
aDepartment of Pharmaceutical Technology, Faculty of Pharmaceutical Sciences, Naresuan University, Phitsanulok, Thailand, bThe Center of Excellence for Innovation in Chemistry, Commission on Higher Education, Bangkok, Thailand, cThe Center of Excellence in Medical Biotechnology, Naresuan University, Phitsanulok, Thailand, dSchool of Optometry, Indiana University, Bloomington, Indiana, United States
Email: wareet@nu.ac.th
Received: 03 Nov 2015 Revised and Accepted: 03 Feb 2016
ABSTRACT
Objective: To develop and characterize a topical ophthalmic formulation containing chitosan-dextran sulfate nano particles (CDNs) for enhanced ocular bioavailability and stability of lutein.
Methods: Lutein-loaded CDNs (LCDNs) were prepared by polyelectrolyte complexation employing oppositely charged polymers, chitosan and dextran sulfate. Effects of the polymer mass ratios, the total amount of polymers, and the amount of EDC and PEG400 on their physicochemical properties as well as the drug release profiles were investigated. The physicochemical stability of LCDNs dispersed in various ophthalmic vehicles and the accompanying microbial contamination were also evaluated.
Results: LCDNs possessed a mean size of ~400 nm with a positive surface charge of+30 mV and entrapment efficiency up to 75%. Dissolution profiles followed a Higuchi’s square root model, indicating a diffusional release mechanism. LCDNs dispersed in Feldman ophthalmic buffer showed good physical stability with no microbial contamination. The chemical stability of lutein was significantly improved in LCDNs and further improved by the addition of antioxidant in the ophthalmic vehicle.
Conclusion: The ophthalmic formulation containing LCDNs, developed in this work, has characteristics suitable for application in ocular surface drug delivery systems.
Keywords: Chitosan, dextran sulfate, Nanoparticles, Ophthalmic vehicle, Lutein.
© 2016 The Authors. Published by Innovare Academic Sciences Pvt Ltd. This is an open access article under the CC BY license (http://creativecommons.org/licenses/by/4.0/)
INTRODUCTION
The cornea is the main route for topical ocular drug delivery. It also blocks ultraviolet radiation (UVA-UVB) from reaching the intraocular tissues. However, prolonged exposure to UV radiation generates reactive oxygen species (ROS) in the cornea, and its adnexa can exacerbate corneal inflammation and cause an adverse impact on anterior segment disorders including dry eye disease, keratoconus, and bullous keratopathy [1]. Oxidative stress, which refers to cellular or molecular damage caused by ROS, is pronounced in age-related disorders as a direct result of an imbalance between increasing ROS production and a concomitant decline in antioxidant defenses. Lutein is a major carotenoid found in the human retina, especially in the cellular layers and photoreceptor outer segments. Because of its lipophilicity, lutein partitions into membranes where it plays a crucial role as an antioxidant, especially against singlet oxygen generated by blue light. Furthermore, lutein absorbs maximally in the blue region of the spectrum and directly intercepts blue photons. It also provides protection against UV and ROS in other ocular structures, especially the uvea [2]. Thus, delivery of lutein to the cornea or anterior segment is potentially beneficial to treat oxidative stress associated with disorders such as Fuchs dystrophy and anterior uveitis [1]. Although, there are numerous oral preparations containing lutein, impact on anterior ocular structures seems to be limited [3]. In addition, very few studies have focused on the specific topical ophthalmic application of lutein [4]. It is of interest to note also that there are currently no lutein-eye-drops products available in the market because of its limited stability. Lutein is a lipophilic molecule which is poorly soluble in water and notorious for its poor stability in solutions due to its susceptibility to oxidative degradation by light, heat and oxygen [5]. Thus, a formulation and delivery system which is able to maintain the reduced form during storage and promotes uptake are necessary for the clinical applications of this compound.
