 |
5.62 |
7.8±0.22 |
0.26 |
472±17 |
97.5 |
GF16 |
5.54 |
8.6±0.55 |
0.27 |
472±15 |
98.1 |
HF16 |
5.70 |
8.3±0.15 |
0.21 |
474±18 |
99.0 |
*n=3; **n=20±SD; n=5±SD***
Table 7: In-vitro dissolution profile of tolcapone trilayered tablets
Time (h) |
AF16 |
BF16 |
CF16 |
DF16 |
EF16 |
FF16 |
GF16 |
HF16 |
1 |
6.12±0.01 |
5.65±0.07 |
5.34±0.04 |
6.12±0.05 |
7.23±0.05 |
6.23±0.06 |
5.24±0.06 |
6.2.23±0.09 |
2 |
10.34±0.02 |
8.67±0.05 |
8.23±0.04 |
11.11±0.04 |
10.43±0.04 |
10.12±0.06 |
11.45±0.05 |
10.11±0.08 |
4 |
12.45±0.04 |
9.89±0.04 |
16.14±0.07 |
22.12±0.05 |
10.45±0.05 |
12.44±0.05 |
13.56±0.05 |
19.21±0.07 |
6 |
21.65±0.04 |
20.56±0.05 |
24.12±0.05 |
25.13±0.06 |
13.76±0.07 |
16.88±0.05 |
18.45±0.08 |
25.45±0.06 |
8 |
32.76±0.5 |
31.76±0.04 |
36.67±0.05 |
36.14±0.05 |
22.76±0.05 |
20.43±0.09 |
30.87±0.06 |
39.76±0.07 |
10 |
49.89±0.02 |
49.56±0.08 |
44.87±0.06 |
49.12±0.04 |
44.78±0.04 |
47.23±0.05 |
42.34±0.07 |
46.88±0.04 |
12 |
54.76±0.04 |
54.34±0.04 |
54.34±0.07 |
56.34±0.05 |
51.98±0.06 |
49.23±0.06 |
50.56±0.08 |
50.45±0.08 |
16 |
60.34±0.06 |
60.45±0.04 |
58.78±0.05 |
64.11±0.04 |
62.56±0.03 |
60.23±0.06 |
64.57±0.09 |
65.34±0.05 |
18 |
69.45±0.07 |
65.56±0.05 |
6013±0.05 |
66.45±0.05 |
67.43±0.04 |
61.54±0.05 |
70.87±0.07 |
69.23±0.05 |
20 |
72.13±0.05 |
72.12±0.07 |
70.51±0.07 |
73.12±0.04 |
69.65±0.05 |
74.13±0.04 |
78.66±0.05 |
75.23±0.08 |
24 |
90.11±0.04 |
93.77±0.5 |
95.23±0.05 |
94.56±0.04 |
92.34±0.04 |
93.24±0.04 |
90.43±0.07 |
99.43±0.05 |
n=3±SD
The physical properties of all the tablets are within the limits and the hardness ranges in between 5-7 kg/cm2. The assay results showed the percentage of the drug from 95-99. The tablets did not develop any cracks during manufacturing, and there occurred no layer separation during the process of dissolution. Hence, all the tablets were subjected to in vitro dissolution test to determine the release profiles.
Swelling studies
In phosphate buffer pH 7.4, HPMC K 100M showed the good swelling property. In trilayer tablets of tolcapone, HF16 showed the highest degree of swelling index 212.24%, whereas in AH16 showed least swelling with a swelling index of 124.35%.
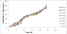
In vitro dissolution studies of tolcapone trilayer tablets
The In vitro drug profile of tolcapone from different formulations was carried out in phosphate buffer pH 7.4, and the results are depicted in table 7& fig. 4.
The trilayer tablets extended the drug release up to 24 h. The highest drug release was found in the formulation HF16 i. e 99.43±0.05% within 24 h. HF16 was found to be optimized formulation based on the dissolution and other evaluation parameters. The in vitro drug release profile from tolcapone marketed product was shown in table 8andfig. 5 and found to be 95.25% within 60 min.
In-vitro dissolution studies of tolcapone trilayered tablets formulated in different trials

Fig.4: Cumulative percentage drug release from formulation HF16 and marketed product

Fig.5:Comparison of cumulative percentage drug release of tolcapone from marketed product and optimized formulation HF16
Table 8: Cumulative% drug release marketed product
Time (min) |
Marketed product |
5 |
7.15±0.22 |
10 |
20.32±0.53 |
20 |
42.25±0.37 |
30 |
61.25±0.17 |
45 |
82.75±0.26 |
60 |
95.25±0.02 |
Table 9: Drug release kinetics of tolcapone optimized formulation (HF16) and marketed product
Formulation code |
Zero order |
First order |
Higuchi model |
HF16 |
0.992 |
0.836 |
0.974 |
Marketed product |
0.703 |
0.952 |
---- |
In the present study drug release mechanism is best fitting to zero order and Higuchi model because regression coefficient was seen closest to 1 in these models which conforms diffusion assisted mechanism of release. The marketed product was explained by first order kinetics as the plot showed the highest linearity (r²=0.952) as the drug release was best fitted in first order kinetics.
Characterization
FT-IR studies

