
1Post-Graduate Program in Pharmacology, Universidade Federal de Santa Maria/UFSM, Campus Universitário, Prédio 21, BR-97105-900, Santa Maria, RS, Brazil, 2Graduation in Pharmacy, UFSM, Santa Maria, RS, Brazil, 3Post-graduate Program in Forest Engineering, UFSM, Santa Maria, RS, Brazil, 4Departamento de Fisiologia e Farmacologia, UFSM, Santa Maria, RS, Brazil, 5Departamento de Farmácia Industrial, UFSM, Santa Maria, RS, Brazil
Email: berta.heinzmann@gmail.com
Received: 04 Nov 2015 Revised and Accepted: 20 Apr 2016
ABSTRACT
Objective: Evaluation of Tagetes minuta L. essential oil (EOTM) toxicity in the silver catfish Rhamdia quelen.
Methods: The EOTM extracted by hydrodistillation was identified qualitatively based on retention indices and the mass spectrum of its components by gas chromatography-mass spectrometry (GC-MS) and quantified by GC with flame ionization detector. Fish were exposed to 0, 50, 100, 200 mg l-1 EOTM and ethanol (1.5 ml) (n = 10 each concentration) and mortality observed after 24, 48 and 96 h (h).
Results: The EOTM presented as the main constituents: di-hidrotagetone (7.66 %), Z-tagetone (29.50%) and E-tagetone (40.37%). Silver catfish mortality was 10% after 96 h at 50 mg l-1, 70 and 80% after 24 and 96 h, respectively, at 100 mg l-1 and 80, 90 and 100% after 24, 48 and 96 h, respectively, at 200 mg l-1.
Conclusion: The use of EOTM is not recommended in fish farming at the concentrations measured in this study due to its toxic action.
Keywords: Medicinal plants, Fish farming, Toxic effect, Cloves marigold
© 2016 The Authors. Published by Innovare Academic Sciences Pvt Ltd. This is an open access article under the CC BY license (http://creativecommons.org/licenses/by/4.0/)
Most essential oils (EOs) contain complex mixtures of natural volatile compounds, and some are widely used in pharmaceuticals. Due to the volatility and low molecular weight of their constituents, EOs is often quickly eliminated from the body by metabolic pathways [1, 2, 3]. In fish farming, some EOs revealed efficacy as anesthetics and are viable alternatives to synthetic ones. They may facilitate handling and reduce the possibility of injury in transport and stress [4].
The EO chemical composition of a given plant species is not a constant. Genetic variability, plant organ, stage of development, senescence, environmental conditions, type of management among others, may influence the biosynthesis of secondary plant metabolites [5]. In addition, temperature, relative humidity, duration of exposure to the sun and the intensity of the wind influence the storage structures on the leaf surface, altering the EO chemical composition [6].
The EO of Tagetes minuta L. (EOTM) showed antimicrobial properties against Gram-positive bacteria such as Staphylococcus aureus and Enterococcus faecium [7]. The EO of this species also presented acaricidal properties against ticks Rhipicephalus microplus, Rhipicephalus sanguineus, Amblyomma cajennense and Argas miniatus, larvicidal activity against Aedes aegypti [2, 5, 7] and insecticide for mosquitoes Aedes fluviatilis [9]. Therefore, EOTM may also have good activity against bacteria and parasites that infect fish. However, before assessing these activities, it is necessary to test the toxicity of this EO to the fish. So, the aim of this study is to evaluate EOTM toxicity in the silver catfish Rhamdia quelen.
Leaves of T. minuta were collected in Itaara, the Rio Grande do Sul, in April and May 2013. A voucher specimen (HDCF 6,400) was identified by MSc. Carlos Garrido Pinheiro (UFSM) and deposited in the Herbarium of Forest Sciences Department, Federal University of Santa Maria (UFSM). EOTM was obtained from the leaves by hydrodistillation using a Clevenger apparatus for 3 h according to the methodology described by [10]. Qualitative identification of EOTM components was performed by gas chromatography coupled to mass spectrometry (GC-MS) on an Agilent 7890A gas chromatograph equipped with a 5975C mass selective detector. Analytical parameters: split inlet (1: 100 v/v), using an HP5-MS column (Hewlett Packard, 5% phenyl-95% methylsiloxane, 30 m x 0 25 mm, film thickness: 0.25 µm), carrier gas helium (flow rate 1 ml min-1), oven temperature program: 40 °C (Ti) for 4 min, 40-320 °C, 4 °C min-1. Injector and detector temperature: 250 °C; Ionization energy: 70 eV. The components of EOTM were identified by comparison of their retention indices (RI) determined by a calibration curve of n-alkanes (C8-C32) injected under the same chromatographic conditions of EOTM, and mass fragmentation patterns obtained from the relevant literature (Adams, 2009; NIST, 2008). The quantitative determination of EOTM was obtained by gas chromatography with flame ionization detection (GC-FID). The analysis parameters were the same as mentioned above, except for the following: splitless inlet mode; injector and detector temperature: 300 °C.