Following topical application, drug persistence on the cornea surface is limited (half-life of 2-4 min) because of regular washing with lacrimal fluid and drainage into the nasolacrimal duct by blink-induced tear pumping [6]. In order to overcome these major drawbacks, various nanocarrier systems have been developed to improve ocular bioavailability [7-10]. We have recently reported on mucoadhesive chitosan-dextran sulfate nanoparticles (CDNs), a polymeric nanoparticle-based delivery system, which is a potential candidate for ocular drug delivery because of prolonged corneal residence time and controlled drug release [8]. CDNs offer many advantages, including mild preparatory steps without using organic solvents, heat, and vigorous agitation [8]. The nanoparticles can be prepared by polyelectrolyte complexation, which can be achieved by merely mixing two oppositely charged polymers: chitosan (CS) and dextran sulfate (DS). As it has been highlighted before, CS is an ideal polymeric carrier because it is biocompatible, biodegradable, nontoxic, bioadhesive, and positively charged [8, 9]. The latter property is due to its positive charge, which promotes binding to the negatively charged mucopolysaccharides on the cornea. CS is soluble in most organic acidic solutions at pH<6.5. DS is also biocompatible but is negatively charged [11].
Many studies have reported CDN formulations, but those focusing on topical ocular drug delivery are limited. Thus, in this study, we propose CDNs as a potential topical ocular delivery carrier for lutein. The main aim is to develop and characterize topical ophthalmic formulations containing mucoadhesive CDNs for controlled release and improved stability of lutein. The preparation of lutein loaded CDNs (LCDNs) under various conditions have been optimized to study their effect on physicochemical properties and an in vitro release profile of LCDNs. The suitable ophthalmic vehicle and stability profile of LCDNs at different storage temperatures were evaluated. Additionally, the microbial contamination after storage was determined.
MATERIALS AND METHODS
Materials
Chitosan shrimp (CS; MW 30 kDa with 95% de acetylation) was obtained from Aqua premier Inc. (Bangkok, Thailand). Dextran sulfate (DS, MW 500 kDa) and 1-ethyl-3-(3-dimethylaminopropyl) carbodiimide hydrochloride (EDC) were purchased from Sigma-Aldrich Chemie GmbH (Steinheim, Germany). Polyethylene glycol 400 (PEG400) was purchased from Naming trading Co., Ltd (Bangkok, Thailand). Lutein (95% lutein extracted from marigold flower extract) was purchased from KEB Biotechnology Co., Ltd. (Beijing, China). Brain heart infusion agar (BHA) was obtained from Himedia Laboratories Pvt. Ltd (Mumbai, India). All other chemicals and reagents used were of analytical grade. Deionized (DI) water was used for the preparation of solutions and dispersion of nanoparticles.
Preparation of lutein-loaded CDNs (LCDNs)
LCDNs were prepared by the polyelectrolyte complexation technique [8] . For CS solution (1%, w/v), CS was dissolved in 1.75% (v/v) acetic acid. Lutein solution is (0.5% w/v) comprised of lutein dissolved in a mixture of dimethylsulfoxide, ethanol and Tween 80 (49.5:50:0.5, v/v), and then mixed with CS solution. After the lutein solution was made, a DS solution (1%, w/v in DI water) and EDC (0.1%, w/v in DI water) were gently added to the CS-lutein solution with continuous homogenization at ~8000 RPM (Ultra-Turrax®, T25, IKA, German) at room temperature (RT) for 15 min. Finally, an aqueous solution of PEG400 was added and mixed. All solutions were sterilized separately with 0.2 µm membrane filter before mixing. Experimental parameters such as polymer mass ratio and total polymer mass, co-crosslinking agent, and stabilizing agent were varied. Lutein-free CDNs were prepared by the same procedure but without the addition of the lutein solution. All samples were prepared in the dark and produced in triplicates.