Fig.6: FT-IR spectrum of pure drug tolcapone

Fig.7: FT-IR spectrum of tolcapone+HPMC K 100M+Eudragit L100-55

Fig.8: FT-IR spectrum of tolcapone optimized formulation HF16
There was no alteration in peaks of tolcapone pure drug (fig. 6) and optimized formulation (fig. 8), suggesting that there was no interaction between drug & excipients. FT-IR spectrum of pure drug and other polymers are shown in (fig. 7). There is additional peaks appeared or disappeared hence no significant changes in peaks of optimized formulation was observed when compared to the pure drug, indicating the absence of any interaction.
DSC studies

Fig.9: DSC thermogram of tolcapone pure drug (A) and optimized formulation HF16 (B)
DSC was used to detect an interaction between tolcapone and excipients. The thermogram of tolcapone exhibited a sharp endotherm melting point at 140 °C. The thermogram of the optimized formulation of tolcapone exhibited a sharp endotherm melting point at 143 °C. The DSC thermogram retained properties of tolcapone, as well as polymer properties. There is no considerable change observed in melting endotherm of the drug in the optimized formulation (fig. 9).It indicates that there is no interaction between drug & excipients used in the formulation.
Stability studies
The optimized trilayer matrix tablets (HF16) formulation was subjected to stability studies for 6 mo to evaluate its stability and the integrity of the dosage form. There was no significant change observed in the friability, hardness, cumulative % drug content and in vitro drug release of HF16 at 40 °C/75 % RH for 6 mo. The tablets were characterized for the hardness, friability, drug content and cumulative % drug released during the study stability period. From these results, it was concluded that optimized formulation was stable and retained their original properties with minor differences.
Pharmacokinetic studies

Fig.10: Plasma Concentrations of tolcapone optimized formulation (HF16) and marketed productat different time intervals
Bioavailability parameters
Mean plasma concentration profiles of prepared tolcapone optimized formulation and marketed product are presented in fig. 10. Tolcapone optimized formulation exhibited as sustained release in vivo when compared with marketed product. All the pharmacokinetics parameters displayed in table 10. Tolcapone reference drug was available in plasma within two hours after its oral administration. The Tmax of the test tolcapone was significantly different (p<0.05) from that of the standard. Low Tmax value for the reference drug (2.02±0.02h) indicates rapid absorption while the higher Tmax of the test drug (6.00±0.04h) suggests slower absorption. This delayed absorption of test preparation is most likely due to the sustained release of the drug. On the other hand, the Cmax of the marketed product was significantly different from the test preparation. The half-life of the reference preparation was low which indicates rapid removal of the drug from plasma. This was also supported by the high elimination rate constant value. On the other hand, the test formulation exhibited higher half-life and low elimination rate constant values indicating slower drug disposition and prolonged effect. However, the AUC0-8 values for the two formulations were significantly different. This suggests that the tolcapone contained in the test product was completely absorbed.
Table 10: Comparison of pharmacokinetic parameters of tolcapone optimized formulation (HF16) and marketed product
Parameters |
Tolcapone optimized formulation (HF16) |
Marketed product |
Cmax (µg/ml) |
8960.21±0.05 |
9575.15±0.08 |
AUC 0-t (µg h/ml) |
39430.65±0.12 |
32452.25±0.02 |
AUC0-8 (µg h/ml) |
44197.75±0.14 |
38478.14±0.02 |
Tmax (h) |
6.00±0.04 |
2.02±0.02 |
t 1/2 (h) |
7.5±0.014 |
4.15±0.05 |
DISCUSSION
These results revealed that the continuous and steady state release of tolcapone from the trilayered matrix optimized tablet was obtained when compared with a marketed conventional tablet, where dosage frequency can be reduced from 3-4 times to one time. At present tolcapone extended-release tablets are not available in the market. The optimized formulation of tolcapone HF16 has shown the drug release for the period of 24 h. The maintenance of continuous and steady plasma concentration of the drug is essential for the management of Parkinson’s disease.
CONCLUSION
Our studies highlighted the potential use of controlled release trilayer matrix tablets as an efficient strategy for the oral delivery of tolcapone. From this study, it was concluded thattrilayer matrix tablets of tolcapone can be successfully prepared by direct compression technique using different polymers combination. Based on the evaluation parameters, drug dissolution profile and release drug kinetics HF16 was found to be optimized formulation. The drug release from HF16 was found to fit zero order and best fitted to Higuchi’s model confirming to be the diffusion assisted mechanism. FT-IR & DSC studies revealed that there was no interaction between the drug and polymers used in the formulations. In vivo bioavailability studies were conducted for optimized tolcapone trilayer tablets and marketed product, In vivo studies indicating that the optimized tolcapone formulation was shown sustained release patterns where marketed product was shown immediate release. So the optimized formulation was shown significant plasma concentrations with sustained release and maintained for 24 h. The optimized formulation of tolcapone trilayer matrix tablet was shown significant plasma concentration with the controlled release and maintained for 24 h with patient compliance by reducing the dosage frequency when compared with marketed product in the efficient management of Parkinson’s disease.
CONFLICT OF INTERESTS
Declared none
REFERENCES