Silver catfish juveniles (4.56±0.5 g) were previously acclimated in 250 l tanks kept under controlled parameters of dissolved oxygen (7.85±0.2 mg l-1), pH (6. 55±0.09), temperature (21.3±0.06 °C), total ammonia (0.38±0.01 mg l-1) and non-ionized ammonia (0.002±0.0001 mg l-1) levels. After acclimation, animals were placed into 1.5 l aquaria (2 fish per aquarium, five replicates each treatment) and exposed to 0 (control), 50, 100 and 200 mg l-1 EOTM. The EOTM was previously dissolved in ethanol 95 percent (%) (1:10), so an ethanol group was exposed to the concentration of ethanol (1.5 ml l-1) used to solubilize the highest concentration of EOTM tested. Mortality rate was calculated by totaling the number of exposed and dead animals at each concentration tested at 24, 48 and 96 h. The homogeneity of variances between groups was determined by Levene test using Statistica 7.0 software. The fish survival was compared using the Kaplan-Meier survival analysis with Log-rank (SigmaPlot 11.0 software). The minimum level of significance was set at P<0.05.
According to gas chromatography analysis, EOTM presented as major component E-tagetone and as secondary constituents α-pinene, octanal, limonene, β-ocimene, di-hidrotagetone, Z-tagetone, menthone, E-caryophyllene, and α-humulene (table 1 and fig. 1).
Table 1: Chemical constituents of the leaves essential oil of Tagetes minuta
RT |
Constituents |
IK calculated |
IK literature |
Percentage (%) |
13.16 |
α-pinene |
938 |
935 |
0.67 |
15.65 |
Octanal |
1012 |
1001 |
0.80 |
16.68 |
Limonene |
1026 |
1027 |
4.00 |
17.09 |
Ocimene |
1037 |
1044 |
6.12 |
17.70 |
Di-hidrotagetone |
1053 |
1053 |
7.66 |
20.91 |
Z-tagetone |
1139 |
1131 |
29.50 |
21.67 |
E-tagetone |
1159 |
1150 |
40.37 |
21.89 |
Menthone |
1165 |
1166 |
1.66 |
30.48 |
E-Caryophyllene |
1420 |
1420 |
1.30 |
31.59 |
α-Humulene |
1455 |
1451 |
1.60 |
IK: Kovats Index; RT: Retention Time
Fig. 1: Chromatogram with the retention times of the chemical constituents of leaves essential oil of Tagetes minuta
Studies report that the EOTM composition may vary between different parts of the plant, growth stage, soil pH, climate and disposition of nutrients. In the province of Chaco in Argentina, di-hidrotagetone levels reached 49.2% in the leaves [11, 12].
The findings of this study corroborate with the research of [12], which describes the main constituents found in the EOTM as β-phellandrene, limonene, β-ocimene, di-hidrotagetone, tagetone, E-tagetenone and Z-tagetenone.
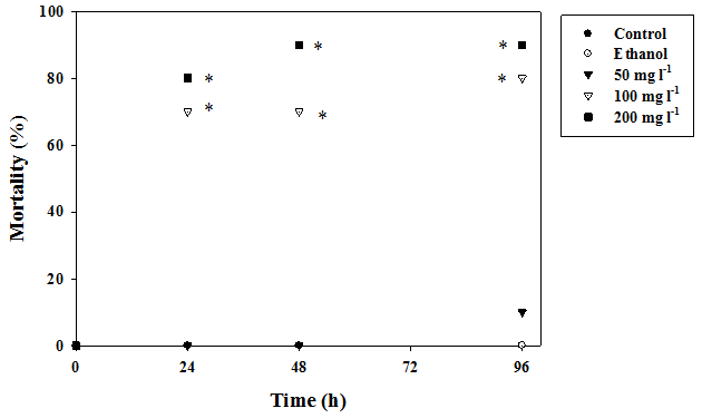
Silver catfish exposed to 50 mg l-1 EOTM showed mortality only after 96 h (10%). Those kept at 100 mg l-1 presented 70% mortality after 24 h and 80% after 96 h. Exposure to 200 mg l-1 led to 80, 90 and 100% mortality after 24, 48 and 96 h, respectively. The control and ethanol groups showed 0% mortality after 96 h (fig. 2).
ss
Fig. 2: Mortality of silver catfish, Rhamdia quelen, exposed to the leaves essential oil of Tagetes minuta
The results were expressed as mean±SEM; n = 5, * indicates significant difference from the control group (P<0.05).
Toxicity of EOTM in Aedes aegypti increases with increasing concentration, causing death of the mosquito larvae [6]. This is in agreement with the results of the present study, because mortality of silver catfish has a direct relationship with EOTM concentration and exposure time. The results of this study discourage the use of EOTM in fish farming at the evaluated concentrations.
ACKNOWLEDGEMENT
This study was supported by the National Council for Scientific and Technological Development/CNPq, Ministry of Fisheries and Aquaculture/FINEP, Adaptations of Aquatic Biota Amazon/ADAPTA, State Research Amazonas Foundation/c FAPEAM Support-CNPq, Coordination of Higher Education Personnel Training/CAPES and Incentive Fund for Technological Innovation-Fit/UFSM.
CONFLICT OF INTERESTS
Declared none
REFERENCES