Characterization of nanoparticlesThe mean particle size was measured by dynamic light scattering (DLS) using a ZetaPALS analyzer (Brookhaven Instruments Corporation, New York, US) with an aliquot diluted in DI water. The particle size distribution was reported by a polydispersity index (PI). Each sample was measured at 25 oC, a detection angle of 90o, and a wavelength of 659 nm in a 10 mm diameter cell. Each data point was an average of 10 runs, and data was subjected to cumulative analysis to obtain an average hydrodynamic diameter [12]. All experiments were carried out in triplicate.
The surface charge on nanoparticles was measured by phase analysis of light scattering in the zeta potential (ZP) mode using ZetaPALS analyzer. Samples were prepared by re-dispersing the nanoparticles in DI water and measured at 25 oC. ZP was calculated from the measured electrophoretic mobility using the Smoluchowski approximation [13]. Each data point represents an average of 10 runs. All experiments were carried out in triplicate.
The entrapment efficiency (EE) of LCDNs was determined as follows: LCDNs were separated by centrifugation at 18 620 g for 30 min. Lutein was extracted from the sediment pellets by sonication with ethanol for 20 s at RT. The lutein in the supernatant obtained after subsequent centrifugation at 18 620 g for 30 min was analyzed using a UV-Vis spectrophotometer (446 nm). EE was calculated as [(Amount of lutein extracted) x 100/(Initial amount of lutein)]. EE was reported based on the mean of three independent trials.
In vitro dissolution studies
The shake-flask method was employed to evaluate the release profile of lutein from LCDNs. Since lutein possesses poor aqueous solubility, normal saline solution (pH 6.5) containing Tween 80 (1%, v/v) was used as a dissolution medium to provide sink condition. A known amount of LCDNs, which consists of lutein 25 mg/ml, was mixed with 10 ml of the dissolution medium and shaken at 100 RPM, employing a shaker at 34±0.5 °C in the dark. Samples (1 ml) of the dissolution medium were taken at predetermined time intervals of 0.5, 1, 2, 3, 4, 5 and 6 h. The samples were then centrifuged at 18 620 g for 30 min and the supernatant was assayed for the amount of lutein released using the UV-Vis spectrophotometer (446 nm). All dissolution experiments were carried out in triplicate.
The impact of dispersion vehicles on physiochemical properties of LCDNs
The formulation of LCDN prepared from the mass ratio of CS: DS at 1:0.6 was dispersed in five different vehicles; normal saline solution (NSS, 0.9% w/v), Feldman ophthalmic buffer (FOB), chitosan solution (CS, 0.1% w/v), a mixture of CS in NSS (CN; CS/NSS ratio of 0.14/1) and a mixture of CS in FOB (CF; CS/FOB ratio of 0.14/1). Benzalkonium chloride (BAC, 0.01% w/v), edetate disodium tetraacetic acid (EDTA, 0.01% w/v), and sodium metabisulfite (SM, 0.2% w/v) were added in dispersion vehicles as preservatives, chelating, and antioxidant agents, respectively. All dispersion vehicles were sterilized by autoclaving at 121 °C and 15 psi for 20 min. A known amount of LCDN, consist of lutein 25 µg/ml, was mixed with 25 ml of the dispersion vehicles. After storage at 37±0.5 °C for 4 w in dark condition, the physiochemical stabilities of LCDNs in different vehicles were analyzed. The mean particle size, surface charge, pH and lutein remaining were monitored at 2-week intervals. All experiments were carried out in triplicate.
Stability studies
The formulation of LCDN-PE, prepared with the CS: DS mass ratio of 1:0.6, PEG400 0.35% v/v, EDC 1 mg/ml, was dispersed in FOB solution with and without SM. LCDN-PE, 35 µg/ml of lutein content, was dispersed in an autoclaved-FOB solution under aseptic technique. For lutein solution, as a control, the same lutein content was also prepared with an autoclaved-FOB solution. Then, the samples were flushed with nitrogen gas and stored at 4 °C and RT in dark condition. After 6-month storage, the particle size, surface charge, and lutein remaining in nanoparticles were determined. The microbial contamination was also assessed by counting colonies after inoculating the sample onto brain-heart infusion agar (BHA), which was incubated at 37±0.5 °C for 7 d [14]. All experiments were carried out in triplicate.
Statistical analysis
The results are expressed as mean±standard deviation (SD). For all comparisons, statistical significance was tested by Student's t-test or one-way ANOVA followed by Tukey's post hoc test, and P<0.05 was considered statistically significant.
RESULTS AND DISCUSSION
Physicochemical properties of nanoparticlesFor the application of nanoparticles as topical ophthalmic administration, the size and surface charge of the particles are key parameters that influence the safety and efficacy of the formulation. Particle sizes exceeding 10 µm can scratch the highly innervated ocular surface during blinking and lead to irritation and patient discomfort [15, 16]. In addition, increasing resident time on the ocular surface enhances ocular drug bioavailability; nano-sized particles offer greater adhesive properties. Furthermore, the positively charged particles facilitate effective adhesion to the negatively charged pre-cornea surface via electrostatic interaction [17]. The following preparation conditions were designed to optimize these properties.
CS/DS mass ratio: it is roughly equivalent to the charge ratio of CS to DS, which showed a strong effect on the mean particle size and surface charge of the nanoparticles, table 1A. As the mass ratio of the DS increased, the mean particle size decreased, and the positive surface charge decreased. Nevertheless, when the mass of the DS is equal and/or higher than the CS, the system showed precipitation and possessed negative surface charged particles. This was due to an excess of DS molecules accumulated on the surface of nanoparticles. The results suggest that the charge ratio and the mass ratio both play important roles in controlling the size and surface charge of nanoparticles. In addition, the particle size obtained from DLS was in agreement with SEM micrographs. The formulation factors showed no effect on the nanoparticles morphology. As shown in fig. 1, the nanoparticles observed under SEM showed spherical-shaped particles regardless of formulation factors.
Polymer content: the total amount of polymers showed a critical effect on the mean particle size, but did not significantly affect the surface, as indicated in table 1B. Increasing the total polymer mass increased the mean particle size from 368 to 1,110 nm. This can be attributed to the higher viscosity of system compared to formulations with low polymer concentrations.
Co-crosslinking by EDC: this was investigated by varying the amount of EDC while keeping other factors constant, table 1C. The results showed that the formulation without EDC produced a lower mean particle size than those formed in its presence. As EDC is thought to increase the crosslinking density of polymer chains [18], which results in an increase in the particle size.
Stabilizing agent by PEG400: finally, in contrast to EDC, varying the amount of PEG400, which was employed as a stabilizing agent, has only a minor effect on the mean particle size and surface charge, table 1D.
In addition to particle size and surface charge, the drug entrapment efficiency was also affected by the processing parameters. An increase in the polymer mass ratio and total polymer mass resulted in increasing the lutein entrapment efficiency from 19% to 71%, as shown in table 1A and B. This is presumably due to a large number of nanoparticles being formed and greater polymer-drug interactions, which leads to increased entrapped lutein within the particles. As well, an increasing amount of PEG400 led to a sharp increase in entrapment efficiency, which could be observed up to 75%, table 1D. This may be due to increasing interaction between lutein and PEG400 via hydrogen bonding. However, a decreasing trend in entrapment efficiency was observed when increasing the EDC concentration, table 1C. This is probably due to the high crosslinking density of the polymers increasing the diffusion resistance of lutein molecules from the polymer matrix to the medium.
Fig.1: Scanning electron micrographs of LCDNs prepared with 0.35% v/v PEG400 and the CS: DS mass ratio of1:0.36 (A), and 1:0.6 (B). Scale bar = 1 µm.
Table 1: Physicochemical properties of nanoparticles under various formulation factors
Preparing conditions |
Mean size±SD (nm) |
PI±SD |
Zeta potential±SD (mV) |
EE±SD (%) |
Lutein±SD (µg/ml) |
|
A. Mass ratio of CS: DS |
1:0.12 (7.64) |
742±14 |
0.28±0.01 |
52±4 |
19±0 |
9±0 |
1:0.36 (2.55) |
600±14 |
0.27±0.01 |
47±2 |
55±9 |
27±4 |
|
1:0.6 (1.53) |
368±8 |
0.25±0.02 |
44±3 |
68±1 |
34±1 |
|
1:1.0 (0.9) |
Precipitated |
Precipitated |
-19±1 |
Not determined |
Not determined |
|
1:1.6 (0.6) |
Precipitated |
Precipitated |
-36±2 |
Not determined |
Not determined |
|
B. Total amount of polymers (mg/ml) |
0.6 |
467±12 |
0.25±0.01 |
43±2 |
55±2 |
27±1 |
1.0 |
368±8 |
0.25±0.02 |
44±3 |
68±1 |
34±2 |
|
1.2 |
491±11 |
0.26±0.01 |
43±6 |
66±3 |
33±3 |
|
2.0 |
1,110±14 |
0.26±0.01 |
47±2 |
71±6 |
35±1 |
|
C. EDC (µg/ml) |
0 |
368±8 |
0.25±0.02 |
44±3 |
68±1 |
34±1 |
1 |
464±7 |
0.28±0.01 |
46±6 |
56±0 |
28±0 |
|
3.5 |
469±7 |
0.27±0.01 |
44±1 |
52±1 |
26±1 |
|
6.5 |
534±8 |
0.29±0.01 |
43±1 |
47±3 |
23±2 |
|
D. PEG400 (%, v/v) |
0 |
434±21 |
0.29±0.02 |
38±4 |
44±4 |
22±2 |
0.25 |
426±7 |
0.25±0.02 |
46±1 |
55±2 |
28±1 |
|
0.35 |
368±8 |
0.25±0.02 |
44±3 |
68±1 |
34±1 |
|
1.00 |
551±4 |
0.26±0.02 |
41±3 |
75±2 |
38±1 |
|
DS mass ratio (1:0.6) and PEG400 (0.35% v/v); D:CS:DS mass ratio(1:0.6). PI, poly dispersity index, EE; entrapment efficiency; SD, standard deviation, n=3, PI, poly dispersity index, EE; entrapment efficiency; SD, standard deviation, n=3.
In vitro release of lutein from LCDNs
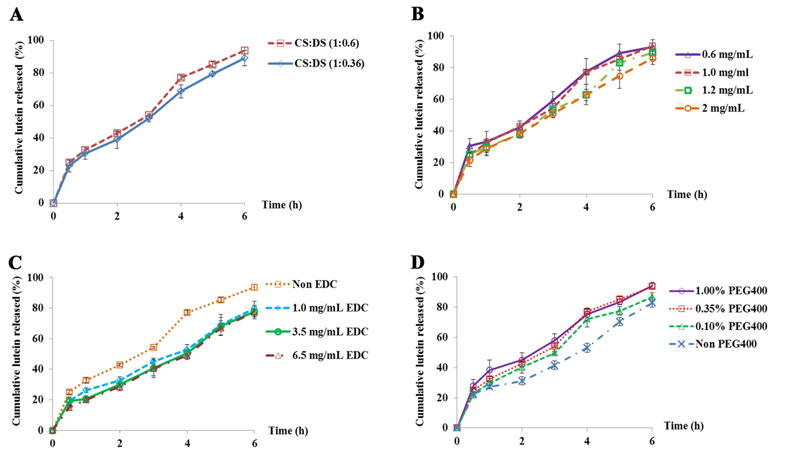
The in vitro release profiles of all formulations exhibited two release patterns: an initial burst release phase in the first 30 min followed by a slower release phase lasting for 6 h, fig. 2. The release profiles demonstrated that the initial burst release is attributed to the release of lutein bound to the nanoparticle surface [19, 20]. The slow release phase may be attributed to the swelling or degradation of the polymer, which leads to the formation of pores within the polymeric matrix. In order to investigate the mechanism of lutein release from LCDNs, the cumulative release profiles were analyzed by the three well-known kinetic models: zero order, first order, and Higuchi models. Based on the correlation coefficients (R2), the release profiles of all nanoparticles were best fitted to Higuchi’s square root model (R2=0.95-0.99). This indicates that lutein released from LCDNs in the slow release phase occurs via a diffusion-controlled mechanism from the polymeric matrix.
As shown in fig. 2A and 2B, the mass ratio and the total amount of polymers showed only a slight effect on drug release, presumably due to their similarity in size, 368-600 nm. However, the drug release rate was delayed when the total polymer mass was increased up to 2 mg/ml, presumably that the total polymer mass of 2 mg/ml could be increased tortuosity and decreased porosity in the polymer matrix of particles [21].
Moreover, the particles larger than 1 µm can also be observed in this condition, thus, the drug release rate may also be partially attributed to the altered particle size. Based on the results, the formulations with a particle size smaller than 600 nm have a greater net surface area, which means that most of the associated drug would be at or near the particle surface thus leading to more rapid drug release. In the formulations with a particle size larger than 1 µm, the particles had a large core which allowed more of the drug to be encapsulated and to diffuse out slowly.
In addition to the polymer mass ratio and the total amount of polymer, the drug release rate was also affected by the amount of PEG400. As shown in fig. 2D, the drug release rate increased with increasing amounts of PEG400. The highest drug release rate was observed in the formulation containing 1% and 0.35% PEG400, while, the formulation without PEG400 showed the slowest release rate. In addition, in the formulations with PEG400, there was significant (P<0.05) difference in percentage drug released compared to the formulation prepared without PEG400. It could be postulated from these results that the role of PEG400 is achieved by two mechanisms. First, PEG400 might interact with lutein by hydrogen bonding, and some PEG400 might be localized at the particle surface. Thus, lutein that is adsorbed onto the nanoparticle surface and entrapped near the surface might be the reason for the initial burst release with in the first 30 min [20]. Second, PEG400 might have been inserted inside the polymer matrix. As it is water-soluble, it is easily leached out into the dissolution medium which leads to pore formation in the polymer matrix which enhances drug release [22]. Overall, the study demonstrates that the drug release rate is dependent on the amount of PEG400 in the formulation.
Furthermore, the influence of EDC on the drug release rate was also studied in detail. Interestingly, the addition of EDC showed a significant effect on the drug release characteristics compared with non-EDC, as shown in fig. 2C. As the EDC was added, the drug release from the nanoparticles slowed down. This confirmed that EDC could increase the crosslinked density of the polymers as mentioned earlier. However, as the amount of EDC further increased from 1 to 6.5 mg/ml, no significant change in the drug release rate was observed indicating that the drug release rate was controlled by the EDC, but large amounts of EDC are not required.

Fig.2: In vitro release profiles of lutein from LCDNs under various formulation factors; a polymer mass ratio (A), the total amount of polymer (B), amount of co-crosslinking agent (C) and amount of stabilizing agent (D). Error bars indicate SD for n = 3
Dispersion vehicles
The use of lutein in the ophthalmic administration is limited due to its poor aqueous solubility and susceptibility to oxidation. To overcome this limitation, the colloidal nanoparticles for the ophthalmic controlled delivery of lutein was developed and prepared by incorporating lutein into CDNs. We then dispersed the lutein-loaded CDNs in the ophthalmic vehicles. By these actions, we demonstrated that the physicochemical properties of the nanoparticles after the dispersion process are important parameters to optimize a suitable dispersion vehicle. Ideally, the dispersion vehicle must maintain the physiochemical properties of nano particles and also be nonirritating to the eyes. It must be appropriately formulated so that the suspended particles do not agglomerate into larger ones upon storage. Additionally, changes in the pH of the dispersion vehicle can affect the solubility and stability of drugs [23]. Consequently, it is important to minimize fluctuations in pH during storage. Thus, to optimize the suitable dispersion vehicle, the effect of various dispersion vehicles on physicochemical properties of LCDN was investigated in this study. As an initial step, the five main different vehicles were employed, namely N (NSS), F (FOB), C (CS), CN (CS+NSS) and CF (CS+FOB). NSS has been used commonly to prepare ophthalmic drops [23]; its salt concentration is similar to tears. CS solution has been reported as a novel vehicle for enhanced permeation and sustained release of drugs on the ocular surface [24]. Similar to NSS, FOB is commonly used to formulate ophthalmic drugs. It has been reported that FOB can also be used as a buffer with CS solutions for topical administration [25]. In addition, we used a simple formulation of LCDNs that consisted only of CS+DS+L so that potential interference of PEG400 and EDC was avoided. The lutein and nanoparticles were stored at 37oC for the accelerated stability test to avoid the rapid degradation of the lutein and to save time during the experiment. After the dispersion, the initial mean size value of the dispersed LCDN was approximately 434 nm and the surface charge was+38 mV in all ophthalmic vehicles.
After storage at 37 oC for 2 w, all five dispersion vehicles induced significant aggregation of LCDN followed by precipitation (data not shown). The positive surface charge was reduced from+38 mV to approximately +20 mV, as shown in fig. 3A. This information indicates that even the LCDN had a high zeta potential value above +30 mV, which should enable good physical stability by electrostatic repulsion [21]. However, we noticed precipitation occurred during storage. This indicates that the stability of LCDN based on zeta potential is not enough. Another mechanism for colloidal stabilization is based on steric hindrance [21]. This mechanism is the driving force created by attaching macromolecules to the surface of the particle. In these situations, formulations of near zero zeta potential can be stable. Thus, a stabilizing agent should be added to LCDN formulations to enhance their stability. For this reason, the formulation LCDN with PEG400 and EDC, LCDN-PE, was prepared to improve their physical stability and for use instability studies. Furthermore, after 2 w of storage, the pH of all dispersion vehicles also tended to be more acidic, changing from 5.3 to 4.8, as shown in fig. 3B. This is consistent with the results of the chemical stability of lutein. As shown in fig. 3C, the lutein contents in nanoparticles of all dispersion vehicles were significantly decreased. However, the highest lutein remaining, up to 30%, was observed in FOB, while the lowest were observed in NC, ~14%. This is consistent with the fact that FOB is widely used as a buffer in ophthalmic solutions because of its ability to maintain the pH level [24]. Therefore, FOB was employed as ophthalmic vehicles for further investigations.

Fig.3: The impact of various vehicles on physiochemical properties of LCDNs; surface charge (A), pH of the vehicle (B) and the percentage of lutein remaining (C).
Error bars indicate SD for n = 3. (P<0.05; **Student's t test and*one-way ANOVA followed by Tukey's post hoc test)
LCDN-PE dispersed in dispersion vehicle, FOB, was used for stability studies. Since lutein degraded rapidly, SM was incorporated into the FOB as an antioxidant. The dispersed nanoparticles in FOB, with and without SM, were stored at 4oC and RT. Following 6 mo of storage, the results showed that the temperature did not have a significant effect on the physical properties of LCDN-PE. At both 4 °C and RT, the particle size and surface charge remained constant at ~400-500 nm and ~30-40 mV, respectively (data not shown). The indicators of success related to the inclusion of PEG400 and EDC in the LCDN-PE formulation. PEG400 likely attaches to the particle surface and forms a coating, which creates steric hindrance and prevents particle-particle contact [25]. EDC could act as a hardening agent by creating high crosslink density leading to a reduction in the degree of swelling, thereby preventing particle aggregation [26].
Fig. 4: Percentage of lutein remaining in lutein solution and
LCND-PE, dispersed in FOB in the absence and presence of antioxidant, after 6-month storage at 4 °C (A) and RT (B).
Error bars indicate SD for n = 3."
In addition to the physical stability of the nanoparticles, the chemical stability of the lutein is also an important issue. As shown in fig. 4, the lutein contents in solution form, both in the absence and presence of SM, decreased to 25% after being stored for 14 d and further degraded to 6% after 6 mo in all storage conditions. Since lutein has a long chain of conjugated carbon-carbon double bonds within its structure, it could be rapidly degraded by oxidation, especially when stored at high temperatures [5]. As expected, the colloidal LCDN-PE showed an excellent trend in lutein protection greater than the solution form (fig. 4). This indicates that the incorporation of lutein into nanoparticles could protect lutein from degradation. Especially when stored with SM at 4oC, the lutein content remaining in LCDN-PE was up to 93% and 76% after 2 and 6-month storage, respectively, fig. 4A. On the other hand, the lutein content in the LCDN-PE without SM was decreased to 48% and 41% after 2 and 6-month storage, respectively, fig. 4A. At room temperature, the lutein content in the LCDN-PE without SM was degraded rapidly; only 12% was detected after 6-month storage, fig. 4B. Interestingly, the lutein content of the LCDN-PE stored with SM was up to 86% after 14 d and 66% after 6 mo. These data clearly indicate that the stability of lutein in LCDN-PE could be further enhanced by the addition of SM. SM functions as an oxygen scavenger in order to eliminate dissolved oxygen from water and is used widely in the pharmaceutical industry to reduce or prevent oxidation [27, 28]. Furthermore, aseptic technique was used in the preparation of the sterile nanoparticles. Therefore, it is consistent that there was no microbial growth in BHA over a 7 d period during which it was checked for possible microbial contamination, as shown in fig. 5.
Fig.5: Optical micrographs of brain-heart infusion agar inoculated with lutein (A) and LCDN-PE (B), dispersed in FOB containing an antioxidant, after 7-day incubation
CONCLUSION
An ophthalmic formulation containing LCDNs for topical delivery of lutein was successfully developed. The various physicochemical properties of LCDNs, prepared by polyelectrolyte complexation, were greatly affected by the four compositional variables; CS: DS mass ratios, the total amount of polymers, and the concentrations of PEG400 and EDC. At optimal conditions, nanoparticles showed high entrapment, ~68%, and possessed a spherical shape with a positive charge and mean diameter of ~400 nm, which is unlikely to cause tear film impairment and ocular surface damage. Furthermore, this study demonstrates that the stability of lutein in an ophthalmic vehicle, FOB, containing LCDNs was significantly improved as compared to free lutein in the ophthalmic vehicles. The light and oxygen sensitivity of lutein was strongly reduced by incorporating lutein into CDNs. In addition, the stability of lutein in FOB containing LCDNs was further improved by adding sodium metabisulfite into the vehicle. The release kinetics of lutein from LCDNs could be fitted with Higuchi’s square root model and showed sustained release for longer than 6 h. Overall, this ophthalmic formulation containing LCDNs shows good potential for topical ocular application due to its mucoadhesives, ability to control drug release, high entrapment efficiency, and high physicochemical stability as well as being able to be prepared under mild and solvent-free conditions.
ACKNOWLEDGEMENT
The authors gratefully acknowledge financial support by the Thailand Research Fund (TRF) for Wanachat Chaiyasan under the Royal Golden Jubilee Ph. D. Program (Grant No. PHD/0094/2554). This research was also partially supported by Naresuan University, the Agricultural Research Development Agency, Thailand, and the Center of Excellence for Innovation in Chemistry (PERCH-CIC), Commission on Higher Education, Ministry of Education, Thailand. We thank Dr. Charles Norman Scholfield for his valuable suggestions on results and discussion. Also, many thanks to Mr. Roy Morien of the Naresuan University Language Centre for his editing assistance and advice on English expression in this document.
CONFLICTS OF INTERESTS
All authors have none to declare
REFERENCES